Legislatura 19ª - Disegno di legge n. 1330

Senato della RepubblicaXIX LEGISLATURA
N. 1330
DISEGNO DI LEGGE
presentato dal Ministro dell'economia e delle finanze (GIORGETTI)

(v. stampato Camera n. 2112-bis)

approvato dalla Camera dei deputati il 20 dicembre 2024

Trasmesso dal Presidente della Camera dei deputati alla Presidenza
il 20 dicembre 2024

Bilancio di previsione dello Stato per l'anno finanziario 2025 e bilancio pluriennale per il triennio 2025-2027

DISEGNO DI LEGGE

PARTE I

SEZIONE I: MISURE QUANTITATIVE PER LA REALIZZAZIONE DEGLI OBIETTIVI PROGRAMMATICI

Art. 1.

(Risultati differenziali. Norme in materia di entrata e di spesa e altre disposizioni. Fondi speciali)

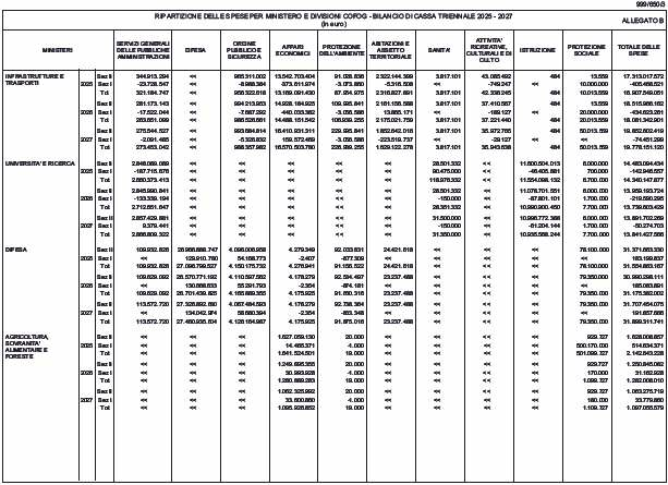
1. I livelli massimi del saldo netto da finanziare, in termini di competenza e di cassa, e del ricorso al mercato finanziario, in termini di competenza, di cui all'articolo 21, comma 1-ter, lettera a), della legge 31 dicembre 2009, n. 196, per gli anni 2025, 2026 e 2027, sono indicati nell'allegato I annesso alla presente legge. I livelli del ricorso al mercato si intendono al netto delle operazioni effettuate al fine di rimborsare prima della scadenza o di ristrutturare passività preesistenti con ammortamento a carico dello Stato.

2. Al testo unico delle imposte sui redditi, di cui al decreto del Presidente della Repubblica 22 dicembre 1986, n. 917, sono apportate le seguenti modificazioni:

a) all'articolo 11, in materia di determinazione dell'imposta, il comma 1 è sostituito dal seguente:

« 1. L'imposta lorda è determinata applicando al reddito complessivo, al netto degli oneri deducibili indicati nell'articolo 10, le seguenti aliquote per scaglioni di reddito:

a) fino a 28.000 euro, 23 per cento;

b) oltre 28.000 euro e fino a 50.000 euro, 35 per cento;

c) oltre 50.000 euro, 43 per cento »;

b) all'articolo 13, comma 1, lettera a), in materia di detrazione per redditi di lavoro dipendente, le parole: « 1.880 euro » sono sostituite dalle seguenti: « 1.955 euro ».

3. All'articolo 1, comma 1, primo periodo, del decreto-legge 5 febbraio 2020, n. 3, convertito, con modificazioni, dalla legge 2 aprile 2020, n. 21, in materia di trattamento integrativo per titolari di redditi di lavoro dipendente, dopo le parole: « della detrazione spettante ai sensi dell'articolo 13, comma 1, del citato testo unico, » sono inserite le seguenti: « diminuita dell'importo di 75 euro rapportato al periodo di lavoro nell'anno, ».

4. Ai titolari di reddito di lavoro dipendente di cui all'articolo 49 del testo unico delle imposte sui redditi, di cui al decreto del Presidente della Repubblica 22 dicembre 1986, n. 917, con esclusione di quelli indicati alla lettera a) del comma 2 del medesimo articolo 49, che hanno un reddito complessivo non superiore a 20.000 euro è riconosciuta una somma, che non concorre alla formazione del reddito, determinata applicando al reddito di lavoro dipendente del contribuente la percentuale corrispondente di seguito indicata:

a) 7,1 per cento, se il reddito di lavoro dipendente non è superiore a 8.500 euro;

b) 5,3 per cento, se il reddito di lavoro dipendente è superiore a 8.500 euro ma non a 15.000 euro;

c) 4,8 per cento, se il reddito di lavoro dipendente è superiore a 15.000 euro.

5. Ai soli fini dell'individuazione della percentuale applicabile ai sensi del comma 4 il reddito di lavoro dipendente è rapportato all'intero anno.

6. Ai titolari di reddito di lavoro dipendente di cui all'articolo 49 del testo unico delle imposte sui redditi, di cui al decreto del Presidente della Repubblica 22 dicembre 1986, n. 917, con esclusione di quelli indicati alla lettera a) del comma 2 del medesimo articolo 49, che hanno un reddito complessivo superiore a 20.000 euro spetta un'ulteriore detrazione dall'imposta lorda, rapportata al periodo di lavoro, di importo pari:

a) a 1.000 euro, se l'ammontare del reddito complessivo è superiore a 20.000 euro ma non a 32.000 euro;

b) al prodotto tra 1.000 euro e l'importo corrispondente al rapporto tra 40.000 euro, diminuito del reddito complessivo, e 8.000 euro, se l'ammontare del reddito complessivo è superiore a 32.000 euro ma non a 40.000 euro.

7. I sostituti d'imposta di cui agli articoli 23 e 29 del decreto del Presidente della Repubblica 29 settembre 1973, n. 600, riconoscono in via automatica la somma di cui al comma 4 e la detrazione di cui al comma 6 del presente articolo all'atto dell'erogazione delle retribuzioni e verificano in sede di conguaglio la spettanza delle stesse. Qualora in tale sede la somma di cui al comma 4 o la detrazione di cui al comma 6 si riveli non spettante, i medesimi sostituti d'imposta provvedono al recupero del relativo importo. Nel caso in cui il predetto importo sia superiore a 60 euro, il recupero dello stesso è effettuato in dieci rate di pari ammontare a partire dalla prima retribuzione alla quale si applicano gli effetti del conguaglio.

8. I sostituti d'imposta compensano il credito maturato per effetto dell'erogazione della somma di cui al comma 4 mediante l'istituto della compensazione di cui all'articolo 17 del decreto legislativo 9 luglio 1997, n. 241.

9. Ai fini della determinazione del reddito complessivo e del reddito di lavoro dipendente di cui ai commi 4 e 6 del presente articolo rileva anche la quota esente del reddito agevolato ai sensi dell'articolo 44, comma 1, del decreto-legge 31 maggio 2010, n. 78, convertito, con modificazioni, dalla legge 30 luglio 2010, n. 122, recante incentivi per il rientro in Italia di ricercatori residenti all'estero, nonché dell'articolo 16 del decreto legislativo 14 settembre 2015, n. 147, e dell'articolo 5 del decreto legislativo 27 dicembre 2023, n. 209, in materia di regime fiscale agevolativo per i lavoratori impatriati. Il medesimo reddito complessivo di cui ai commi 4 e 6 del presente articolo è assunto al netto del reddito dell'unità immobiliare adibita ad abitazione principale e di quello delle relative pertinenze, di cui all'articolo 10, comma 3-bis, del testo unico delle imposte sui redditi, di cui al decreto del Presidente della Repubblica 22 dicembre 1986, n. 917.

10. Per il completamento dell'attuazione della delega fiscale, indicata nel Piano strutturale di bilancio di medio termine per gli anni 2025-2029 tra quelle necessarie ai fini della proroga del periodo di aggiustamento di cui all'articolo 14 del regolamento (UE) 2024/1263 del Parlamento europeo e del Consiglio, del 29 aprile 2024, dopo l'articolo 16-bis del testo unico delle imposte sui redditi, di cui al decreto del Presidente della Repubblica 22 dicembre 1986, n. 917, è inserito il seguente:

« Art. 16-ter. – (Riordino delle detrazioni)1. Fermi restando gli specifici limiti previsti da ciascuna norma agevolativa, per i soggetti con reddito complessivo superiore a 75.000 euro gli oneri e le spese per i quali il presente testo unico o altre disposizioni normative prevedono una detrazione dall'imposta lorda, considerati complessivamente, sono ammessi in detrazione fino all'ammontare calcolato moltiplicando l'importo base determinato ai sensi del comma 2 in corrispondenza del reddito complessivo del contribuente per il coefficiente indicato nel comma 3 in corrispondenza del numero di figli, compresi i figli nati fuori del matrimonio riconosciuti e i figli adottivi, affiliati o affidati, presenti nel nucleo familiare del contribuente, che si trovano nelle condizioni previste nell'articolo 12, comma 2, del presente testo unico.

2. L'importo base di cui al comma 1 è pari a:

a) 14.000 euro, se il reddito complessivo del contribuente è superiore a 75.000 euro e non superiore a 100.000 euro;

b) 8.000 euro, se il reddito complessivo del contribuente è superiore a 100.000 euro.

3. Il coefficiente da utilizzare ai sensi del comma 1 è pari a:

a) 0,50, se nel nucleo familiare non sono presenti figli che si trovano nelle condizioni previste dall'articolo 12, comma 2;

b) 0,70, se nel nucleo familiare è presente un figlio che si trova nelle condizioni previste dall'articolo 12, comma 2;

c) 0,85, se nel nucleo familiare sono presenti due figli che si trovano nelle condizioni previste dall'articolo 12, comma 2;

d) 1, se nel nucleo familiare sono presenti più di due figli che si trovano nelle condizioni previste dall'articolo 12, comma 2, o almeno un figlio con disabilità accertata ai sensi dell'articolo 3 della legge 5 febbraio 1992, n. 104, che si trovi nelle condizioni previste dall'articolo 12, comma 2.

4. Sono esclusi dal computo dell'ammontare complessivo degli oneri e delle spese, effettuato ai fini dell'applicazione del limite di cui al comma 1, i seguenti oneri e le seguenti spese:

a) le spese sanitarie detraibili ai sensi dell'articolo 15, comma 1, lettera c);

b) le somme investite nelle start-up innovative, detraibili ai sensi degli articoli 29 e 29-bis del decreto-legge 18 ottobre 2012, n. 179, convertito, con modificazioni, dalla legge 17 dicembre 2012, n. 221;

c) le somme investite nelle piccole e medie imprese innovative, detraibili ai sensi dell'articolo 4, commi 9, seconda parte, e 9-ter, del decreto-legge 24 gennaio 2015, n. 3, convertito, con modificazioni, dalla legge 24 marzo 2015, n. 33.

5. Ai fini del computo dell'ammontare complessivo degli oneri e delle spese di cui al comma 1 del presente articolo, per le spese detraibili ai sensi dell'articolo 16-bis ovvero di altre disposizioni normative, la cui detrazione è ripartita in più annualità, rilevano le rate di spesa riferite a ciascun anno. Sono comunque esclusi dal predetto computo gli oneri detraibili ai sensi dell'articolo 15, commi 1, lettere a) e b), e 1-ter, sostenuti in dipendenza di prestiti o mutui contratti fino al 31 dicembre 2024, i premi di assicurazione detraibili ai sensi dell'articolo 15, comma 1, lettere f) e f-bis), sostenuti in dipendenza di contratti stipulati fino al 31 dicembre 2024 nonché le rate delle spese detraibili ai sensi dell'articolo 16-bis ovvero di altre disposizioni normative, sostenute fino al 31 dicembre 2024.

6. Ai fini del presente articolo il reddito complessivo è assunto al netto del reddito dell'unità immobiliare adibita ad abitazione principale e di quello delle relative pertinenze, di cui all'articolo 10, comma 3-bis, del presente testo unico ».

11. All'articolo 12 del testo unico delle imposte sui redditi, di cui al decreto del Presidente della Repubblica 22 dicembre 1986, n. 917, in materia di detrazioni per carichi di famiglia, sono apportate le seguenti modificazioni:

a) al comma 1:

1) alla lettera c), le parole da: « 950 euro » fino a: « a 21 anni. » sono sostituite dalle seguenti: « 950 euro per ciascun figlio, compresi i figli nati fuori del matrimonio riconosciuti, i figli adottivi, affiliati o affidati, e i figli conviventi del coniuge deceduto, di età pari o superiore a 21 anni ma inferiore a 30 anni, nonché per ciascun figlio di età pari o superiore a 30 anni con disabilità accertata ai sensi dell'articolo 3 della legge 5 febbraio 1992, n. 104. »;

2) alla lettera d), le parole da: « 750 euro » fino a: « lettera c). » sono sostituite dalle seguenti: « 750 euro, da ripartire pro quota tra coloro che hanno diritto alla detrazione, per ciascun ascendente che conviva con il contribuente. »;

b) dopo il comma 2 è inserito il seguente:

« 2-bis. Le detrazioni di cui al comma 1 non spettano ai contribuenti che non sono cittadini italiani o di uno Stato membro dell'Unione europea o di uno Stato aderente all'Accordo sullo Spazio economico europeo in relazione ai familiari residenti all'estero ».

12. Per l'anno 2025, il limite di cui all'articolo 1, comma 57, lettera d-ter), della legge 23 dicembre 2014, n. 190, è elevato a 35.000 euro.

13. All'articolo 15, comma 1, lettera e-bis), del testo unico delle imposte sui redditi, di cui al decreto del Presidente della Repubblica 22 dicembre 1986, n. 917, le parole: « a 564 euro per l'anno 2016, a 717 euro per l'anno 2017, a 786 euro per l'anno 2018 e a 800 euro a decorrere dall'anno 2019 » sono sostituite dalle seguenti: « a 1.000 euro ».

14. La deduzione della quota dell'11 per cento dell'ammontare dei componenti negativi, prevista, ai fini dell'imposta sul reddito delle società e dell'imposta regionale sulle attività produttive, sulla base, rispettivamente, dei commi 4 e 9 dell'articolo 16 del decreto-legge 27 giugno 2015, n. 83, convertito, con modificazioni, dalla legge 6 agosto 2015, n. 132, per il periodo d'imposta in corso al 31 dicembre 2025, è differita, in quote costanti, al periodo d'imposta in corso al 31 dicembre 2026 e ai tre successivi.

15. La deduzione della quota del 4,70 per cento dell'ammontare dei componenti negativi, prevista, ai fini dell'imposta sul reddito delle società e dell'imposta regionale sulle attività produttive, sulla base, rispettivamente, dei commi 4 e 9 dell'articolo 16 del decreto-legge 27 giugno 2015, n. 83, convertito, con modificazioni, dalla legge 6 agosto 2015, n. 132, per il periodo d'imposta in corso al 31 dicembre 2026, è differita, in quote costanti, al periodo d'imposta in corso al 31 dicembre 2027 e ai due successivi.

16. La deduzione della quota del 13 per cento dell'ammontare dei componenti negativi prevista dall'articolo 1, comma 1079, della legge 30 dicembre 2018, n. 145, per il periodo d'imposta in corso al 31 dicembre 2025 e per quello successivo, è differita, in quote costanti, rispettivamente, al periodo d'imposta in corso al 31 dicembre 2026 e ai tre successivi nonché al periodo d'imposta in corso al 31 dicembre 2027 e ai due successivi.

17. La deduzione della quota del 10 per cento dell'ammontare dei componenti negativi prevista, ai fini dell'imposta sul reddito delle società e dell'imposta regionale sulle attività produttive, rispettivamente dai commi 1067 e 1068 dell'articolo 1 della legge 30 dicembre 2018, n. 145, per il periodo d'imposta in corso al 31 dicembre 2025 e per quello successivo, è differita, in quote costanti, rispettivamente, al periodo d'imposta in corso al 31 dicembre 2026 e ai tre successivi nonché al periodo d'imposta in corso al 31 dicembre 2027 e ai due successivi.

18. Il computo delle perdite, ai sensi dell'articolo 84 del testo unico delle imposte sui redditi, di cui al decreto del Presidente della Repubblica 22 dicembre 1986, n. 917, e dell'eccedenza, ai sensi dell'articolo 5 del decreto legislativo 30 dicembre 2023, n. 216, relativa all'aiuto alla crescita economica di cui all'articolo 1, comma 4, del decreto-legge 6 dicembre 2011, n. 201, convertito, con modificazioni, dalla legge 22 dicembre 2011, n. 214, in diminuzione del reddito del periodo d'imposta in corso al 31 dicembre 2025 è effettuato limitatamente al maggior reddito imponibile del medesimo periodo d'imposta determinato per effetto delle disposizioni di cui ai commi da 14 a 17 del presente articolo in misura non superiore al 54 per cento dello stesso maggior reddito imponibile. Le disposizioni di cui al primo periodo si applicano anche ai fini della determinazione del reddito dei soggetti partecipanti al consolidato nazionale e mondiale di cui agli articoli 117 e seguenti del testo unico delle imposte sui redditi, di cui al decreto del Presidente della Repubblica 22 dicembre 1986, n. 917; a tale fine, il reddito complessivo globale si considera prioritariamente formato dal maggior reddito imponibile che si determina ai sensi dei commi da 14 a 20 del presente articolo.

19. Nella determinazione degli acconti dovuti per il periodo d'imposta in corso:

a) al 31 dicembre 2025 si assume, quale imposta del periodo precedente, quella che si sarebbe determinata non applicando l'articolo 16, commi 4 e 9, del decreto-legge 27 giugno 2015, n. 83, convertito, con modificazioni, dalla legge 6 agosto 2015, n. 132, l'articolo 1, comma 1079, della legge 30 dicembre 2018, n. 145, nonché l'articolo 1, commi 1067 e 1068, della medesima legge 30 dicembre 2018, n. 145, e applicando il comma 18 del presente articolo;

b) al 31 dicembre 2026 si assume, quale imposta del periodo precedente, quella che si sarebbe determinata non applicando l'articolo 16, commi 4 e 9, del decreto-legge 27 giugno 2015, n. 83, convertito, con modificazioni, dalla legge 6 agosto 2015, n. 132, l'articolo 1, comma 1079, della legge 30 dicembre 2018, n. 145, nonché l'articolo 1, commi 1067 e 1068, della medesima legge 30 dicembre 2018, n. 145 e, inoltre, non si tiene conto delle quote differite ai sensi dei commi da 14 a 17 del presente articolo;

c) al 31 dicembre 2027 e ai due successivi, non si tiene conto delle quote differite ai sensi dei commi da 14 a 17 del presente articolo.

20. Sull'importo corrispondente alla parte dei maggiori acconti dovuti per effetto delle disposizioni dei commi da 14 a 19 del presente articolo, per il periodo d'imposta in corso al 31 dicembre 2025 e per quello successivo, non si applicano le disposizioni dell'articolo 17 del decreto legislativo 9 luglio 1997, n. 241, né quelle dell'articolo 4, comma 3, del decreto-legge 2 marzo 1989, n. 69, convertito, con modificazioni, dalla legge 27 aprile 1989, n. 154.

21. All'articolo 1 della legge 30 dicembre 2018, n. 145, sono apportate le seguenti modificazioni:

a) il comma 36 è sostituito dal seguente:

« 36. Sono soggetti passivi dell'imposta sui servizi digitali i soggetti esercenti attività d'impresa che realizzano ricavi derivanti da servizi digitali di cui al comma 37 nel territorio dello Stato e che, singolarmente o a livello di gruppo, nell'anno solare precedente a quello di cui al comma 35-bis, realizzano un ammontare complessivo di ricavi ovunque realizzati non inferiore a 750 milioni di euro »;

b) al comma 42, il primo periodo è sostituito dai seguenti: « I soggetti passivi versano, entro il 30 novembre dell'anno solare di cui al comma 35-bis, un acconto dell'imposta dovuta pari al 30 per cento dell'ammontare dell'imposta dovuta per l'anno solare precedente, determinata ai sensi del comma 41. Il versamento a saldo dell'imposta dovuta è effettuato entro il 16 maggio dell'anno solare successivo a quello di cui al comma 35-bis ».

22. Al testo unico dei tributi erariali minori, di cui al decreto legislativo 5 novembre 2024, n. 174, sono apportate le seguenti modificazioni:

a) l'articolo 64 è sostituito dal seguente:

« Art. 64. – (Soggetti passivi)1. Sono soggetti passivi dell'imposta sui servizi digitali i soggetti esercenti attività d'impresa che realizzano ricavi derivanti da servizi digitali di cui all'articolo 65 nel territorio dello Stato e che, singolarmente o a livello di gruppo, nell'anno solare precedente a quello di cui all'articolo 63, realizzano un ammontare complessivo di ricavi ovunque realizzati non inferiore a 750 milioni di euro »;

b) all'articolo 75, comma 1, il primo periodo è sostituito dai seguenti: « I soggetti passivi versano, entro il 30 novembre dell'anno solare di cui all'articolo 63, un acconto dell'imposta dovuta pari al 30 per cento dell'ammontare dell'imposta dovuta per l'anno solare precedente, determinata ai sensi dell'articolo 74. Il versamento a saldo dell'imposta dovuta è effettuato entro il 16 maggio dell'anno solare successivo a quello di cui all'articolo 63 ».

23. L'aliquota dell'imposta sostitutiva sulle plusvalenze e sugli altri redditi diversi, di cui all'articolo 5 del decreto legislativo 21 novembre 1997, n. 461, è pari al 26 per cento.

24. Sulle plusvalenze e sugli altri proventi di cui alla lettera c-sexies) del comma 1 dell'articolo 67 del testo unico delle imposte sui redditi, di cui al decreto del Presidente della Repubblica 22 dicembre 1986, n. 917, modificata, da ultimo, dal comma 25 del presente articolo, realizzati a decorrere dal 1° gennaio 2026, l'imposta sostitutiva di cui agli articoli 5, 6 e 7 del decreto legislativo 21 novembre 1997, n. 461, è applicata con l'aliquota del 33 per cento.

25. Al testo unico delle imposte sui redditi, di cui al decreto del Presidente della Repubblica 22 dicembre 1986, n. 917, sono apportate le seguenti modificazioni:

a) all'articolo 67, comma 1, lettera c-sexies), primo periodo, le parole: « , non inferiori complessivamente a 2.000 euro nel periodo d'imposta » sono soppresse;

b) all'articolo 68, comma 9-bis, secondo periodo, le parole: « per un importo superiore a 2.000 euro, » sono soppresse.

26. Agli effetti della determinazione delle plusvalenze e delle minusvalenze di cui alla lettera c-sexies) del comma 1 dell'articolo 67 del testo unico delle imposte sui redditi, di cui al decreto del Presidente della Repubblica 22 dicembre 1986, n. 917, modificata, da ultimo, dal comma 25 del presente articolo, per ciascuna cripto-attività posseduta alla data del 1° gennaio 2025 può essere assunto, in luogo del costo o del valore di acquisto, il valore a tale data, determinato ai sensi dell'articolo 9 del citato testo unico, a condizione che il predetto valore sia assoggettato a un'imposta sostitutiva delle imposte sui redditi nella misura del 18 per cento.

27. L'imposta sostitutiva di cui al comma 26 è versata, con le modalità previste dal capo III del decreto legislativo 9 luglio 1997, n. 241, entro il 30 novembre 2025.

28. L'imposta sostitutiva di cui al comma 26 può essere rateizzata fino al numero massimo di tre rate annuali di pari importo, a partire dal 30 novembre 2025. Sull'importo delle rate successive alla prima sono dovuti gli interessi nella misura del 3 per cento annuo, da versare contestualmente a ciascuna rata.

29. L'assunzione del valore di cui al comma 26 quale valore di acquisto non consente il realizzo di minusvalenze utilizzabili ai sensi del comma 9-bis dell'articolo 68 del testo unico delle imposte sui redditi, di cui al decreto del Presidente della Repubblica 22 dicembre 1986, n. 917, modificato, da ultimo, dal comma 25 del presente articolo.

30. Alla legge 28 dicembre 2001, n. 448, sono apportate le seguenti modificazioni:

a) all'articolo 5, in materia di imposta sostitutiva sul valore delle partecipazioni:

1) il comma 1 è sostituito dal seguente:

« 1. Agli effetti della determinazione delle plusvalenze e delle minusvalenze di cui all'articolo 67, comma 1, lettere c) e c-bis), del testo unico delle imposte sui redditi, di cui al decreto del Presidente della Repubblica 22 dicembre 1986, n. 917, per i titoli, le quote o i diritti negoziati o non negoziati in mercati regolamentati o in sistemi multilaterali di negoziazione, posseduti alla data del 1° gennaio di ciascun anno, può essere assunto, in luogo del costo o valore di acquisto, il valore normale a tale data, a condizione che lo stesso sia assoggettato, entro il 30 novembre del medesimo anno, a un'imposta sostitutiva delle imposte sui redditi secondo quanto disposto dal presente articolo. Per i titoli, le quote o i diritti non negoziati in mercati regolamentati o in sistemi multilaterali di negoziazione il valore normale è pari alla frazione del patrimonio netto della società, associazione o ente, determinato sulla base di una perizia giurata di stima, cui si applica l'articolo 64 del codice di procedura civile, redatta da soggetti iscritti all'albo dei dottori commercialisti e degli esperti contabili o nel registro dei revisori legali. Per i titoli, le quote o i diritti negoziati in mercati regolamentati o in sistemi multilaterali di negoziazione, il valore normale alla data del 1° gennaio è determinato ai sensi dell'articolo 9, comma 4, lettera a), del citato testo unico di cui al decreto del Presidente della Repubblica n. 917 del 1986, con riferimento al mese di dicembre dell'anno precedente »;

2) il comma 1-bis è abrogato;

3) il comma 2 è sostituito dal seguente:

« 2. L'imposta sostitutiva di cui al comma 1 è pari al 18 per cento ed è versata, con le modalità previste dal capo III del decreto legislativo 9 luglio 1997, n. 241, entro il 30 novembre di ciascun anno »;

4) al comma 3, il primo periodo è sostituito dal seguente: « L'imposta sostitutiva può essere rateizzata fino al massimo di tre rate annuali di pari importo a partire dalla predetta data del 30 novembre »;

5) al comma 4, il secondo periodo è sostituito dal seguente: « In ogni caso la redazione e il giuramento della perizia devono essere effettuati entro il termine del 30 novembre di ciascun anno »;

6) al comma 5, secondo periodo, le parole: « 1° gennaio 2002 » sono sostituite dalle seguenti: « 1° gennaio di ogni anno »;

7) al comma 6, le parole: « ai sensi dei commi 3 e 4 dell'articolo 82 » sono sostituite dalle seguenti: « ai sensi del comma 5 dell'articolo 68 »;

8) al comma 7, le parole: « posseduti alla data del 1° gennaio 2002, » sono soppresse;

9) dopo il comma 7 è aggiunto il seguente:

« 7-bis. Le disposizioni del presente articolo non si applicano ai fini della determinazione, ai sensi dell'articolo 68, comma 2-bis, del testo unico delle imposte sui redditi, delle plusvalenze e minusvalenze realizzate da società ed enti commerciali di cui all'articolo 73, comma 1, lettera d), del medesimo testo unico, privi di stabile organizzazione nel territorio dello Stato »;

b) all'articolo 7, in materia di imposta sostitutiva sul valore dei terreni edificabili e con destinazione agricola:

1) il comma 1 è sostituito dal seguente:

« 1. Entro il 30 novembre di ciascun anno i contribuenti possono optare, ai fini dell'applicazione dell'articolo 67, comma 1, lettere a) e b), del testo unico delle imposte sui redditi, di cui al decreto del Presidente della Repubblica 22 dicembre 1986, n. 917, per l'applicazione dell'imposta sostitutiva di cui al presente articolo relativamente ai terreni edificabili e con destinazione agricola posseduti alla data del 1° gennaio dello stesso anno. A seguito dell'opzione, nella determinazione delle relative plusvalenze è assunto, in luogo del costo o valore di acquisto, il valore del terreno al 1° gennaio dell'anno di esercizio dell'opzione, determinato sulla base di una perizia giurata di stima, cui si applica l'articolo 64 del codice di procedura civile, redatta da soggetti iscritti agli albi degli ingegneri, degli architetti, dei geometri, dei dottori agronomi, degli agrotecnici, dei periti agrari e dei periti industriali edili »;

2) il comma 2 è sostituito dal seguente:

« 2. L'imposta sostitutiva di cui al comma 1 è pari al 18 per cento del valore determinato a norma del comma 1 ed è versata, con le modalità previste dal capo III del decreto legislativo 9 luglio 1997, n. 241, entro il 30 novembre dell'anno di esercizio dell'opzione »;

3) al comma 3, il primo periodo è sostituito dal seguente: « L'imposta sostitutiva può essere rateizzata fino al massimo di tre rate annuali di pari importo a partire dalla predetta data del 30 novembre »;

4) al comma 4, secondo periodo, le parole: « entro il termine del 16 dicembre 2002 » sono sostituite dalle seguenti: « entro il termine del 30 novembre di cui al comma 2 »;

5) al comma 5, dopo le parole: « è rimasto a carico » sono aggiunte le seguenti: « del contribuente ».

31. Le società in nome collettivo, in accomandita semplice, a responsabilità limitata, per azioni e in accomandita per azioni che, entro il 30 settembre 2025, assegnano o cedono ai soci beni immobili, diversi da quelli indicati nell'articolo 43, comma 2, primo periodo, del testo unico delle imposte sui redditi, di cui al decreto del Presidente della Repubblica 22 dicembre 1986, n. 917, o beni mobili iscritti in pubblici registri, non utilizzati come beni strumentali nell'attività propria dell'impresa, possono applicare le disposizioni del presente comma e dei commi da 32 a 36 a condizione che tutti i soci risultino iscritti nel libro dei soci, ove prescritto, alla data del 30 settembre 2024 ovvero che siano iscritti entro trenta giorni dalla data di entrata in vigore della presente legge, in forza di titolo di trasferimento avente data certa anteriore al 1° ottobre 2024. Le medesime disposizioni si applicano alle società che hanno per oggetto esclusivo o principale la gestione dei predetti beni e che entro il 30 settembre 2025 si trasformano in società semplici.

32. Sulla differenza tra il valore normale dei beni assegnati, o, in caso di trasformazione, quello dei beni posseduti all'atto della trasformazione, e il loro costo fiscalmente riconosciuto si applica un'imposta sostitutiva delle imposte sui redditi e dell'imposta regionale sulle attività produttive nella misura dell'8 per cento ovvero del 10,5 per cento per le società considerate non operative in almeno due dei tre periodi d'imposta precedenti a quello in corso al momento dell'assegnazione, della cessione o della trasformazione. Le riserve in sospensione d'imposta annullate per effetto dell'assegnazione dei beni ai soci e quelle delle società che si trasformano sono assoggettate a imposta sostitutiva nella misura del 13 per cento.

33. Per gli immobili, su richiesta della società e nel rispetto delle condizioni prescritte, il valore normale può essere determinato in misura pari a quello risultante dall'applicazione all'ammontare delle rendite risultanti in catasto dei moltiplicatori determinati con i criteri e le modalità previsti dal primo periodo del comma 4 dell'articolo 52 del testo unico delle disposizioni concernenti l'imposta di registro, di cui al decreto del Presidente della Repubblica 26 aprile 1986, n. 131. In caso di cessione, ai fini della determinazione dell'imposta sostitutiva, il corrispettivo della cessione, se inferiore al valore normale del bene, determinato ai sensi dell'articolo 9 del testo unico delle imposte sui redditi, di cui al decreto del Presidente della Repubblica 22 dicembre 1986, n. 917, o, in alternativa, ai sensi del primo periodo del presente comma, è computato in misura non inferiore a uno dei due valori suddetti.

34. Il costo fiscalmente riconosciuto delle azioni o quote possedute dai soci delle società trasformate è aumentato della differenza assoggettata a imposta sostitutiva. Nei confronti dei soci assegnatari non si applicano le disposizioni dei commi 1 e da 5 a 8 dell'articolo 47 del testo unico delle imposte sui redditi, di cui al decreto del Presidente della Repubblica 22 dicembre 1986, n. 917. Tuttavia, il valore normale dei beni ricevuti, al netto dei debiti accollati, riduce il costo fiscalmente riconosciuto delle azioni o delle quote possedute.

35. Per le assegnazioni e le cessioni ai soci di cui ai commi da 31 a 33, le aliquote dell'imposta proporzionale di registro eventualmente applicabili sono ridotte alla metà e le imposte ipotecarie e catastali si applicano in misura fissa.

36. Le società che si avvalgono delle disposizioni dei commi da 31 a 35 devono versare il 60 per cento dell'imposta sostitutiva entro il 30 settembre 2025 e la restante parte entro il 30 novembre 2025, con i criteri di cui al decreto legislativo 9 luglio 1997, n. 241. Per la riscossione, i rimborsi e il contenzioso si applicano le disposizioni previste per le imposte sui redditi.

37. Le disposizioni dell'articolo 1, comma 121, della legge 28 dicembre 2015, n. 208, si applicano anche alle esclusioni dal patrimonio dell'impresa dei beni ivi indicati, posseduti alla data del 31 ottobre 2024, poste in essere dal 1° gennaio 2025 al 31 maggio 2025. I versamenti rateali dell'imposta sostitutiva di cui al citato comma 121 dell'articolo 1 della legge n. 208 del 2015 sono effettuati, rispettivamente, entro il 30 novembre 2025 ed entro il 30 giugno 2026. Per i soggetti che si avvalgono delle disposizioni del presente comma gli effetti dell'estromissione decorrono dal 1° gennaio 2025.

38. Le prestazioni di formazione rese ai soggetti autorizzati alla somministrazione di lavoro ai sensi dell'articolo 4 del decreto legislativo 10 settembre 2003, n. 276, da enti e società di formazione finanziati attraverso il fondo bilaterale costituito ai sensi dell'articolo 12, comma 4, del citato decreto legislativo n. 276 del 2003 sono imponibili ai fini dell'imposta sul valore aggiunto.

39. In considerazione dell'incertezza interpretativa pregressa, sono fatti salvi i comportamenti adottati dai contribuenti in relazione alle prestazioni di cui al comma 38 effettuate anteriormente alla data di entrata in vigore della presente legge, per i quali non siano intervenuti atti divenuti definitivi. Non si fa luogo a rimborsi d'imposta.

40. I giudizi pendenti alla data di entrata in vigore della presente disposizione, in ogni stato e grado di giudizio, e aventi ad oggetto il trattamento delle prestazioni di cui al comma 38 ai fini dell'imposta sul valore aggiunto possono essere definiti, a istanza di parte, mediante il versamento della maggiore imposta sul valore aggiunto accertata, senza l'applicazione di sanzioni e interessi, ovvero con la presentazione della prova dell'avvenuto assolvimento dell'imposta da parte del prestatore. Dagli importi dovuti si scomputano quelli già versati in pendenza di giudizio.

41. A seguito dell'istanza della parte, l'organo giurisdizionale sospende il giudizio per novanta giorni per la definizione del procedimento di cui al comma 40.

42. L'Agenzia delle entrate accerta, entro il termine di trenta giorni dalla presentazione dell'istanza, che la somma indicata nell'istanza di definizione corrisponda all'importo della maggiore imposta sul valore aggiunto accertata e ne dà comunicazione al contribuente.

43. Al fine dell'estinzione del giudizio, il contribuente ha l'onere di depositare presso l'organo giurisdizionale innanzi al quale pende la controversia, entro il termine di cui al comma 41, prova del versamento effettuato ovvero dell'effettivo assolvimento dell'imposta da parte del prestatore.

44. L'organo giurisdizionale dichiara estinto il giudizio relativamente alle domande aventi ad oggetto il trattamento delle prestazioni di cui al comma 38 ai fini dell'imposta sul valore aggiunto, con compensazione delle spese di giudizio.

45. All'articolo 25, comma 8, del testo unico delle disposizioni legislative concernenti le imposte sulla produzione e sui consumi e relative sanzioni penali e amministrative, di cui al decreto legislativo 26 ottobre 1995, n. 504, in materia di circolazione di prodotti energetici assoggettati ad accisa, le parole: « i prodotti energetici trasferiti in quantità non superiore a 1.000 chilogrammi a depositi non soggetti a denuncia ai sensi del presente articolo ed » sono soppresse.

46. Il comma 4 dell'articolo 39-quater del testo unico delle disposizioni legislative concernenti le imposte sulla produzione e sui consumi e relative sanzioni penali e amministrative, di cui al decreto legislativo 26 ottobre 1995, n. 504, concernente procedimenti amministrativi dell'Agenzia delle dogane e dei monopoli in materia di tariffe di vendita di tabacchi e prodotti assimilati, è sostituito dal seguente:

« 4. Il termine per la conclusione dei procedimenti, che decorre dalla data di ricevimento della richiesta presentata dal fabbricante o dall'importatore, è di quarantacinque giorni per i procedimenti di cui al comma 1 e di venti giorni lavorativi per i provvedimenti di cui al comma 2 ».

47. Dall'attuazione delle disposizioni di cui al comma 46 non devono derivare nuovi o maggiori oneri a carico della finanza pubblica.

48. Per il raggiungimento degli obiettivi di transizione ecologica ed energetica, mitigazione e adattamento ai cambiamenti climatici previsti nell'ambito dei documenti programmatici, la lettera a) del comma 4 dell'articolo 51 del testo unico delle imposte sui redditi, di cui al decreto del Presidente della Repubblica 22 dicembre 1986, n. 917, è sostituita dalla seguente:

« a) per gli autoveicoli indicati nell'articolo 54, comma 1, lettere a), c) e m), del codice della strada, di cui al decreto legislativo 30 aprile 1992, n. 285, i motocicli e i ciclomotori di nuova immatricolazione, concessi in uso promiscuo con contratti stipulati a decorrere dal 1° gennaio 2025, si assume il 50 per cento dell'importo corrispondente ad una percorrenza convenzionale di 15.000 chilometri calcolato sulla base del costo chilometrico di esercizio desumibile dalle tabelle nazionali che l'Automobile club d'Italia elabora entro il 30 novembre di ciascun anno e comunica al Ministero dell'economia e delle finanze, il quale provvede alla pubblicazione entro il 31 dicembre, con effetto dal periodo d'imposta successivo, al netto delle somme eventualmente trattenute al dipendente. La predetta percentuale è ridotta al 10 per cento per i veicoli a batteria a trazione esclusivamente elettrica e al 20 per cento per i veicoli elettrici ibridi plug-in ».

49. Per il raggiungimento degli obiettivi di transizione ecologica ed energetica, mitigazione e adattamento ai cambiamenti climatici previsti nell'ambito dei documenti programmatici nonché per favorire il rispetto della gerarchia nella gestione dei rifiuti in un'ottica di economia circolare, il numero 127-sexiesdecies) alla tabella A, parte III, del decreto del Presidente della Repubblica 26 ottobre 1972, n. 633, è sostituito dal seguente:

« 127-sexiesdecies) prestazioni di gestione, stoccaggio e deposito temporaneo, esclusi il conferimento in discarica e l'incenerimento senza recupero efficiente di energia, come definite dall'articolo 183, comma 1, lettere n), aa), bb), del decreto legislativo 3 aprile 2006, n. 152, di rifiuti urbani e di rifiuti speciali di cui all'articolo 184, commi 2 e 3, lettera g), del medesimo decreto legislativo, nonché prestazioni di gestione di impianti di fognatura e depurazione ».

50. Al fine di migliorare la sicurezza, l'affidabilità e l'efficienza della rete di distribuzione dell'energia elettrica quale infrastruttura critica e conseguire tempestivamente gli obiettivi di decarbonizzazione previsti dagli accordi internazionali e dall'Unione europea per il 2050, nonché per assicurare interventi urgenti volti al rafforzamento della difesa e della sicurezza delle infrastrutture di distribuzione dell'energia elettrica anche contro i rischi di intrusione illecita e di attacchi informatici e cibernetici, entro centottanta giorni dalla data di entrata in vigore della presente legge, con decreto del Ministro dell'ambiente e della sicurezza energetica, di concerto con il Ministro dell'economia e delle finanze, su proposta dell'Autorità di regolazione per energia, reti e ambiente (ARERA), previa intesa, per gli aspetti di competenza, in sede di Conferenza unificata di cui all'articolo 8 del decreto legislativo 28 agosto 1997, n. 281, e previo parere delle Commissioni parlamentari competenti, sono stabiliti i termini e le modalità per la presentazione, da parte dei concessionari del servizio di distribuzione dell'energia elettrica, di piani straordinari di investimento pluriennale aventi almeno i seguenti obiettivi:

a) miglioramento della resilienza e dell'affidabilità del servizio ai fini dell'adattamento dello stesso ad eventi meteoclimatici estremi;

b) aumento della capacità di integrare la generazione distribuita, in particolare da fonti rinnovabili, assicurando tempi celeri di connessione;

c) adeguato potenziamento delle infrastrutture di rete, funzionale a gestire, con elevati livelli di affidabilità, l'aumento della domanda connesso alla transizione dei consumi verso l'impiego dell'energia elettrica;

d) aumento della flessibilità del sistema di distribuzione, ai fini di un più efficace perseguimento delle finalità di cui alle lettere a), b) e c), anche attraverso l'adozione di meccanismi che facilitino l'approvvigionamento da terzi dei relativi servizi, a pronti e a termine, secondo i princìpi di trasparenza e non discriminazione;

e) adozione di sistemi, anche di monitoraggio, funzionali ad assicurare la difesa e la protezione delle infrastrutture di rete.

51. Con il decreto di cui al comma 50 sono altresì definiti i termini e le modalità per la valutazione e l'approvazione dei piani straordinari di investimento, ai sensi del comma 52, e sono stabiliti i criteri per la determinazione degli oneri che i concessionari del servizio di distribuzione dell'energia elettrica sono tenuti a versare in ragione della rimodulazione di cui al medesimo comma 52. Gli oneri di cui al primo periodo sono computati dall'ARERA nel capitale investito ai fini del riconoscimento degli ammortamenti e della remunerazione attraverso l'applicazione del tasso definito per gli investimenti nella distribuzione elettrica.

52. Il Ministero dell'ambiente e della sicurezza energetica, sentiti l'ARERA e il Ministero dell'economia e delle finanze per i profili di stretta competenza, valuta i piani straordinari di investimento di cui al comma 50 e, in caso di esito positivo della valutazione, li approva. L'approvazione dei piani straordinari di investimento comporta la rimodulazione delle concessioni in essere, in coerenza con la durata degli investimenti previsti dai medesimi piani, comunque per un periodo non superiore a venti anni.

53. Le eventuali maggiori entrate derivanti dai commi da 50 a 52 sono destinate prioritariamente alla riduzione dei costi energetici delle utenze domestiche e non domestiche.

54. All'articolo 16-bis, comma 3-ter, del testo unico delle imposte sui redditi, di cui al decreto del Presidente della Repubblica 22 dicembre 1986, n. 917, in materia di detrazione delle spese per interventi di recupero del patrimonio edilizio e di riqualificazione energetica degli edifici, le parole: « 1° gennaio 2028 » sono sostituite dalle seguenti: « 1° gennaio 2025 ».

55. Al decreto-legge 4 giugno 2013, n. 63, convertito, con modificazioni, dalla legge 3 agosto 2013, n. 90, sono apportate le seguenti modificazioni:

a) all'articolo 14, in materia di detrazioni fiscali per interventi di efficienza energetica, dopo il comma 3-quater è aggiunto il seguente:

« 3-quinquies. La detrazione di cui al presente articolo spetta anche per le spese documentate sostenute negli anni 2025, 2026 e 2027, ad esclusione delle spese per gli interventi di sostituzione degli impianti di climatizzazione invernale con caldaie uniche alimentate a combustibili fossili, nella misura fissa, per tutte le tipologie di interventi agevolati, pari al 36 per cento delle spese sostenute nell'anno 2025 e al 30 per cento delle spese sostenute negli anni 2026 e 2027. La detrazione di cui al primo periodo spettante per gli anni 2025, 2026 e 2027 è elevata al 50 per cento delle spese, per l'anno 2025, e al 36 per cento delle spese, per gli anni 2026 e 2027, nel caso in cui le medesime spese siano sostenute dai titolari del diritto di proprietà o di un diritto reale di godimento per interventi sull'unità immobiliare adibita ad abitazione principale »;

b) all'articolo 16, in materia di detrazioni fiscali per interventi di ristrutturazione edilizia e per l'acquisto di mobili, sono apportate le seguenti modificazioni:

1) il comma 1 è sostituito dal seguente:

« 1. Ferme restando le ulteriori disposizioni contenute nell'articolo 16-bis del testo unico delle imposte sui redditi, di cui al decreto del Presidente della Repubblica 22 dicembre 1986, n. 917, per le spese documentate relative agli interventi indicati nel comma 1 del citato articolo 16-bis sostenute negli anni 2025, 2026 e 2027, ad esclusione delle spese per gli interventi di sostituzione degli impianti di climatizzazione invernale con caldaie uniche alimentate a combustibili fossili, spetta una detrazione dall'imposta lorda pari al 36 per cento delle spese sostenute nell'anno 2025 e al 30 per cento delle spese sostenute negli anni 2026 e 2027, fino a un ammontare complessivo delle stesse non superiore a 96.000 euro per unità immobiliare. Fermo restando il predetto limite, la detrazione di cui al primo periodo spettante per gli anni 2025, 2026 e 2027 è elevata al 50 per cento delle spese sostenute nell'anno 2025 e al 36 per cento delle spese sostenute negli anni 2026 e 2027 nel caso in cui le medesime spese siano sostenute dai titolari del diritto di proprietà o di un diritto reale di godimento per interventi sull'unità immobiliare adibita ad abitazione principale »;

2) dopo il comma 1-septies è inserito il seguente:

« 1-septies.1. Le detrazioni di cui ai commi da 1-bis a 1-septies spettano anche per le spese, documentate sostenute negli anni 2025, 2026 e 2027, nella misura fissa, per tutte le tipologie di interventi agevolati, pari al 36 per cento delle spese sostenute nell'anno 2025 e al 30 per cento delle spese sostenute negli anni 2026 e 2027. La detrazione di cui al primo periodo spettante per gli anni 2025, 2026 e 2027 è elevata al 50 per cento delle spese sostenute per l'anno 2025 e al 36 per cento delle spese sostenute per gli anni 2026 e 2027 nel caso in cui le medesime spese siano sostenute dai titolari del diritto di proprietà o di un diritto reale di godimento per interventi sull'unità immobiliare adibita ad abitazione principale »;

3) al comma 2:

3.1) al primo periodo, le parole: « anni 2022, 2023 e 2024 » sono sostituite dalle seguenti: « anni 2022, 2023, 2024 e 2025 »;

3.2) al secondo periodo, le parole: « per l'anno 2024 » sono sostituite dalle seguenti: « per gli anni 2024 e 2025 ».

56. All'articolo 119 del decreto-legge 19 maggio 2020, n. 34, convertito, con modificazioni, dalla legge 17 luglio 2020, n. 77, in materia di incentivi per l'efficienza energetica, sisma bonus, impianti fotovoltaici e infrastrutture per la ricarica di veicoli elettrici, sono apportate le seguenti modificazioni:

a) dopo il comma 8-bis.1 è inserito il seguente:

« 8-bis.2. La detrazione del 65 per cento prevista dal comma 8-bis, primo periodo, per le spese sostenute nell'anno 2025 spetta esclusivamente per gli interventi per i quali, alla data del 15 ottobre 2024, risulti:

a) presentata la comunicazione di inizio lavori asseverata (CILA) ai sensi del comma 13-ter, se gli interventi sono diversi da quelli effettuati dai condomìni;

b) adottata la deliberazione dell'assemblea del condominio che ha approvato l'esecuzione dei lavori e presentata la CILA ai sensi del comma 13-ter, se gli interventi sono effettuati dai condomìni;

c) presentata l'istanza per l'acquisizione del titolo abilitativo, se gli interventi comportano la demolizione e la ricostruzione degli edifici »;

b) dopo il comma 8-quinquies è inserito il seguente:

« 8-sexies. Per le spese sostenute dal 1° gennaio 2023 al 31 dicembre 2023 relativamente agli interventi di cui al presente articolo, la detrazione può essere ripartita, su opzione del contribuente, in dieci quote annuali di pari importo a partire dal periodo d'imposta 2023. L'opzione è irrevocabile ed è esercitata tramite una dichiarazione dei redditi integrativa di quella presentata per il periodo d'imposta 2023, da presentare, in deroga a quanto previsto dall'articolo 2, comma 8, del regolamento di cui al decreto del Presidente della Repubblica 22 luglio 1998, n. 322, entro il termine stabilito per la presentazione della dichiarazione dei redditi relativa al periodo d'imposta 2024. Se dalla predetta dichiarazione integrativa emerge una maggiore imposta dovuta, quest'ultima è versata, senza applicazione di sanzioni e interessi, entro il termine per il versamento del saldo delle imposte sui redditi relative al periodo d'imposta 2024 ».

57. All'articolo 17, sesto comma, del decreto del Presidente della Repubblica 26 ottobre 1972, n. 633, la lettera a-quinquies) è sostituita dalla seguente:

« a-quinquies) alle prestazioni di servizi, diverse da quelle di cui alle lettere da a) ad a-quater), effettuate tramite contratti di appalto, subappalto, affidamento a soggetti consorziati o rapporti negoziali comunque denominati caratterizzati da prevalente utilizzo di manodopera presso le sedi di attività del committente con l'utilizzo di beni strumentali di proprietà di quest'ultimo o ad esso riconducibili in qualunque forma, rese nei confronti di imprese che svolgono attività di trasporto e movimentazione di merci e prestazione di servizi di logistica. La disposizione del periodo precedente non si applica alle operazioni effettuate nei confronti di amministrazioni pubbliche e di altri enti e società di cui all'articolo 17-ter del presente decreto né alle agenzie per il lavoro di cui all'articolo 4 del decreto legislativo 10 settembre 2003, n. 276 ».

58. L'efficacia della disposizione di cui al comma 57 è subordinata al rilascio, da parte del Consiglio dell'Unione europea, dell'autorizzazione di una misura di deroga ai sensi dell'articolo 395 della direttiva 2006/112/CE del Consiglio, del 28 novembre 2006.

59. In attesa della piena operatività delle disposizioni di cui alla lettera a-quinquies) del sesto comma dell'articolo 17 del decreto del Presidente della Repubblica 26 ottobre 1972, n. 633, come sostituita dal comma 57 del presente articolo, per le prestazioni di servizi ivi previste, rese nei confronti di imprese che svolgono attività di trasporto e movimentazione di merci e prestazione di servizi di logistica, il prestatore e il committente possono optare affinché il pagamento dell'imposta sul valore aggiunto sulle prestazioni rese sia effettuato dal committente in nome e per conto del prestatore, che è solidalmente responsabile dell'imposta dovuta. Nel caso di cui al primo periodo, la fattura è emessa ai sensi dell'articolo 21 del decreto del Presidente della Repubblica n. 633 del 1972 dal prestatore e l'imposta è versata dal committente ai sensi dell'articolo 17 del decreto legislativo 9 luglio 1997, n. 241, senza possibilità di compensazione, entro il termine di cui all'articolo 18 del medesimo decreto legislativo, riferito al mese successivo alla data di emissione della fattura da parte del prestatore.

60. L'opzione di cui al comma 59 ha durata triennale ed è comunicata dal committente all'Agenzia delle entrate con apposito modello approvato con provvedimento del direttore dell'Agenzia delle entrate e reso disponibile gratuitamente, in formato elettronico, nel sito internet istituzionale dell'Agenzia.

61. L'esercizio dell'opzione di cui al comma 59 si considera effettuato dalla data di trasmissione della comunicazione di cui al comma 60 all'Agenzia delle entrate.

62. Nel caso in cui l'imposta risulti non dovuta, si applicano le disposizioni del comma 2 dell'articolo 30-ter del decreto del Presidente della Repubblica 26 ottobre 1972, n. 633, e il diritto al rimborso spetta al committente a condizione che esso dimostri l'effettivo versamento dell'imposta. Nei confronti del committente è applicabile la sanzione di cui all'articolo 6, comma 9-bis.1, primo periodo, del decreto legislativo 18 dicembre 1997, n. 471. Al pagamento della sanzione è solidalmente tenuto il prestatore.

63. Con provvedimento del direttore dell'Agenzia delle entrate sono individuati i termini e le modalità di attuazione dei commi da 57 a 62.

64. Al numero 1-septies) della parte II-bis della tabella A annessa al decreto del Presidente della Repubblica 26 ottobre 1972, n. 633, sono apportate le seguenti modificazioni:

a) dopo le parole: « attività sportiva invernale » sono inserite le seguenti: « e alpinistica »;

b) la parola: « individuata » è sostituita dalle seguenti: « individuate, rispettivamente, »;

c) dopo le parole: « Comitato Olimpico Nazionale Italiano » sono inserite le seguenti: « e dall'articolo 2, comma 1, lettera c), della legge 2 gennaio 1989, n. 6, relativa all'ordinamento della professione di guida alpina ».

65. Agli oneri derivanti dal comma 64, valutati in 100.000 euro annui a decorrere dall'anno 2025, si provvede mediante corrispondente riduzione del Fondo di cui all'articolo 1, comma 200, della legge 23 dicembre 2014, n. 190, come rifinanziato ai sensi del comma 884 del presente articolo.

66. Nei casi di pagamenti effettuati attraverso strumenti elettronici, diversi dai bonifici, l'accredito degli importi giornalieri in favore del beneficiario avviene entro le ore 12 del giorno lavorativo successivo alla ricezione degli ordini di pagamento, e in ogni caso con valuta il giorno della ricezione dell'ordine medesimo.

67. I prestatori di servizi di pagamento si adeguano alla disposizione di cui al comma 66 entro centottanta giorni dalla data di entrata in vigore della presente legge.

68. All'articolo 8 del decreto legislativo 18 settembre 2024, n. 139, è aggiunto, in fine, il seguente comma:

« 2-bis. Nei territori soggetti al sistema tavolare di pubblicità immobiliare di cui al regio decreto 28 marzo 1929, n. 499, gli atti preordinati alla cancellazione di diritti di usufrutto, uso o abitazione, già iscritti a favore di persone decedute, sono esenti dall'imposta ipotecaria. L'esenzione si applica a tutte le domande di cancellazione dei diritti di usufrutto, uso e abitazione per causa di morte pervenute agli uffici competenti successivamente alla data di entrata in vigore della presente disposizione aventi a oggetto diritti iscritti a favore di soggetti deceduti a decorrere dal 1° gennaio 2025 ».

69. Agli oneri derivanti dall'attuazione del comma 68, valutati in 500.000 euro annui a decorrere dall'anno 2025, si provvede mediante corrispondente riduzione del Fondo di cui all'articolo 1, comma 200, della legge 23 dicembre 2014, n. 190, come rifinanziato ai sensi del comma 884 del presente articolo.

70. All'articolo 32 del decreto del Presidente della Repubblica 29 settembre 1973, n. 601, dopo il secondo comma è aggiunto il seguente:

« Sono altresì esenti da imposte ipotecarie gli atti di annotazione e di cancellazione nel libro fondiario di vincoli previsti dall'ordinamento dell'edilizia abitativa agevolata della provincia autonoma di Bolzano, nonché gli atti di annotazione e di cancellazione nel libro fondiario di vincoli per immobili convenzionati o riservati a residenti ai sensi della legge provinciale in materia urbanistica ».

71. Agli oneri derivanti dall'attuazione del comma 70, valutati in euro 500.000 annui a decorrere dall'anno 2025, si provvede mediante corrispondente riduzione del Fondo di cui all'articolo 1, comma 200, della legge 23 dicembre 2014, n. 190, come rifinanziato ai sensi del comma 884 del presente articolo.

72. All'articolo 35 del testo unico delle disposizioni legislative concernenti le imposte sulla produzione e sui consumi e relative sanzioni penali e amministrative, di cui al decreto legislativo 26 ottobre 1995, n. 504, in materia di accertamento dell'accisa sulla birra, sono apportate le seguenti modificazioni:

a) al comma 3-bis, secondo periodo, dopo le parole: « per gli anni 2022 e 2023 » sono inserite le seguenti: « nonché a decorrere dall'anno 2025 »;

b) al comma 3-quater, alinea, le parole: « Limitatamente agli anni 2022 e 2023 » sono sostituite dalle seguenti: « Per gli anni 2022 e 2023 nonché a decorrere dall'anno 2025 ».

73. Ai fini dell'applicazione delle aliquote ridotte di accisa previste dai commi 3-bis e 3-quater dell'articolo 35 del testo unico di cui al decreto legislativo 26 ottobre 1995, n. 504, come modificati da ultimo dal comma 72 del presente articolo, a decorrere dall'anno 2025 si applicano altresì le disposizioni del decreto del Ministro dell'economia e delle finanze 4 giugno 2019, pubblicato nella Gazzetta Ufficiale n. 138 del 14 giugno 2019, e del decreto del Ministro dell'economia e delle finanze 21 marzo 2022, pubblicato nella Gazzetta Ufficiale n. 75 del 30 marzo 2022.

74. Il comma 3 dell'articolo 2 del decreto legislativo 5 agosto 2015, n. 127, in materia di trasmissione telematica dei dati dei corrispettivi, è sostituito dal seguente:

« 3. La memorizzazione elettronica e la trasmissione telematica di cui al comma 1 sono effettuate mediante strumenti tecnologici che garantiscano l'inalterabilità e la sicurezza dei dati nonché la piena integrazione e interazione del processo di registrazione dei corrispettivi con il processo di pagamento elettronico. A tale fine, lo strumento hardware o software mediante il quale sono accettati i pagamenti elettronici è sempre collegato allo strumento mediante il quale sono registrati e memorizzati, in modo puntuale, e trasmessi, in forma aggregata, i dati dei corrispettivi nonché i dati dei pagamenti elettronici giornalieri ».

75. All'articolo 11 del decreto legislativo 18 dicembre 1997, n. 471, concernente sanzioni amministrative per violazioni in materia di imposte dirette e di imposta sul valore aggiunto, sono apportate le seguenti modificazioni:

a) al comma 2-quinquies è aggiunto, in fine, il seguente periodo: « Le disposizioni dei periodi precedenti si applicano anche nei casi di violazione degli obblighi di memorizzazione o trasmissione dei pagamenti elettronici di cui all'articolo 2, comma 3, del decreto legislativo 5 agosto 2015, n. 127 »;

b) al comma 5 è aggiunto, in fine, il seguente periodo: « La sanzione di cui al primo periodo si applica anche nel caso di mancato collegamento dello strumento hardware o software mediante il quale sono accettati i pagamenti elettronici di cui all'articolo 2, comma 3, secondo periodo, del decreto legislativo 5 agosto 2015, n. 127 ».

76. All'articolo 12 del decreto legislativo 18 dicembre 1997, n. 471, concernente sanzioni accessorie in materia di imposte dirette e di imposta sul valore aggiunto, sono apportate le seguenti modificazioni:

a) al comma 2, ultimo periodo, le parole « commi 1, 1-bis e 2, » sono sostituite dalle seguenti: « commi 1, 1-bis, 2 e 3, »;

b) al comma 3 è aggiunto, in fine, il seguente periodo: « Le sanzioni di cui al primo e al secondo periodo si applicano anche nel caso di mancato collegamento dello strumento hardware o software mediante il quale sono accettati i pagamenti elettronici di cui all'articolo 2, comma 3, secondo periodo, del decreto legislativo 5 agosto 2015, n. 127 ».

77. Le disposizioni di cui ai commi da 74 a 76 si applicano a decorrere dal 1° gennaio 2026.

78. Con i provvedimenti di approvazione della modulistica fiscale adottati dal direttore dell'Agenzia delle entrate sono definite le modalità di indicazione del codice identificativo nazionale di cui all'articolo 13-ter del decreto-legge 18 ottobre 2023, n. 145, convertito, con modificazioni, dalla legge 15 dicembre 2023, n. 191, nelle dichiarazioni fiscali e nella certificazione unica. Il medesimo codice identificativo è indicato nelle comunicazioni di cui all'articolo 4, comma 4, del decreto-legge 24 aprile 2017, n. 50, convertito, con modificazioni, dalla legge 21 giugno 2017, n. 96.

79. All'articolo 13-ter, comma 11, del decreto-legge 18 ottobre 2023, n. 145, convertito, con modificazioni, dalla legge 15 dicembre 2023, n. 191, concernente sanzioni per violazioni in materia di locazioni per finalità turistiche, locazioni brevi e attività turistico-ricettive, è aggiunto, in fine, il seguente periodo: « Ai fini del rafforzamento delle attività di analisi di cui al comma 12, i risultati dei controlli di cui al primo periodo sono comunicati anche alla direzione provinciale dell'Agenzia delle entrate territorialmente competente in base al domicilio fiscale del trasgressore ».

80. All'articolo 1 del decreto legislativo 5 agosto 2015, n. 127, in materia di memorizzazione delle fatture elettroniche, sono apportate le seguenti modificazioni:

a) al comma 5-bis, dopo la lettera b) è aggiunta la seguente:

« b-bis) dall'Agenzia delle dogane e dei monopoli per le attività di vigilanza e di controllo di cui all'articolo 18 del testo unico delle disposizioni legislative concernenti le imposte sulla produzione e sui consumi e relative sanzioni penali e amministrative, di cui al decreto legislativo 26 ottobre 1995, n. 504 »;

b) al comma 5-ter, le parole: « e l'Agenzia delle entrate » sono sostituite dalle seguenti: « , l'Agenzia delle entrate nonché l'Agenzia delle dogane e dei monopoli ».

81. Al testo unico delle imposte sui redditi, di cui al decreto del Presidente della Repubblica 22 dicembre 1986, n. 917, sono apportate le seguenti modificazioni:

a) all'articolo 51, comma 5, in materia di indennità per trasferte o missioni di lavoratori dipendenti, è aggiunto, in fine, il seguente periodo: « I rimborsi delle spese per vitto, alloggio, viaggio e trasporto effettuati mediante autoservizi pubblici non di linea di cui all'articolo 1 della legge 15 gennaio 1992, n. 21, per le trasferte o le missioni di cui al presente comma, non concorrono a formare il reddito se i pagamenti delle predette spese sono eseguiti con versamento bancario o postale ovvero mediante altri sistemi di pagamento previsti dall'articolo 23 del decreto legislativo 9 luglio 1997, n. 241 »;

b) all'articolo 54, in materia di determinazione del reddito di lavoro autonomo, dopo il comma 6-bis è inserito il seguente:

« 6-ter. Fermo restando quanto previsto ai commi 5 e 6, le spese relative a prestazioni alberghiere, di somministrazione di alimenti e bevande nonché di viaggio e trasporto mediante autoservizi pubblici non di linea di cui all'articolo 1 della legge 15 gennaio 1992, n. 21, addebitate analiticamente al committente, nonché i rimborsi analitici relativi alle medesime spese, sostenute per le trasferte dei dipendenti ovvero corrisposti a lavoratori autonomi, sono deducibili se i pagamenti sono eseguiti con versamento bancario o postale ovvero mediante altri sistemi di pagamento previsti dall'articolo 23 del decreto legislativo 9 luglio 1997, n. 241 »;

c) all'articolo 95, in materia di deducibilità delle spese per prestazioni di lavoro, dopo il comma 3 è inserito il seguente:

« 3-bis. Le spese di vitto e alloggio e quelle per viaggio e trasporto mediante autoservizi pubblici non di linea di cui all'articolo 1 della legge 15 gennaio 1992, n. 21, nonché i rimborsi analitici relativi alle medesime spese, sostenute per le trasferte dei dipendenti ovvero corrisposti a lavoratori autonomi, sono deducibili nei limiti di cui ai commi 1, 2 e 3 se i pagamenti sono eseguiti con versamento bancario o postale ovvero mediante altri sistemi di pagamento previsti dall'articolo 23 del decreto legislativo 9 luglio 1997, n. 241 »;

d) all'articolo 108, comma 2, in materia di deducibilità delle spese di rappresentanza, è aggiunto, in fine, il seguente periodo: « Le spese di cui al presente comma sono deducibili se i pagamenti sono eseguiti con versamento bancario o postale ovvero mediante altri sistemi di pagamento previsti dall'articolo 23 del decreto legislativo 9 luglio 1997, n. 241 ».

82. Le disposizioni di cui al comma 81 si applicano anche ai fini dell'imposta regionale sulle attività produttive, di cui al decreto legislativo 15 dicembre 1997, n. 446.

83. Le disposizioni di cui ai commi 81 e 82 si applicano a decorrere dal periodo d'imposta successivo a quello in corso al 31 dicembre 2024.

84. All'articolo 48-bis del decreto del Presidente della Repubblica 29 settembre 1973, n. 602, in materia di pagamenti delle pubbliche amministrazioni, dopo il comma 1 è inserito il seguente:

« 1-bis. Limitatamente alle somme dovute a titolo di stipendio, di salario o di altre indennità relative al rapporto di lavoro o di impiego, comprese quelle dovute a causa di licenziamento, le disposizioni di cui al comma 1 si applicano anche al pagamento di importi superiori a duemilacinquecento euro; in tal caso, i soggetti di cui al medesimo comma 1 verificano se il beneficiario è inadempiente all'obbligo di versamento derivante dalla notifica di una o più cartelle di pagamento per un ammontare complessivo pari almeno a cinquemila euro ».

85. Le disposizioni di cui al comma 84 si applicano con riferimento ai pagamenti da effettuare a titolo di stipendio, di salario o di altre indennità relative al rapporto di lavoro o di impiego, comprese quelle dovute a causa di licenziamento, a decorrere dal 1° gennaio 2026.

86. Il comma 2 dell'articolo 38-bis del decreto del Presidente della Repubblica 29 settembre 1973, n. 600, è sostituito dal seguente:

« 2. Con provvedimenti del direttore dell'Agenzia delle entrate, d'intesa con il Comandante generale della Guardia di finanza, è disciplinata la procedura di sottoscrizione dei processi verbali redatti nel corso e al termine delle attività amministrative di controllo fiscale in materia di imposte dirette e indirette, anche disponendo la possibilità che i verbalizzanti possano firmare digitalmente la copia informatica del documento preventivamente sottoscritto, anche in via analogica, dal contribuente. In caso di firma analogica del documento da parte del contribuente, i verbalizzanti attestano la conformità della copia informatica al documento analogico ai sensi dell'articolo 22 del codice dell'amministrazione digitale, di cui al decreto legislativo 7 marzo 2005, n. 82 ».

87. Per le comunicazioni relative a contratti di assicurazione sulla vita, l'imposta di bollo di cui all'articolo 13, comma 2-ter, della tariffa allegata al decreto del Presidente della Repubblica 26 ottobre 1972, n. 642, è dovuta annualmente e il corrispondente ammontare è versato ogni anno, a decorrere dal 2025, dalle imprese di assicurazione con le modalità ordinarie previste dall'articolo 4 del decreto del Ministro dell'economia e delle finanze 24 maggio 2012, pubblicato nella Gazzetta Ufficiale n. 127 del 1° giugno 2012. Resta fermo che l'ammontare corrispondente all'imposta di bollo versato annualmente dall'impresa di assicurazione è computato in diminuzione della prestazione erogata alla scadenza o al riscatto della polizza.

88. Per i contratti di assicurazione sulla vita in corso al 1° gennaio 2025, l'ammontare corrispondente all'importo complessivo dell'imposta di bollo di cui all'articolo 13, comma 2-ter, della tariffa allegata al decreto del Presidente della Repubblica 26 ottobre 1972, n. 642, calcolata per ciascun anno fino al 2024, è versato per una quota pari al 50 per cento entro il 30 giugno 2025, per una quota pari al 20 per cento entro il 30 giugno 2026, per una quota pari al 20 per cento entro il 30 giugno 2027 e per la restante quota del 10 per cento entro il 30 giugno 2028. Per le comunicazioni relative a contratti di assicurazione sulla vita, resta fermo che l'ammontare corrispondente all'imposta di bollo versato annualmente dall'impresa di assicurazione è computato in diminuzione della prestazione erogata alla scadenza o al riscatto della polizza.

89. A fini di parità di trattamento tributario fra tipologie omologhe di gioco pubblico raccolto a distanza, la lettera a) del comma 1052 dell'articolo 1 della legge 30 dicembre 2018, n. 145, in materia di imposta unica sui concorsi pronostici e sulle scommesse, si interpreta nel senso che l'importo del prelievo ivi previsto riguarda altresì i giochi di sorte a quota fissa e i giochi di carte organizzati in forma diversa dal torneo.

90. All'articolo 1, comma 636, lettera c), della legge 27 dicembre 2013, n. 147, in materia di concessioni per la raccolta del gioco del bingo, le parole da: « e il divieto di trasferimento » fino a: « Agenzia delle dogane e dei monopoli » sono sostituite dalle seguenti: « e il divieto di trasferimento dei locali per tutto il periodo della proroga, fatta eccezione per i concessionari che, versando nell'impossibilità di mantenere la disponibilità dei locali per cause di forza maggiore, per loro comprovata diseconomia o per fatti non imputabili al concessionario, si trasferiscono, previa favorevole valutazione dell'Agenzia delle dogane e dei monopoli, in altro immobile di cui dispongono, situato nello stesso comune ad una distanza minima stradale di 1.000 metri dalla sala bingo più vicina ovvero in altro comune a una distanza minima stradale di 30.000 metri dalla sala bingo più vicina ».

91. All'articolo 10, comma 9-septies, del decreto-legge 2 marzo 2012, n. 16, convertito, con modificazioni, dalla legge 26 aprile 2012, n. 44, in materia di determinazione del montepremi per il gioco del bingo, è aggiunto, in fine, il seguente periodo: « A decorrere dal 1° gennaio 2025, il montepremi è fissato in una misura compresa tra il minimo del 70 per cento e il massimo del 71 per cento del prezzo di vendita delle cartelle ».

92. A decorrere dal 1° gennaio 2025, l'imposta unica sui concorsi pronostici e sulle scommesse, di cui al decreto legislativo 23 dicembre 1998, n. 504, è stabilita:

a) per i giochi di abilità a distanza con vincita in denaro, compresi i giochi di carte in modalità di torneo e i giochi di carte in modalità diversa dal torneo, nonché per i giochi di sorte a quota fissa e per il gioco del bingo a distanza, nella misura del 25,5 per cento delle somme che, in base al regolamento di gioco, non risultano restituite al giocatore;

b) per le scommesse sportive a quota fissa, nelle misure del 20,5 per cento, se la raccolta avviene su rete fisica, e del 24,5 per cento, se la raccolta avviene a distanza, applicata sulla differenza tra le somme giocate e le vincite corrisposte;

c) per le scommesse a quota fissa su eventi simulati, di cui all'articolo 1, comma 88, della legge 27 dicembre 2006, n. 296, nella misura del 24,5 per cento della raccolta al netto delle somme che, in base al regolamento di gioco, sono restituite in vincite al giocatore.

93. Il prelievo sui prodotti di cui all'articolo 4, comma 3, del regolamento di cui al decreto del Presidente della Repubblica 8 aprile 1998, n. 169, e di cui all'articolo 1, comma 1053, della legge 27 dicembre 2017, n. 205, è fissato, a decorrere dal 1° gennaio 2025, nella misura, rispettivamente, del 20,5 per cento per le scommesse ippiche a quota fissa raccolte su rete fisica e del 24,5 per cento per quelle raccolte a distanza, applicato sulla differenza tra somme giocate e vincite corrisposte, ferma restando la ripartizione del prelievo conseguito ai sensi dell'articolo 1, comma 1051, secondo periodo, della medesima legge n. 205 del 2017.

94. A decorrere dall'anno 2025 è effettuata nella giornata di venerdì un'estrazione settimanale aggiuntiva dei giochi del Lotto e del Superenalotto. Se tale estrazione aggiuntiva ricorre in un giorno di festività riconosciuta agli effetti civili in tutto il territorio nazionale, l'estrazione è differita al primo giorno feriale successivo ovvero, in casi eccezionali, è anticipata al primo giorno feriale antecedente, con provvedimento del direttore dell'Agenzia delle dogane e dei monopoli, garantendo la continuità progressiva dei concorsi.

95. In relazione a quanto disposto dal comma 94, il Fondo per le emergenze nazionali di cui all'articolo 44 del codice della protezione civile, di cui al decreto legislativo 2 gennaio 2018, n. 1, è incrementato di 50 milioni di euro annui a decorrere dall'anno 2025.

96. In considerazione dell'obiettivo del riordino delle disposizioni vigenti in materia di giochi pubblici, di cui all'articolo 15 della legge 9 agosto 2023, n. 111, in considerazione della persistente mancata intesa con le regioni e con gli enti locali in ordine a un appropriato quadro regolatorio ed economico idoneo a identificare un corretto equilibrio finanziario delle concessioni in materia di distribuzione e raccolta del gioco pubblico, tenuto altresì conto delle dovute esigenze di continuità delle connesse entrate erariali, sono prorogate nei seguenti termini le concessioni in scadenza il 31 dicembre 2024 in materia di raccolta del gioco del bingo, delle scommesse su eventi sia sportivi, anche ippici, sia non sportivi, compresi quelli simulati, nonché di realizzazione e conduzione delle reti di gestione telematica del gioco mediante apparecchi da divertimento e intrattenimento:

a) le concessioni relative al gioco del bingo sono prorogate a titolo oneroso fino al 31 dicembre 2026. Conseguentemente ciascun concessionario corrisponde l'importo di euro 108.000 per ciascuna concessione e per ciascun anno di proroga, effettuando il versamento all'Agenzia delle dogane e dei monopoli in rate di pari importo entro il 31 gennaio e il 30 giugno sia dell'anno 2025 sia dell'anno 2026;

b) le concessioni in materia di scommesse sono prorogate a titolo oneroso fino al 31 dicembre 2026. Conseguentemente gli oneri concessori dovuti sono versati all'Agenzia delle dogane e dei monopoli in due rate per ciascun anno di proroga, con scadenza il 30 aprile e il 31 ottobre sia dell'anno 2025 sia dell'anno 2026, e ammontano a euro 9.500 annui per diritto afferente ai punti di vendita aventi come attività principale la commercializzazione dei prodotti di gioco pubblici, compresi i punti di raccolta regolarizzati, e a euro 5.700 annui per ogni diritto afferente ai punti di vendita aventi come attività accessoria la commercializzazione dei prodotti di gioco pubblici. Con provvedimento del direttore dell'Agenzia delle dogane e dei monopoli sono definite le garanzie economiche alla cui prestazione sono tenuti i concessionari, adeguate ai nuovi termini di scadenza delle concessioni e in grado di salvaguardare l'effettivo versamento degli oneri concessori dovuti;

c) le concessioni per la realizzazione e la conduzione delle reti di gestione telematica del gioco mediante apparecchi da divertimento e intrattenimento di cui all'articolo 110, comma 6, del testo unico delle leggi di pubblica sicurezza, di cui al regio decreto 18 giugno 1931, n. 773, sono prorogate a titolo oneroso fino al 31 dicembre 2026. Conseguentemente gli oneri concessori dovuti da ciascun concessionario sono versati all'Agenzia delle dogane e dei monopoli entro il 15 marzo, il 15 luglio e il 1° ottobre sia dell'anno 2025 sia dell'anno 2026 e ammontano, quanto agli apparecchi di cui alla lettera a) del comma 6 del citato articolo 110, a euro 120 per ciascun apparecchio e, quanto agli apparecchi di cui alla lettera b) del medesimo comma 6, a euro 4.000 per ciascun diritto, rispettivamente per i nulla osta posseduti da ciascun concessionario e per i diritti rilasciati a ciascun concessionario alla data del 31 dicembre 2023. Con provvedimento del direttore dell'Agenzia delle dogane e dei monopoli sono definite le garanzie economiche alla cui prestazione sono tenuti i concessionari, adeguate ai nuovi termini di scadenza delle concessioni e in grado di salvaguardare l'effettivo versamento degli oneri concessori dovuti.

97. Nelle more della ratifica e dell'entrata in vigore del Protocollo di modifica dell'Accordo tra la Repubblica italiana e la Confederazione svizzera relativo all'imposizione dei lavoratori frontalieri, fatto a Roma il 23 dicembre 2020, i lavoratori frontalieri, come definiti all'articolo 2, lettera b), del citato Accordo, compresi coloro che beneficiano del regime transitorio previsto dall'articolo 9 del medesimo Accordo, possono svolgere, nel periodo compreso tra il 1° gennaio 2024 e la data di entrata in vigore del predetto Protocollo, fino al 25 per cento della loro attività di lavoro dipendente in modalità di telelavoro presso il proprio domicilio nello Stato di residenza senza che ciò comporti la perdita dello status di lavoratore frontaliere. Ai fini dell'applicazione dell'articolo 3 dell'Accordo, l'attività di lavoro dipendente svolta dal lavoratore frontaliere in modalità di telelavoro presso il proprio domicilio nello Stato di residenza, fino al massimo del 25 per cento del tempo di lavoro, si considera effettuata presso il datore di lavoro nell'altro Stato contraente.

98. Le disposizioni dell'articolo 51, comma 8-bis, del testo unico delle imposte sui redditi, di cui al decreto del Presidente della Repubblica 22 dicembre 1986, n. 917, si interpretano nel senso che sono compresi nella loro applicazione anche i redditi di lavoro dipendente prestato all'estero in via continuativa e come oggetto esclusivo del rapporto dai dipendenti che, nell'arco di dodici mesi, soggiornano nello Stato estero per un periodo superiore a 183 giorni ritornando in Italia al proprio domicilio una volta alla settimana.

99. A seguito dell'istituzione di un apposito fondo nello stato di previsione del Ministero dell'economia e delle finanze a decorrere dall'anno 2025, ai sensi dell'articolo 10, comma 3, della legge 13 giugno 2023, n. 83, una quota del contributo statale di cui ai commi 1 e 2 del medesimo articolo 10 compete anche ai comuni italiani di frontiera indicati nell'allegato 1 al decreto-legge 9 agosto 2024, n. 113, convertito, con modificazioni, dalla legge 7 ottobre 2024, n. 143. La quota del contributo statale di cui al primo periodo è calcolata sulla base di criteri da individuare con il decreto di cui all'articolo 10, comma 5, della citata legge n. 83 del 2023. Non è dovuto alcun contributo statale per le annualità antecedenti a quella di istituzione del fondo di cui al citato articolo 10, comma 3, della legge n. 83 del 2023.

100. Al primo periodo del comma 238 dell'articolo 1 della legge 30 dicembre 2023, n. 213, dopo le parole: « di 200 euro per ogni mese lavorato, » sono inserite le seguenti: « raddoppiabili in caso di omesso pagamento o comunicazione, ».

101. Alla legge 13 giugno 2023, n. 83, sono apportate le seguenti modificazioni:

a) all'articolo 10:

1) al comma 5, le parole: « del 3 per cento » sono sostituite dalle seguenti: « del 4 per cento per i comuni con popolazione superiore a 15.000 abitanti e del 3 per cento per i comuni con popolazione inferiore a 15.000 abitanti »;

2) al comma 6 è aggiunto, in fine, il seguente periodo: « L'utilizzo della quota delle risorse di parte corrente di cui al primo periodo è destinato prioritariamente alle iniziative volte a compensare gli effetti socio economici derivanti da crisi aziendali esistenti nel territorio di competenza »;

b) all'articolo 11, comma 2, dopo le parole: « sono definiti » sono inserite le seguenti: « le specifiche finalità da perseguire e ».

102. In considerazione del permanere di condizioni di disagio sociale ed economico, la dotazione del fondo di cui all'articolo 58 del decreto-legge 22 giugno 2012, n. 83, convertito, con modificazioni, dalla legge 7 agosto 2012, n. 134, è incrementata di 50 milioni di euro annui a decorrere dall'anno 2025.

103. La dotazione del fondo di cui all'articolo 1, comma 450, della legge 29 dicembre 2022, n. 197, è incrementata di 500 milioni di euro per l'anno 2025 per l'acquisto di beni alimentari di prima necessità. Con decreto del Ministro dell'agricoltura, della sovranità alimentare e delle foreste, di concerto con il Ministro delle imprese e del made in Italy, con il Ministro del lavoro e delle politiche sociali e con il Ministro dell'economia e delle finanze, sono ripartite le risorse del fondo di cui al primo periodo e sono individuati i termini e le modalità di erogazione.

104. Per le finalità di cui al comma 103, l'autorizzazione di spesa di cui all'articolo 1, comma 451-bis, della legge 29 dicembre 2022, n. 197, è incrementata di 2,3 milioni di euro per l'anno 2025, a valere sulle risorse del fondo di cui al medesimo comma 103.

105. Nello stato di previsione del Ministero del lavoro e delle politiche sociali è istituito un fondo, denominato « Fondo per il contrasto della povertà alimentare a scuola », con una dotazione di 500.000 euro per ciascuno degli anni 2025 e 2026 e di 1 milione di euro annui a decorrere dall'anno 2027, da ripartire tra i comuni individuati con il decreto di cui al secondo periodo, per l'erogazione di contributi in favore dei nuclei familiari che, a causa di condizioni oggettive di impoverimento, durante l'anno scolastico non riescano a provvedere al pagamento delle rette previste per la fruizione del servizio di ristorazione scolastica nelle scuole primarie. Con decreto del Ministro del lavoro e delle politiche sociali, di concerto con i Ministri dell'istruzione e del merito e dell'economia e delle finanze, sono stabiliti le modalità e i criteri di riparto del Fondo di cui al primo periodo, anche al fine del rispetto del limite di spesa autorizzato ai sensi del presente comma, nonché le modalità di rendicontazione e monitoraggio dell'impiego delle relative risorse.

106. Agli oneri derivanti dal comma 105, pari a 500.000 euro per ciascuno degli anni 2025 e 2026 e a 1 milione di euro annui a decorrere dall'anno 2027, si provvede mediante corrispondente riduzione del Fondo di cui all'articolo 1, comma 200, della legge 23 dicembre 2014, n. 190, come rifinanziato ai sensi del comma 884 del presente articolo.

107. Al fine di sostenere la competitività del sistema produttivo industriale e dei relativi livelli occupazionali e di favorire l'incremento dell'efficienza energetica nell'ambito domestico, la riduzione dei consumi attraverso la sostituzione dei grandi elettrodomestici ad uso civile e il corretto smaltimento degli apparecchi obsoleti attraverso il riciclo, è concesso agli utenti finali, per l'anno 2025, un contributo per l'acquisto di elettrodomestici ad elevata efficienza energetica non inferiore alla nuova classe energetica B, prodotti nel territorio dell'Unione europea, con contestuale smaltimento dell'elettrodomestico sostituito.

108. Il contributo di cui al comma 107 può essere concesso in misura non superiore al 30 per cento del costo di acquisto dell'elettrodomestico e comunque per un importo non superiore a 100 euro per ciascun elettrodomestico, elevato a 200 euro se il nucleo familiare dell'acquirente ha un valore dell'indicatore della situazione economica equivalente, stabilito ai sensi del regolamento di cui al decreto del Presidente del Consiglio dei ministri 5 dicembre 2013, n. 159, inferiore a 25.000 euro annui. Il contributo è fruibile per l'acquisto di un solo elettrodomestico.

109. Per le finalità di cui al comma 107 è istituito, nello stato di previsione del Ministero delle imprese e del made in Italy, un fondo con una dotazione pari a 50 milioni di euro per l'anno 2025. Il contributo è attribuito a valere sulle risorse del fondo nel limite dello stanziamento autorizzato, che costituisce limite massimo di spesa.

110. Con decreto del Ministro delle imprese e del made in Italy, di concerto con il Ministro dell'economia e delle finanze, da adottare entro sessanta giorni dalla data di entrata in vigore della presente legge, sono definiti i criteri, le modalità e i termini per l'erogazione del contributo di cui al comma 107, anche al fine di assicurare il rispetto del limite di spesa di cui al comma 109.

111. Agli oneri derivanti dai commi da 107 a 110, pari a 50 milioni di euro per l'anno 2025, si provvede mediante corrispondente riduzione del Fondo per interventi strutturali di politica economica, di cui all'articolo 10, comma 5, del decreto-legge 29 novembre 2004, n. 282, convertito, con modificazioni, dalla legge 27 dicembre 2004, n. 307.

112. Il termine di cui all'articolo 64, comma 3, primo e secondo periodo, del decreto-legge 25 maggio 2021, n. 73, convertito, con modificazioni, dalla legge 23 luglio 2021, n. 106, è differito al 31 dicembre 2027.

113. Le disposizioni di cui all'articolo 1, commi 9, 10, 11, 12 e 13, della legge 30 dicembre 2023, n. 213, si applicano fino al 31 dicembre 2027. Le risorse disponibili a valere sulla riserva di cui all'articolo 1, comma 11, della legge n. 213 del 2023 possono essere utilizzate anche per le finalità di cui al comma 112 del presente articolo.

114. La dotazione del Fondo di garanzia per la prima casa, di cui all'articolo 1, comma 48, lettera c), della legge 27 dicembre 2013, n. 147, è incrementata di 130 milioni di euro per l'anno 2025 e di 270 milioni di euro per ciascuno degli anni 2026 e 2027.

115. All'articolo 1, comma 48, lettera c), della legge 27 dicembre 2013, n. 147, le parole: « con priorità » sono sostituite dalla seguente: « esclusivamente ».

116. Al fine di incentivare il mercato immobiliare e agevolare il cambio della prima casa di abitazione, all'articolo 1, nota II-bis), comma 4-bis, della tariffa, parte prima, allegata al testo unico delle disposizioni concernenti l'imposta di registro, di cui al decreto del Presidente della Repubblica 26 aprile 1986, n. 131, le parole: « entro un anno » sono sostituite dalle seguenti: « entro due anni ».

117. Il Fondo di cui all'articolo 6, comma 5, del decreto-legge 31 agosto 2013, n. 102, convertito, con modificazioni, dalla legge 28 ottobre 2013, n. 124, è rifinanziato nella misura di 10 milioni di euro per l'anno 2025 e di 20 milioni di euro per l'anno 2026.

118. Entro trenta giorni dalla data di entrata in vigore della presente legge, con decreto del Ministro delle infrastrutture e dei trasporti, di concerto con il Ministro dell'economia e delle finanze, sentita la Conferenza permanente per i rapporti tra lo Stato, le regioni e le province autonome di Trento e di Bolzano, si provvede a un aggiornamento del decreto del Ministro delle infrastrutture e dei trasporti 30 marzo 2016, pubblicato nella Gazzetta Ufficiale n. 172 del 25 luglio 2016, al fine di stabilire i criteri e le modalità di utilizzo delle risorse di cui al comma 117 che prevedano, pena il definanziamento, l'erogazione delle stesse entro il 31 luglio di ciascuna delle annualità del Fondo di cui al medesimo comma 117 a soggetti per i quali, fermi restando i requisiti già previsti nel citato decreto del Ministro delle infrastrutture e dei trasporti 30 marzo 2016, al momento della presentazione dell'istanza permanga uno stato di bisogno connesso alla perdita o alla consistente riduzione della capacità reddituale del nucleo familiare tali da non permettere o da rendere particolarmente difficoltoso il pagamento del canone di locazione. Con il decreto da adottare ai sensi del primo periodo è altresì stabilito il numero massimo di annualità consecutive per le quali l'inquilino moroso incolpevole può accedere al Fondo di cui al comma 117, anche prevedendo, in alternativa, la possibilità di corresponsione del contributo direttamente al proprietario.

119. Agli oneri derivanti dai commi 117 e 118, pari a 10 milioni di euro per l'anno 2025 e a 20 milioni di euro per l'anno 2026, si provvede mediante corrispondente riduzione del Fondo per interventi strutturali di politica economica, di cui all'articolo 10, comma 5, del decreto-legge 29 novembre 2004, n. 282, convertito, con modificazioni, dalla legge 27 dicembre 2004, n. 307.

120. Il fondo di cui all'articolo 1, comma 526, della legge 30 dicembre 2020, n. 178, è incrementato di 1 milione di euro per l'anno 2025 e di 2 milioni di euro per ciascuno degli anni 2026 e 2027. Agli oneri derivanti dal presente comma, pari a 1 milione di euro per l'anno 2025 e a 2 milioni di euro per ciascuno degli anni 2026 e 2027, si provvede mediante corrispondente riduzione del Fondo di cui all'articolo 1, comma 200, della legge 23 dicembre 2014, n. 190, come rifinanziato ai sensi del comma 884 del presente articolo.

121. Al fine di dare attuazione a quanto previsto dall'articolo 3, comma 2, del decreto-legge 9 giugno 2021, n. 80, convertito, con modificazioni, dalla legge 6 agosto 2021, n. 113, le risorse destinate ai trattamenti accessori del personale dipendente dalle amministrazioni di cui all'articolo 1, comma 2, del decreto legislativo 30 marzo 2001, n. 165, possono essere incrementate, rispetto a quelle destinate a tali finalità nell'anno 2024, con modalità e criteri da stabilire nell'ambito della contrattazione collettiva nazionale relativa al triennio 2022-2024, di una misura percentuale del monte salari relativo all'anno 2021 da determinare, per le amministrazioni statali, nei limiti di una spesa complessiva di 112,1 milioni di euro annui a decorrere dall'anno 2025, al lordo degli oneri contributivi ai fini previdenziali e dell'imposta regionale sulle attività produttive di cui al decreto legislativo 15 dicembre 1997, n. 446, mediante l'istituzione, nello stato di previsione del Ministero dell'economia e delle finanze, di un apposito fondo con una dotazione di pari importo e, per le restanti amministrazioni, a valere sui propri bilanci, con la medesima percentuale e i medesimi criteri previsti per il personale delle amministrazioni dello Stato, secondo gli indirizzi impartiti dai rispettivi comitati di settore ai sensi dell'articolo 47, comma 2, del predetto decreto legislativo n. 165 del 2001.

122. Al fine di attuare quanto disposto dal comma 121, una quota del fondo di cui al medesimo comma 121 pari a 55,3 milioni di euro annui a decorrere dall'anno 2025, di cui 16,67 milioni di euro per le Forze armate, 12,34 milioni di euro per la Polizia di Stato, 13,91 milioni di euro per l'Arma dei carabinieri, 7,82 milioni di euro per il Corpo della guardia di finanza e 4,56 milioni di euro per il Corpo della polizia penitenziaria, è destinata, nell'ambito degli accordi negoziali relativi al triennio 2022-2024, all'incremento delle risorse per il finanziamento dei trattamenti economici accessori di natura non fissa e continuativa del personale non dirigente delle Forze di polizia e delle Forze armate.

123. Al fine di attuare quanto disposto dal comma 121, il fondo per il miglioramento dell'offerta formativa è incrementato di 93,7 milioni di euro annui a decorrere dall'anno 2025 per il personale docente.

124. Ai fini del rispetto del limite di cui all'articolo 23, comma 2, del decreto legislativo 25 maggio 2017, n. 75, concorrono le risorse destinate, nell'ambito della contrattazione integrativa o di analoghi accordi per il personale contrattualizzato in regime di diritto pubblico, a benefìci di natura assistenziale e sociale in materia di welfare integrativo, fatte salve le risorse riconosciute a tale fine da specifiche disposizioni di legge o da previgenti norme di contratto collettivo nazionale.

125. Le risorse stanziate con la legge 8 agosto 2024, n. 118, sui capitoli relativi al finanziamento dei benefìci di natura assistenziale e sociale in favore dei dipendenti possono essere destinate a tali finalità nell'ambito della contrattazione collettiva integrativa di riferimento. La presente disposizione entra in vigore alla data di pubblicazione della presente legge nella Gazzetta Ufficiale .

126. All'articolo 14, comma 7, del decreto-legge 6 luglio 2012, n. 95, convertito, con modificazioni, dalla legge 7 agosto 2012, n. 135, sono apportate le seguenti modificazioni:

a) le parole: « non possono essere » sono sostituite dalla seguente: « sono »;

b) è aggiunto, in fine, il seguente periodo: « Agli oneri derivanti dall'acquisizione di personale all'esito dei processi di mobilità di cui al primo periodo si provvede nei limiti delle facoltà assunzionali disponibili a legislazione vigente, fermo restando quanto previsto dall'articolo 35, comma 4, del decreto legislativo 30 marzo 2001, n. 165. ».

127. Le disposizioni di cui al comma 126 si applicano alle procedure di mobilità attivate successivamente alla data di entrata in vigore della presente legge.

128. Per il triennio 2025-2027, gli oneri posti a carico del bilancio statale per la contrattazione collettiva nazionale in applicazione dell'articolo 48, comma 1, del decreto legislativo 30 marzo 2001, n. 165, e per i miglioramenti economici del personale statale in regime di diritto pubblico sono complessivamente determinati in 1.755 milioni di euro per l'anno 2025, in 3.550 milioni di euro per l'anno 2026 e in 5.550 milioni di euro annui a decorrere dall'anno 2027. A valere sui predetti importi si dà luogo, nelle more della definizione dei contratti collettivi nazionali di lavoro e dei provvedimenti negoziali relativi al personale in regime di diritto pubblico, in deroga alle procedure previste dalle disposizioni vigenti in materia, all'erogazione dell'anticipazione di cui all'articolo 47-bis, comma 2, del decreto legislativo n. 165 del 2001 e degli analoghi trattamenti previsti dai rispettivi ordinamenti, nella misura percentuale, rispetto agli stipendi tabellari, dello 0,6 per cento dal 1° aprile 2025 al 30 giugno 2025 e dell'1 per cento a decorrere dal 1° luglio 2025. Gli importi di cui al primo periodo, comprensivi degli oneri contributivi ai fini previdenziali e dell'imposta regionale sulle attività produttive di cui al decreto legislativo 15 dicembre 1997, n. 446, concorrono a costituire l'importo complessivo massimo di cui all'articolo 21, comma 1-ter, lettera e), della legge 31 dicembre 2009, n. 196.

129. Per il personale dipendente da amministrazioni, istituzioni ed enti pubblici diversi dall'amministrazione statale, gli oneri per i rinnovi contrattuali per il triennio 2025-2027, da destinare alle medesime finalità e da determinare sulla base dei medesimi criteri di cui al comma 128, nonché quelli derivanti dalla corresponsione dei miglioramenti economici al personale di cui all'articolo 3, comma 2, del decreto legislativo 30 marzo 2001, n. 165, sono posti a carico dei rispettivi bilanci ai sensi dell'articolo 48, comma 2, del citato decreto legislativo n. 165 del 2001.

130. Le disposizioni del comma 129 si applicano anche al personale convenzionato con il Servizio sanitario nazionale.

131. Per la copertura degli oneri della contrattazione collettiva nazionale relativa al triennio 2028-2030, in applicazione dell'articolo 48, comma 1, del decreto legislativo 30 marzo 2001, n. 165, e per i miglioramenti economici del personale statale in regime di diritto pubblico, è autorizzata la spesa di 1.954 milioni di euro per l'anno 2028, di 4.027 milioni di euro per l'anno 2029 e di 6.112 milioni di euro annui a decorrere dall'anno 2030. Gli importi di cui al primo periodo sono al lordo degli oneri contributivi ai fini previdenziali e dell'imposta regionale sulle attività produttive di cui al decreto legislativo 15 dicembre 1997, n. 446.

132. All'articolo 3 del decreto-legge 22 aprile 2023, n. 44, convertito, con modificazioni dalla legge 21 giugno 2023, n. 74, sono apportate le seguenti modificazioni:

a) al comma 3-bis, le parole: « già utilizzati dalle predette amministrazioni comunali e » sono soppresse;

b) al comma 3-ter.1, le parole: « Gli enti locali ubicati » sono sostituite dalle seguenti: « Le amministrazioni pubbliche di cui all'articolo 1, comma 2, del decreto legislativo 30 marzo 2001, n. 165, aventi sede » e le parole: « già utilizzati dalle predette amministrazioni e » sono soppresse;

c) dopo il comma 3-quater è inserito il seguente:

« 3-quater.1. Le amministrazioni pubbliche di cui all'articolo 1, comma 2, del decreto legislativo 30 marzo 2001, n. 165, possono procedere all'assunzione a tempo indeterminato, anche con contratti di lavoro a tempo parziale, anche avvalendosi delle procedure di avviamento a selezione di cui all'articolo 16 della legge 28 febbraio 1987, n. 56, dei tirocinanti rientranti nei percorsi di inclusione sociale rivolti ai disoccupati già percettori di trattamenti di mobilità in deroga, realizzati a seguito dell'accordo quadro sui criteri per l'accesso agli ammortizzatori sociali in deroga in Calabria, anno 2015/2016, sottoscritto tra la regione Calabria e le parti sociali il 7 dicembre 2016, nonché dei soggetti destinatari degli accordi di programma di cui alle deliberazioni della Giunta della regione Calabria n. 258 del 12 luglio 2016 e n. 404 del 30 agosto 2017, anche in deroga, fino al 31 dicembre 2026, in qualità di lavoratori sovrannumerari, al piano di fabbisogno del personale ed ai vincoli assunzionali previsti dalla vigente normativa, nei limiti delle risorse stanziate ai sensi del comma 3-quinquies del presente articolo, senza nuovi o maggiori oneri per la finanza pubblica »;

d) al comma 3-quinquies:

1) le parole « e 3-ter.1 », ovunque ricorrono, sono sostituite dalle seguenti: « , 3-ter.1 e 3-quater.1 »;

2) al terzo periodo, le parole: « 30 settembre 2024 » sono sostituite dalle seguenti: « 30 settembre 2026 »;

3) è aggiunto, in fine, il seguente periodo: « Con decreto del Ministro per la pubblica amministrazione, di concerto con il Ministro dell'economia e delle finanze, le risorse non utilizzate di cui al presente comma sono riassegnate, per gli anni 2024, 2025 e 2026, alla regione Calabria per essere destinate alle stesse finalità e ai medesimi soggetti di cui al comma 3.ter.1. La regione Calabria è autorizzata a incrementare le risorse di cui al presente comma con risorse proprie, a carico della finanza regionale ».

133. I lavoratori di cui alla legge della regione Calabria 2 agosto 2013, n. 40, nonché quelli di cui alla legge della regione Calabria 8 novembre 2016, n. 31, possono essere assunti, nel limite massimo di 70 unità, dalle amministrazioni utilizzatrici aventi sede nel territorio regionale, a tempo indeterminato, anche con contratti di lavoro a tempo parziale, anche in deroga, fino al 31 dicembre 2026, in qualità di lavoratori sovrannumerari, al piano di fabbisogno del personale e ai vincoli assunzionali previsti dalla vigente normativa, nei limiti delle risorse disponibili, a valere sulle risorse stanziate dalla regione Calabria, a carico della finanza regionale.

134. Al fine di rafforzare la capacità amministrativa delle pubbliche amministrazioni, assicurando le esigenze di funzionamento e garantendo i servizi ai cittadini, i contratti di lavoro a tempo determinato del personale impiegato presso il Ministero della cultura, il Ministero della giustizia e il Ministero dell'istruzione e del merito, di cui all'articolo 50-ter, comma 1, del decreto-legge 25 maggio 2021, n. 73, convertito, con modificazioni, dalla legge 23 luglio 2021, n. 106, possono essere rinnovati per un periodo non superiore a dodici mesi oltre il termine previsto, nei limiti finanziari di cui all'articolo 9, comma 28, del decreto-legge 31 maggio 2010, n. 78, convertito, con modificazioni, dalla legge 30 luglio 2010, n. 122, per l'anno 2025.

135. Per dare attuazione alla riforma relativa all'efficientamento dei procedimenti civili e penali, indicata nel Piano strutturale di bilancio di medio termine per gli anni 2025-2029 tra quelle necessarie ai fini della proroga del periodo di aggiustamento di cui all'articolo 14 del regolamento (UE) 2024/1263 del Parlamento europeo e del Consiglio, del 29 aprile 2024, in deroga a quanto previsto dall'articolo 20 del decreto legislativo 25 maggio 2017, n. 75, a decorrere dal 1° luglio 2026 il Ministero della giustizia è autorizzato a stabilizzare nei propri ruoli i dipendenti assunti a tempo determinato ai sensi degli articoli 11, comma 1, primo periodo, e 13 del decreto-legge 9 giugno 2021, n. 80, convertito, con modificazioni, dalla legge 6 agosto 2021, n. 113, che hanno lavorato per almeno ventiquattro mesi continuativi nella qualifica ricoperta e risultano in servizio alla data del 30 giugno 2026, previa selezione comparativa sulla base dei distretti territoriali e degli uffici centrali, con possibilità di scorrimento tra i distretti, nei limiti di un contingente massimo di 2.600 unità nell'area dei funzionari e di 400 unità nell'area degli assistenti del contratto collettivo nazionale di lavoro 2019-2021 – comparto Funzioni centrali. Per le finalità di cui al primo periodo è autorizzata la spesa di 68.176.819 euro per l'anno 2026 e di 136.353.638 euro annui a decorrere dall'anno 2027.

136. Allo scopo di rafforzare la capacità tecnica e specialistica del Ministero della giustizia, di assicurare la piena realizzazione degli obiettivi del Piano nazionale di ripresa e resilienza (PNRR) nonché di proseguire gli interventi di efficientamento del sistema giudiziario, penitenziario e minorile, a decorrere dal 1° gennaio 2025, il Ministero medesimo può conferire ulteriori dieci incarichi dirigenziali di livello non generale oltre i limiti di cui all'articolo 19, comma 6, del decreto legislativo 30 marzo 2001, n. 165. Gli incarichi di cui al primo periodo sono conferiti a valere sulle risorse finanziarie disponibili e nei limiti delle facoltà assunzionali previste a legislazione vigente.

137. Il Ministero della giustizia è autorizzato ad assumere, nell'anno 2025, nei limiti delle facoltà assunzionali previste dalla normativa vigente e nei limiti della vigente dotazione organica, 200 magistrati ordinari vincitori di concorsi già indetti alla data di entrata in vigore della presente legge.

138. All'articolo 1, comma 2, del decreto-legge 9 giugno 2021, n. 80, convertito, con modificazioni, dalla legge 6 agosto 2021, n. 113, è aggiunto, in fine, il seguente periodo: « I contratti a tempo determinato o i contratti di somministrazione di lavoro stipulati ai sensi del presente comma sono esclusi dall'applicazione dei limiti percentuali di cui agli articoli 23 e 31 del decreto legislativo 15 giugno 2015, n. 81 ».

139. In relazione al concorso per 146 posti di magistrato tributario bandito con decreto del Direttore generale della giustizia tributaria del 30 maggio 2024, pubblicato nella Gazzetta Ufficiale, 4ª serie speciale, n. 46 del 7 giugno 2024, nel rispetto delle facoltà assunzionali relative ai magistrati tributari autorizzate per l'anno 2026 dall'articolo 1, comma 10, della legge 31 agosto 2022, n. 130, il Ministro dell'economia e delle finanze può chiedere al Consiglio di presidenza della giustizia tributaria di assegnare ai concorrenti dichiarati idonei, secondo l'ordine della graduatoria, un numero di ulteriori posti non superiore al doppio del decimo di quelli messi a concorso.

140. Alla legge 31 agosto 2022, n. 130, sono apportate le seguenti modificazioni:

a) all'articolo 1:

1) al comma 10, secondo periodo, le parole: « nell'anno 2024, le unità di magistrati non assunte ai sensi del precedente periodo, aumentate di 68 unità; nell'anno 2026, 204 unità; nell'anno 2029, 204 unità », sono sostituite dalle seguenti: « nell'anno 2026, le 78 unità di magistrati non assunte ai sensi del precedente periodo, aumentate di 272 unità; nell'anno 2029, 204 unità »;

2) al comma 10-bis:

2.1) al primo periodo, le parole: « per l'anno 2024 » sono sostituite dalle seguenti: « per l'anno 2026 »;

2.2) dopo il primo periodo è inserito il seguente: « Nell'ambito delle facoltà assunzionali relative ai magistrati tributari per l'anno 2026 previste dal comma 10 e in deroga agli articoli 4 e seguenti del citato decreto legislativo n. 545 del 1992, il Ministero dell'economia e delle finanze, sentito il Consiglio di presidenza della giustizia tributaria, bandisce un ulteriore concorso con le specifiche modalità definite dal presente comma nonché dai commi 10-ter e 10-quater »;

2.3) al quarto periodo, dopo le parole: « diritto commerciale » sono aggiunte le seguenti: « ; si applicano le disposizioni dell'articolo 7, commi primo e secondo, del regolamento di cui al regio decreto 15 ottobre 1925, n. 1860 »;

b) all'articolo 4, comma 3, lettera d), le parole: « le corti di giustizia tributaria di primo e secondo grado » sono sostituite dalle seguenti: « gli uffici centrali e territoriali del Dipartimento della giustizia tributaria »;

c) all'articolo 8, il comma 1 è sostituito dal seguente:

« 1. La disposizione di cui all'articolo 1, comma 1, lettera n), numero 2.2), si applica a decorrere dal 1° gennaio 2029. Fino al 31 dicembre 2028, i componenti delle corti di giustizia tributaria di primo e secondo grado, indipendentemente dalle funzioni svolte, cessano dall'incarico, in ogni caso:

a) il 1° gennaio 2026 qualora abbiano compiuto settantatré anni di età entro il 31 dicembre 2025, ovvero al compimento del settantatreesimo anno di età nel corso dell'anno 2026;

b) il 1° gennaio 2027 qualora abbiano compiuto settantadue anni di età entro il 31 dicembre 2026, ovvero al compimento del settantaduesimo anno di età nel corso dell'anno 2027;

c) il 1° gennaio 2028 qualora abbiano compiuto settantuno anni di età entro il 31 dicembre 2027, ovvero al compimento del settantunesimo anno di età nel corso dell'anno 2028 ».

141. Il comma 6 dell'articolo 3 del decreto-legge 29 dicembre 2022, n. 198, convertito, con modificazioni, dalla legge 24 febbraio 2023, n. 14, è abrogato.

142. All'articolo 4-quater, comma 8, del decreto legislativo 31 dicembre 1992, n. 545, dopo le parole: « degli articoli » è inserita la seguente: « 7, ».

143. Al testo unico della giustizia tributaria, di cui al decreto legislativo 14 novembre 2024, n. 175, sono apportate le seguenti modificazioni:

a) all'articolo 8, comma 8, dopo le parole: « degli articoli » è inserita la seguente: « 7, »;

b) all'articolo 17, il comma 9 è sostituito dal seguente:

« 9. La disposizione di cui al comma 2 si applica a decorrere dal 1° gennaio 2029. Fino al 31 dicembre 2028, i componenti delle corti di giustizia tributaria di primo e secondo grado, indipendentemente dalle funzioni svolte, cessano dall'incarico, in ogni caso:

a) il 1° gennaio 2026 qualora abbiano compiuto settantatré anni di età entro il 31 dicembre 2025, ovvero al compimento del settantatreesimo anno di età nel corso dell'anno 2026;

b) il 1° gennaio 2027 qualora abbiano compiuto settantadue anni di età entro il 31 dicembre 2026, ovvero al compimento del settantaduesimo anno di età nel corso dell'anno 2027;

c) il 1° gennaio 2028 qualora abbiano compiuto settantuno anni di età entro il 31 dicembre 2027, ovvero al compimento del settantunesimo anno di età nel corso dell'anno 2028 ».

144. Nell'anno 2025, il trattamento economico dei componenti del Consiglio di presidenza della giustizia tributaria di cui all'articolo 27 del decreto legislativo 31 dicembre 1992, n. 545, se non collocati in quiescenza, è corrisposto:

a) ai componenti eletti dai giudici tributari in misura pari all'importo previsto all'articolo 13, comma 3-ter, del decreto legislativo 31 dicembre 1992, n. 545;

b) ai componenti eletti dal Parlamento in misura pari all'importo dello stipendio del magistrato tributario dopo ventotto anni dalla nomina individuato nella tabella F-bis allegata al decreto legislativo 31 dicembre 1992, n. 545, aumentato del 50 per cento per il presidente.

145. Per le finalità di cui al comma 144 è autorizzata la spesa di 100.913 euro per l'anno 2025.

146. Per le finalità previste dall'articolo 51, comma 2-quinquies, del decreto-legge 26 ottobre 2019, n. 124, convertito, con modificazioni, dalla legge 19 dicembre 2019, n. 157, le somme destinate al Consiglio di presidenza della giustizia tributaria nell'ambito dello stato di previsione della spesa del Ministero dell'economia e delle finanze sono incrementate dell'importo di 400.000 euro per ciascuno degli anni 2025, 2026 e 2027.

147. Al fine di consentire l'efficace svolgimento delle operazioni di verifica di cui all'articolo 32 della legge 25 maggio 1970, n. 352, relative alle richieste di referendum presentate entro il 31 dicembre 2024, le disposizioni dell'articolo 1 del decreto-legge 18 ottobre 2023, n. 144, convertito, con modificazioni, dalla legge 13 dicembre 2023, n. 189, si applicano anche per l'anno 2025.

148. Per l'attuazione del comma 147 è autorizzata la spesa di 312.048 euro per l'anno 2025.

149. In considerazione degli impegni derivanti dall'attuazione delle riforme previste dal PNRR, comprese quelle relative alla disabilità ai sensi della legge 22 dicembre 2021, n. 227, e dei progetti correlati, per rafforzare il coordinamento strategico e operativo, promuovere la digitalizzazione e la semplificazione dei processi, potenziare i servizi, ottimizzare il raccordo tra le strutture coinvolte e sviluppare servizi finalizzati all'erogazione e all'incremento dell'efficienza delle prestazioni istituzionali, sono istituite presso l'Istituto nazionale della previdenza sociale 3 posizioni di funzione dirigenziale di livello generale, con corrispondente incremento della dotazione organica della dirigenza di prima fascia e soppressione di un numero di posizioni dirigenziali di livello non generale equivalente sul piano finanziario, già assegnate al medesimo Istituto, e di un corrispondente ammontare di facoltà assunzionali disponibili a legislazione vigente. Dall'attuazione del presente comma non devono derivare nuovi o maggiori oneri a carico della finanza pubblica.

150. Il Ministro del lavoro e delle politiche sociali, di concerto con il Ministro dell'economia e delle finanze, sulla base delle somme riscosse in via definitiva correlabili ad attività di controllo ispettivo e amministrativo di cui all'articolo 116, commi 8, 10 e 15, della legge 23 dicembre 2000, n. 388, e all'articolo 30, commi da 4 a 16, del decreto-legge 2 marzo 2024, n. 19, convertito, con modificazioni dalla legge 29 aprile 2024, n. 56, determina con proprio decreto la misura percentuale di tali risorse da destinare, a decorrere dall'anno 2025, al potenziamento della capacità amministrativa dell'Istituto nazionale di previdenza sociale. A valere sulle risorse di cui al presente comma, una somma non eccedente l'importo di 1.500.000 euro per ciascun anno è destinata al finanziamento di misure di welfare aziendale in favore dei dipendenti dell'Istituto.

151. Il comma 3-bis dell'articolo 17 della legge 11 gennaio 2018, n. 3, è sostituito dal seguente:

« 3-bis. Le disposizioni del presente articolo si applicano, in quanto compatibili sotto il profilo giuridico ed economico-finanziario, a tutti i dirigenti dell'Agenzia italiana del farmaco (AIFA) con professionalità sanitaria di cui all'articolo 18, comma 8, del decreto legislativo 30 dicembre 1992, n. 502, e a quelli successivamente inquadrati nelle corrispondenti qualifiche. Sono salvaguardate le posizioni giuridiche ed economiche dei dirigenti con professionalità sanitaria, già inquadrati nella seconda fascia del ruolo dei dirigenti dell'AIFA alla data del 1° gennaio 2025, anche ai fini del conferimento degli incarichi di cui ai commi 4 e 5 del presente articolo ».

152. Ai dirigenti sanitari dell'Agenzia italiana del farmaco si applicano le disposizioni della contrattazione collettiva nazionale relative alla dirigenza sanitaria del Ministero della salute.

153. All'articolo 21-bis, comma 1, lettera b), del decreto-legge 27 gennaio 2022, n. 4, convertito, con modificazioni, dalla legge 28 marzo 2022, n. 25, le parole: « La presente disposizione non si applica al personale di cui al comma 3-bis dell'articolo 17 della legge 11 gennaio 2018, n. 3. » sono soppresse.

154. Il comma 432 dell'articolo 1 della legge 30 dicembre 2020, n. 178, è abrogato.

155. Le disposizioni di cui ai commi 151, 152, 153 e 154 si applicano a decorrere dal 1° gennaio 2025.

156. Al fine di valorizzare il servizio del personale medico dell'Istituto nazionale per l'assicurazione contro gli infortuni sul lavoro con rapporto esclusivo e di favorirne l'attività di prevenzione e tutela della salute dei lavoratori, a decorrere dal 1° gennaio 2025 l'indennità di esclusività in godimento ai sensi dell'articolo 19-bis, comma 1, del decreto-legge 22 marzo 2021, n. 41, convertito, con modificazioni, dalla legge 21 maggio 2021, n. 69, è rideterminata sulla base di quanto previsto per i dirigenti del ruolo sanitario del Ministero della Salute dall'articolo 21-bis, comma 1, del decreto-legge 27 gennaio 2022, n. 4, convertito, con modificazioni, dalla legge 28 marzo 2022, n. 25. Per le finalità di cui al primo periodo è autorizzata la spesa di 960.000 euro annui a decorrere dall'anno 2025.

157. A decorrere dal 1° gennaio 2025 e con riferimento alle anzianità contributive maturate a decorrere dalla predetta data, gli importi dell'indennità di esclusività di cui all'articolo 21-bis, comma 1, del decreto-legge 27 gennaio 2022, n. 4, convertito, con modificazioni, dalla legge 28 marzo 2022, n. 25, sono utili ai fini del trattamento di fine rapporto o di fine servizio. A tale fine, è autorizzata la spesa di 343.021 euro annui a decorrere dall'anno 2025.

158. All'articolo 31, comma 2, del decreto-legge 2 marzo 2024, n. 19, convertito, con modificazioni, dalla legge 29 aprile 2024, n. 56, le parole: « 250 unità » sono sostituite dalle seguenti: « 500 unità ». Agli oneri derivanti dal presente comma, pari a 3.172.580 euro per l'anno 2025 e a 12.690.318 euro annui a decorrere dall'anno 2026 per le assunzioni a tempo indeterminato, a 290.000 euro per l'anno 2025 per le spese relative alla gestione della procedura concorsuale, a 737.000 euro per l'anno 2025 e a 1.364.000 euro annui a decorrere dall'anno 2026 per le spese di funzionamento, si provvede mediante corrispondente riduzione del Fondo di cui all'articolo 1, comma 200, della legge 23 dicembre 2014, n. 190, come rifinanziato ai sensi del comma 884 del presente articolo.

159. Al decreto del Presidente della Repubblica 5 gennaio 1967, n. 18, sono apportate le seguenti modificazioni:

a) l'articolo 181 è sostituito dal seguente:

« Art. 181. – (Viaggio di congedo o ferie) – 1. Per fare fronte agli oneri per un viaggio di congedo, da e per la sede di servizio, al personale che presta servizio per almeno 185 giorni in ciascun anno solare in residenze classificate come disagiate o particolarmente disagiate o situate a distanza maggiore di 3.500 chilometri da Roma, spetta una volta l'anno una maggiorazione forfetaria dell'indennità di servizio all'estero commisurata all'indennità di servizio mensile prevista nella stessa sede per il posto di primo segretario o di console. Con riferimento alle residenze di cui all'articolo 144, primo comma, secondo periodo, i termini di cui al presente comma sono dimezzati e il beneficio di cui al presente comma spetta due volte l'anno.

2. La percentuale della maggiorazione di cui al comma 1 è definita per ciascuna sede con decreto del Ministero degli affari esteri e della cooperazione internazionale, di concerto con il Ministero dell'economia e delle finanze, sentita la Commissione di cui all'articolo 172, in misura parametrata al prezzo del volo di andata e ritorno in alta stagione dalla sede a Roma, in classe superiore a quella economica per il personale con qualifica pari o superiore a consigliere d'ambasciata in servizio negli uffici situati in località raggiungibili da Roma con un volo di durata superiore a cinque ore.

3. La maggiorazione di cui al comma 1 è riconosciuta per ciascuno dei familiari a carico per almeno 185 giorni nello stesso anno solare. Per il coniuge o per la parte di unione civile spetta nella medesima misura del titolare e per i figli in misura corrispondente alla classe economica.

4. Per il personale in servizio in sedi non qualificate come particolarmente disagiate, la maggiorazione di cui al comma 1 è pari a due terzi di quella determinata in base ai commi 1, 2 e 3 »;

b) all'articolo 193, il comma 1 è sostituito dal seguente:

« 1. Per i viaggi di trasferimento in aereo dei capi delle rappresentanze diplomatiche spetta il pagamento delle spese di viaggio in classe superiore a quella economica, qualunque sia la durata del viaggio. Per il restante personale, il pagamento delle spese di viaggio in classe superiore a quella economica spetta nel caso di viaggi di durata superiore alle 5 ore ».

160. Per le finalità di cui all'articolo 2, comma 1, del decreto-legge 22 giugno 2023, n. 75, convertito, con modificazioni, dalla legge 10 agosto 2023, n. 112, limitatamente alla Regione siciliana, è autorizzata la spesa di 0,5 milioni di euro per l'anno 2025 e di 1 milione di euro annui a decorrere dall'anno 2026. Agli oneri derivanti dall'attuazione del presente comma, pari a 0,5 milioni di euro per l'anno 2025 e a 1 milione di euro annui a decorrere dall'anno 2026, si provvede mediante corrispondente riduzione del Fondo di cui all'articolo 1, comma 200, della legge 23 dicembre 2014, n. 190, come rifinanziato ai sensi del comma 884 del presente articolo.

161. All'articolo 1 della legge 29 dicembre 2022, n. 197, il comma 286 è sostituito dal seguente:

« 286. I lavoratori dipendenti che abbiano maturato, entro il 31 dicembre 2025, i requisiti minimi previsti dalle disposizioni di cui all'articolo 14.1 del decreto-legge 28 gennaio 2019, n. 4, convertito, con modificazioni, dalla legge 28 marzo 2019, n. 26, e all'articolo 24, comma 10, del decreto-legge 6 dicembre 2011, n. 201, convertito, con modificazioni, dalla legge 22 dicembre 2011, n. 214, possono rinunciare all'accredito contributivo della quota dei contributi a proprio carico relativi all'assicurazione generale obbligatoria per l'invalidità, la vecchiaia e i superstiti dei lavoratori dipendenti e alle forme sostitutive ed esclusive della medesima. In conseguenza dell'esercizio della predetta facoltà viene meno ogni obbligo di versamento contributivo da parte del datore di lavoro a tali forme assicurative della quota a carico del lavoratore, a decorrere dalla prima scadenza utile per il pensionamento prevista dalla normativa vigente e successiva alla data dell'esercizio della predetta facoltà. Con la medesima decorrenza, la somma corrispondente alla quota di contribuzione a carico del lavoratore che il datore di lavoro avrebbe dovuto versare all'ente previdenziale, qualora non fosse stata esercitata la predetta facoltà, è corrisposta interamente al lavoratore e relativamente alla medesima trova applicazione quanto previsto dall'articolo 51, comma 2, lettera i-bis), del testo unico delle imposte sui redditi, di cui al decreto del Presidente della Repubblica 22 dicembre 1986, n. 917. Rimane fermo, anche a seguito dell'esercizio della facoltà di cui al presente comma, quanto previsto dall'articolo 14.1, comma 1, secondo periodo, del predetto decreto-legge n. 4 del 2019, convertito, con modificazioni, dalla legge 28 marzo 2019, n. 26 ».

162. All'articolo 24, comma 4, del decreto-legge 6 dicembre 2011, n. 201, convertito, con modificazioni, dalla legge 22 dicembre 2011, n. 214, sono apportate le seguenti modificazioni:

a) al secondo periodo, le parole: « , fermi restando i limiti ordinamentali dei rispettivi settori di appartenenza, » sono soppresse;

b) è aggiunto, in fine, il seguente periodo: « Per i lavoratori dipendenti delle pubbliche amministrazioni di cui all'articolo 1, comma 2, del decreto legislativo 30 marzo 2001, n. 165, restano fermi i limiti ordinamentali previsti dai rispettivi settori di appartenenza che dal 1° gennaio 2025 si intendono elevati, ove inferiori, al requisito anagrafico per il raggiungimento della pensione di vecchiaia di cui al successivo comma 6 del presente articolo ».

163. Il comma 5 dell'articolo 2 del decreto-legge 31 agosto 2013, n. 101, convertito, con modificazioni, dalla legge 30 ottobre 2013, n. 125, è abrogato.

164. Il comma 11 dell'articolo 72 del decreto-legge 25 giugno 2008, n. 112, convertito, con modificazioni, dalla legge 6 agosto 2008, n. 133, è abrogato.

165. Le pubbliche amministrazioni di cui di cui all'articolo 1, comma 2, del decreto legislativo 30 marzo 2001, n. 165, anche per lo svolgimento di attività di tutoraggio e di affiancamento ai neoassunti e per esigenze funzionali non diversamente assolvibili, possono trattenere in servizio, previa disponibilità dell'interessato, nel limite del 10 per cento delle facoltà assunzionali autorizzate a legislazione vigente, il personale dipendente di cui ritengono necessario continuare ad avvalersi, ivi compreso quello di cui all'articolo 3 del predetto decreto legislativo n. 165 del 2001, con esclusione del personale delle magistrature, degli avvocati e procuratori dello Stato e del personale delle Forze armate, delle Forze di polizia e del Corpo nazionale dei vigili del fuoco, ai fini della salvaguardia della specificità della funzione ai sensi dell'articolo 19 della legge 4 novembre 2010, n. 183. Il personale, individuato dalle amministrazioni interessate esclusivamente sulla base delle esigenze organizzative di cui al primo periodo e del merito, non può permanere in servizio oltre il compimento del settantesimo anno di età.

166. Al comma 164 dell'articolo 1 della legge 30 dicembre 2023, n. 213, le parole: « gli infermieri del Servizio sanitario nazionale » sono sostituite dalle seguenti: « gli esercenti le professioni sanitarie disciplinate dalla legge 1° febbraio 2006, n. 43, dipendenti del Servizio sanitario nazionale ».

167. Dopo il comma 3 dell'articolo 33 del decreto legislativo 3 maggio 2024, n. 62, è inserito il seguente:

« 3-bis. Fino al 31 dicembre 2025, le visite di revisione delle prestazioni già riconosciute ai soggetti con patologie oncologiche sono eseguite ai sensi dell'articolo 29-ter del decreto-legge 16 luglio 2020, n. 76, convertito, con modificazioni, dalla legge 11 settembre 2020, n. 120, ferma restando la facoltà dell'istante di chiedere la visita diretta ».

168. Dopo l'articolo 33 del decreto legislativo 3 maggio 2024, n. 62, è inserito il seguente:

« Art. 33-bis.(Semplificazione dei procedimenti di accertamento sanitario per l'invalidità e l'inabilità)1. In caso di contestuale presentazione di istanze per gli accertamenti di invalidità civile, cecità civile, sordità, sordocecità e disabilità ai sensi della legge 5 febbraio 1992, n. 104, e della legge 12 marzo 1999, n. 68, nonché di invalidità e inabilità di cui agli articoli 1, 2, 5 e 6 della legge 12 giugno 1984, n. 222, e all'articolo 1, comma 8, del decreto legislativo 30 dicembre 1992, n. 503, a decorrere dal 1° gennaio 2025 fino al 31 dicembre 2025, l'INPS è tenuto a effettuare l'accertamento dei requisiti sanitari in un'unica visita, integrando, ove necessario, la composizione della commissione medica competente. Le disposizioni del primo periodo si applicano anche alle visite di revisione delle prestazioni già riconosciute, programmate dal 1° gennaio 2025 al 31 dicembre 2025, a condizione che l'intervallo temporale tra i due accertamenti non sia superiore a tre mesi ».

169. Gli iscritti all'assicurazione generale obbligatoria, alle forme sostitutive ed esclusive della medesima e alla Gestione separata di cui all'articolo 2, comma 26, della legge 8 agosto 1995, n. 335, con riferimento ai quali il primo accredito contributivo decorre successivamente al 1° gennaio 2025, possono incrementare il montante contributivo individuale maturato versando all'INPS una maggiorazione della quota di aliquota contributiva pensionistica a proprio carico non superiore a due punti percentuali. La quota del trattamento pensionistico derivante dall'incremento del montante contributivo conseguente dalla maggiorazione di cui al primo periodo non concorre al computo ai fini della maturazione degli importi soglia di cui all'articolo 24, commi 7 e 11, del decreto-legge 6 dicembre 2011, n. 201, convertito, con modificazioni, dalla legge 22 dicembre 2011, n. 214, ed è corrisposta, a domanda, al soggetto pensionato successivamente alla maturazione dei requisiti anagrafici per l'accesso alla pensione di vecchiaia di cui al comma 6 del medesimo articolo 24. I contributi versati dal lavoratore quale maggiorazione della quota di aliquota contributiva prevista dal primo e dal secondo periodo sono deducibili, ai sensi dall'articolo 10 del testo unico delle imposte sui redditi, di cui al decreto del Presidente della Repubblica 22 dicembre 1986, n. 917, dal reddito complessivo per il 50 per cento dell'importo totale versato.

170. Con decreto del Ministro del lavoro e delle politiche sociali, di concerto con il Ministro dell'economia e delle finanze, sono disciplinate le modalità attuative delle disposizioni di cui al comma 169, con particolare riferimento alle modalità di esercizio e di recesso dalla facoltà di cui al medesimo comma 169.

171. All'articolo 3, comma 1, del decreto legislativo 4 marzo 2015, n. 22, dopo la lettera c) è inserita la seguente:

« c-bis) con riferimento agli eventi di disoccupazione verificatisi dal 1° gennaio 2025, possano far valere almeno tredici settimane di contribuzione dall'ultimo evento di cessazione del rapporto di lavoro a tempo indeterminato interrotto per dimissioni volontarie, anche a seguito di risoluzione consensuale, fatte salve le ipotesi di cui al comma 2 e di dimissioni di cui all'articolo 55 del testo unico delle disposizioni legislative in materia di tutela e sostegno della maternità e della paternità, di cui al decreto legislativo 26 marzo 2001, n. 151. Tale requisito si applica a condizione che l'evento di cessazione per dimissioni sia avvenuto nei dodici mesi precedenti l'evento di cessazione involontaria per cui si richiede la prestazione ».

172. L'articolo 2-ter del decreto-legge 2 marzo 1974, n. 30, convertito, con modificazioni, dalla legge 16 aprile 1974, n. 114, è abrogato.

173. All'articolo 16 del decreto-legge 28 gennaio 2019, n. 4, convertito, con modificazioni, dalla legge 28 marzo 2019, n. 26, sono apportate le seguenti modificazioni:

a) al comma 1-bis, alinea, le parole: « 31 dicembre 2023 » sono sostituite dalle seguenti: « 31 dicembre 2024 »;

b) al comma 3, le parole: « 28 febbraio 2024 » sono sostituite dalle seguenti: « 28 febbraio 2025 ».

174. All'articolo 14.1 del decreto-legge 28 gennaio 2019, n. 4, convertito, con modificazioni, dalla legge 28 marzo 2019, n. 26, sono apportate le seguenti modificazioni:

a) al comma 1:

1) al primo periodo, le parole: « per gli anni 2023 e 2024 » sono sostituite dalle seguenti: « per gli anni 2023, 2024 e 2025 »;

2) al secondo periodo, le parole: « 31 dicembre 2024 » sono sostituite dalle seguenti: « 31 dicembre 2025 »;

3) al quarto periodo, le parole: « nell'anno 2024 » sono sostituite dalle seguenti: « negli anni 2024 e 2025 »;

b) al comma 5, le parole: « nell'anno 2024 » sono sostituite dalle seguenti: « negli anni 2024 e 2025 »;

c) al comma 6, lettera b), le parole: « nell'anno 2024 » sono sostituite dalle seguenti: « negli anni 2024 e 2025 »;

d) al comma 7, le parole: « 28 febbraio 2024 » sono sostituite dalle seguenti: « 28 febbraio 2025 ».

175. Le disposizioni dei commi da 179 a 186 dell'articolo 1 della legge 11 dicembre 2016, n. 232, si applicano fino al 31 dicembre 2025 per i soggetti che si trovano in una delle condizioni di cui alle lettere da a) a d) del citato comma 179 al compimento dell'età di 63 anni e 5 mesi. Le disposizioni del secondo e del terzo periodo del comma 165 dell'articolo 1 della legge 27 dicembre 2017, n. 205, si applicano anche con riferimento ai soggetti che si trovano nelle condizioni ivi indicate nell'anno 2025. L'autorizzazione di spesa di cui al comma 186 dell'articolo 1 della legge n. 232 del 2016 è incrementata di 114 milioni di euro per l'anno 2025, di 240 milioni di euro per l'anno 2026, di 208 milioni di euro per l'anno 2027, di 151 milioni di euro per l'anno 2028, di 90 milioni di euro per l'anno 2029 e di 35 milioni di euro per l'anno 2030.

176. Il beneficio di cui al comma 175 non è cumulabile con i redditi di lavoro dipendente o autonomo, a eccezione di quelli derivanti da lavoro autonomo occasionale nel limite di 5.000 euro lordi annui.

177. A completamento degli interventi transitori finalizzati a contrastare le tensioni inflazionistiche registrate negli anni 2022 e 2023 e nelle more dell'avvio di un programma di potenziamento, compatibile con gli obiettivi di finanza pubblica, delle misure strutturali vigenti a sostegno dei pensionati in condizioni disagiate, all'articolo 1, comma 310, della legge 29 dicembre 2022, n. 197, sono apportate le seguenti modificazioni:

a) al primo periodo, le parole: « dicembre 2024 » sono sostituite dalle seguenti: « dicembre 2026 » e le parole: « e di 2,7 punti percentuali per l'anno 2024 » sono sostituite dalle seguenti: « , di 2,7 punti percentuali per l'anno 2024, di 2,2 punti percentuali per l'anno 2025 e di 1,3 punti percentuali per l'anno 2026 »;

b) al secondo periodo, le parole: « per gli anni 2023 e 2024 » sono sostituite dalle seguenti: « per gli anni 2023, 2024, 2025 e 2026 »;

c) al quinto periodo, le parole: « per gli anni 2023 e 2024 » sono sostituite dalle seguenti: « per gli anni 2023, 2024, 2025 e 2026 » e le parole: « e al 31 dicembre 2024 » sono sostituite dalle seguenti: « , al 31 dicembre 2024, al 31 dicembre 2025 e al 31 dicembre 2026 ».

178. Per l'anno 2025, l'importo mensile di cui all'alinea dell'articolo 38, comma 1, della legge 28 dicembre 2001, n. 448, e l'importo annuo di cui al comma 5, lettere a) e b), del medesimo articolo 38, aumentato ai sensi della lettera d) del predetto articolo 38, come rideterminati ai sensi dell'articolo 5, comma 5, del decreto-legge 2 luglio 2007, n. 81, convertito, con modificazioni, dalla legge 3 agosto 2007, n. 127, sono incrementati rispettivamente di 8 euro e di 104 euro.

179. All'articolo 1, comma 40, lettera c), della legge 8 agosto 1995, n. 335, le parole: « nel limite massimo di dodici mesi » sono sostituite dalle seguenti: « pari a sedici mesi complessivi in caso di quattro o più figli ».

180. In via eccezionale, per l'anno 2025, la rivalutazione automatica dei trattamenti pensionistici, secondo il meccanismo stabilito dall'articolo 34, comma 1, della legge 23 dicembre 1998, n. 448, non è riconosciuta ai pensionati residenti all'estero, per i trattamenti pensionistici complessivamente superiori al trattamento minimo INPS, con riferimento all'importo complessivo dei trattamenti medesimi. Qualora il trattamento pensionistico complessivo sia superiore al trattamento minimo INPS e inferiore a tale limite incrementato della quota di rivalutazione automatica spettante sulla base della normativa vigente, la rivalutazione automatica è comunque attribuita fino a concorrenza del predetto limite maggiorato.

181. All'articolo 24 del decreto-legge 6 dicembre 2011, n. 201, convertito, con modificazioni, dalla legge 22 dicembre 2011, n. 214, dopo il comma 7 è inserito il seguente:

« 7-bis. A decorrere dal 1° gennaio 2025, ai soli fini del raggiungimento degli importi soglia mensili di cui ai commi 7 e 11, in caso di opzione per la prestazione in forma di rendita ai sensi dell'articolo 11, comma 3, del decreto legislativo 5 dicembre 2005, n. 252, ferma restando la misura minima ivi stabilita, può essere computato, solo su richiesta dell'assicurato, unitamente all'ammontare mensile della prima rata di pensione di base, anche il valore teorico di una o più prestazioni di rendita di forme pensionistiche di previdenza complementare richieste dall'assicurato. Il valore teorico delle rendite di cui al primo periodo è ottenuto, solo ai fini del presente comma, trasformando il montante effettivo accumulato in ciascuna forma di previdenza complementare con applicazione del valore dei coefficienti di trasformazione di cui all'articolo 1, comma 6, della legge 8 agosto 1995, n. 335, vigente al momento del pensionamento; per potere consentire una scelta consapevole da parte dell'assicurato, contestualmente alla domanda di pensione formulata mediante l'opzione di cui al primo periodo, le forme di previdenza complementare mettono a disposizione la proiezione certificata attestante l'effettivo valore della rendita mensile secondo gli schemi di erogazione adottati dalla singola forma di previdenza complementare ».

182. Con decreto del Ministro del lavoro e delle politiche sociali, di concerto con il Ministro dell'economia e delle finanze, sono individuati i criteri di computo e le modalità di richiesta e di certificazione della proiezione della rendita secondo quanto previsto dall'articolo 24, comma 7-bis, del decreto-legge 6 dicembre 2011, n. 201, convertito, con modificazioni, dalla legge 22 dicembre 2011, n. 214, introdotto dal comma 181 del presente articolo, tenuto conto dei contenuti delle decisioni di Eurostat in merito alla conferma del trattamento contabile delle prestazioni di rendita di forme pensionistiche di previdenza complementare anche a seguito di quanto disposto dal medesimo articolo 24, comma 7-bis.

183. All'articolo 24, comma 11, del decreto-legge 6 dicembre 2011, n. 201, convertito, con modificazioni, dalla legge 22 dicembre 2011, n. 214, sono aggiunti, in fine, i seguenti periodi: « A decorrere dal 1° gennaio 2030, il valore di 3,0 di cui al primo e al secondo periodo è elevato a 3,2. Per i lavoratori di cui al presente comma, i quali, ai fini del conseguimento degli importi soglia mensili di cui al presente comma, si avvalgono della facoltà di cui al comma 7-bis, il requisito contributivo indicato al primo periodo è incrementato di cinque anni a decorrere dal 1° gennaio 2025 e di ulteriori cinque anni a decorrere dal 1° gennaio 2030 e, con riferimento ai medesimi lavoratori, la pensione anticipata conseguita ai sensi del presente comma non è cumulabile, a decorrere dal primo giorno di decorrenza della pensione fino alla maturazione dei requisiti per l'accesso alla pensione di vecchiaia di cui al comma 6, con redditi di lavoro dipendente o autonomo, a eccezione di quelli derivanti da lavoro autonomo occasionale nel limite di 5.000 euro lordi annui ».

184. L'ente previdenziale provvede all'attività di monitoraggio sugli effetti derivanti dalle disposizioni di cui al comma 181, fornendo i relativi elementi al Ministero dell'economia e delle finanze e al Ministero del lavoro e delle politiche sociali, con le modalità individuate dal decreto di cui al comma 182. Qualora dall'attività di monitoraggio relativa agli effetti derivanti dalle disposizioni di cui al comma 181, con riferimento all'agevolazione per l'accesso al pensionamento anticipato di cui all'articolo 24, comma 11, del decreto-legge 6 dicembre 2011, n. 201, convertito, con modificazioni, dalla legge 22 dicembre 2011, n. 214, emergano maggiori oneri rispetto a quelli previsti, con decreto del Ministro dell'economia e delle finanze, di concerto con il Ministro del lavoro e delle politiche sociali, si provvede, a fini compensativi, a stabilire un limite percentuale dell'ammontare mensile della prima rata della pensione di base per il computo di cui al primo periodo del comma 7-bis dell'articolo 24 del citato decreto-legge n. 201 del 2011 ai fini del conseguimento degli importi soglia di cui al comma 11 dello stesso articolo 24 e a elevare ulteriormente gli importi soglia di cui al medesimo comma 11, ovvero a prevedere ulteriori periodi di differimento della prima decorrenza utile per il pensionamento anticipato di cui al citato comma 11.

185. L'autorizzazione di spesa di cui all'articolo 1, comma 3, lettera f), della legge 24 dicembre 2007, n. 247, è ridotta di 12,6 milioni di euro per l'anno 2026 e di 20 milioni di euro annui a decorrere dall'anno 2027, con conseguente corrispondente decremento degli importi di cui all'articolo 7, comma 1, del decreto legislativo 21 aprile 2011, n. 67. L'autorizzazione di spesa di cui all'articolo 1, comma 203, della legge 11 dicembre 2016, n. 232, è ridotta di 16 milioni di euro per l'anno 2027, di 31,7 milioni di euro per l'anno 2028, di 50,8 milioni di euro per l'anno 2029, di 36,6 milioni di euro per l'anno 2030, di 19,7 milioni di euro per l'anno 2031, di 9,3 milioni di euro per l'anno 2032, di 8,5 milioni di euro per l'anno 2033, di 11,5 milioni di euro per l'anno 2034, di 14,1 milioni di euro per l'anno 2035, di 21,4 milioni di euro per l'anno 2036, di 19,5 milioni di euro per l'anno 2037, di 30,2 milioni di euro per l'anno 2038, di 38,3 milioni di euro per l'anno 2039, di 52,7 milioni di euro per l'anno 2040, di 59,3 milioni di euro per l'anno 2041, di 74,4 milioni di euro per l'anno 2042, di 87,6 milioni di euro per l'anno 2043, di 88,8 milioni di euro per l'anno 2044 e di 91,3 milioni di euro annui a decorrere dall'anno 2045.

186. I lavoratori che nell'anno 2025 si iscrivono per la prima volta a una delle gestioni speciali autonome degli artigiani e degli esercenti attività commerciali di cui al comma 1 dell'articolo 1 della legge 2 agosto 1990, n. 233, che percepiscono redditi d'impresa, anche in regime forfetario, possono chiedere una riduzione contributiva al 50 per cento. La riduzione può essere chiesta anche dai collaboratori familiari che si iscrivono per la prima volta alle gestioni speciali autonome. La riduzione contributiva è attribuita per trentasei mesi senza soluzione di continuità di contribuzione a una delle due gestioni dalla data di avvio dell'attività di impresa o di primo ingresso nella società avvenuti nel periodo compreso tra il 1° gennaio 2025 e il 31 dicembre 2025 ed è alternativa rispetto ad altre misure agevolative vigenti che prevedono riduzioni di aliquota. Si applicano, per l'accreditamento della contribuzione, le disposizioni dell'articolo 2, comma 29, della legge 8 agosto 1995, n. 335. L'agevolazione di cui al presente comma è concessa ai sensi del regolamento (UE) 2023/2831 della Commissione, del 13 dicembre 2023, relativo all'applicazione degli articoli 107 e 108 del trattato sul funzionamento dell'Unione europea agli aiuti de minimis. Al fine del riconoscimento della riduzione contributiva di cui al presente articolo, i soggetti interessati presentano apposita comunicazione telematica all'Istituto nazionale della previdenza sociale.

187. La legge 25 luglio 1975, n. 402, non si applica alle cessazioni del rapporto di lavoro intervenute a partire dal 1° gennaio 2025.

188. A valere sul Fondo sociale per occupazione e formazione, di cui all'articolo 18, comma 1, lettera a), del decreto-legge 29 novembre 2008, n. 185, convertito, con modificazioni, dalla legge 28 gennaio 2009, n. 2, si provvede, nel limite di 30 milioni di euro per l'anno 2025, al finanziamento dell'indennità onnicomprensiva, di importo non superiore a 30 euro giornalieri per l'anno 2025, per ciascun lavoratore dipendente da impresa adibita alla pesca marittima, compresi i soci lavoratori delle cooperative della piccola pesca di cui alla legge 13 marzo 1958, n. 250, in caso di sospensione dal lavoro derivante da misure di arresto temporaneo obbligatorio o non obbligatorio.

189. Al fine del completamento dei piani di recupero occupazionale di cui all'articolo 44, comma 11-bis, del decreto legislativo 14 settembre 2015, n. 148, sono stanziate ulteriori risorse per un importo pari a 70 milioni di euro per l'anno 2025, a valere sul Fondo sociale per occupazione e formazione, di cui all'articolo 18, comma 1, lettera a), del decreto-legge 29 novembre 2008, n. 185, convertito, con modificazioni, dalla legge 28 gennaio 2009, n. 2, da ripartire tra le regioni con decreto del Ministro del lavoro e delle politiche sociali, di concerto con il Ministro dell'economia e delle finanze. Le regioni possono destinare, nell'anno 2025, le risorse stanziate ai sensi del primo periodo, in aggiunta a quelle residue dei precedenti finanziamenti, alle medesime finalità del citato articolo 44, comma 11-bis, del decreto legislativo n. 148 del 2015 nonché a quelle dell'articolo 53-ter del decreto-legge 24 aprile 2017, n. 50, convertito, con modificazioni, dalla legge 21 giugno 2017, n. 96. Ai fini del rispetto del limite delle disponibilità finanziarie assegnate, l'Istituto nazionale della previdenza sociale effettua il controllo e il monitoraggio dei flussi di spesa afferenti all'avvenuta erogazione delle prestazioni di cui al presente comma e ne dà riscontro al Ministero del lavoro e delle politiche sociali almeno semestralmente.

190. All'articolo 44, comma 1, del decreto-legge 28 settembre 2018, n. 109, convertito, con modificazioni, dalla legge 16 novembre 2018, n. 130, le parole: « In deroga agli articoli 4 e 22 del decreto legislativo 14 settembre 2015, n. 148 » sono sostituite dalle seguenti: « In deroga agli articoli 4, 20, comma 3-bis, e 22 del decreto legislativo 14 settembre 2015, n. 148 ».

191. Il trattamento di sostegno al reddito di cui all'articolo 44 del decreto-legge 28 settembre 2018, n. 109, convertito, con modificazioni, dalla legge 16 novembre 2018, n. 130, è prorogato per l'anno 2025, per un periodo massimo complessivo di autorizzazione del trattamento straordinario di integrazione salariale di dodici mesi e nel limite di spesa di 100 milioni di euro per l'anno 2025, a valere sul Fondo sociale per occupazione e formazione, di cui all'articolo 18, comma 1, lettera a), del decreto-legge 29 novembre 2008, n. 185, convertito, con modificazioni, dalla legge 28 gennaio 2009, n. 2.

192. L'integrazione salariale di cui all'articolo 1-bis del decreto-legge 29 dicembre 2016, n. 243, convertito, con modificazioni, dalla legge 27 febbraio 2017, n. 18, è prorogata per l'anno 2025, nel limite di spesa di 19 milioni di euro. All'onere derivante dal primo periodo, pari a 19 milioni di euro per l'anno 2025, si provvede a valere sul Fondo sociale per occupazione e formazione, di cui all'articolo 18, comma 1, lettera a), del decreto-legge 29 novembre 2008, n. 185, convertito, con modificazioni, dalla legge 28 gennaio 2009, n. 2.

193. L'efficacia delle disposizioni dell'articolo 22-bis del decreto legislativo 14 settembre 2015, n. 148, è ulteriormente prorogata per gli anni 2025, 2026 e 2027, nel limite di spesa di 100 milioni di euro per ciascuno di tali anni. Gli oneri derivanti dal primo periodo del presente comma, pari a 100 milioni di euro per ognuno degli anni 2025, 2026 e 2027, sono posti a carico del Fondo sociale per occupazione e formazione, di cui all'articolo 18, comma 1, lettera a), del decreto-legge 29 novembre 2008, n. 185, convertito, con modificazioni, dalla legge 28 gennaio 2009, n. 2.

194. All'articolo 1, comma 162, della legge 27 dicembre 2019, n. 160, le parole: « 31 dicembre 2024 » sono sostituite dalle seguenti: « 31 dicembre 2025 ».

195. A valere sul Fondo sociale per occupazione e formazione, di cui all'articolo 18, comma 1, lettera a), del decreto-legge 29 novembre 2008, n. 185, convertito, con modificazioni, dalla legge 28 gennaio 2009, n. 2, si provvede, nel limite di 20 milioni di euro per l'anno 2025, al finanziamento delle misure di sostegno al reddito per i lavoratori dipendenti dalle imprese del settore dei call center previste dall'articolo 44, comma 7, del decreto legislativo 14 settembre 2015, n. 148.

196. Per le imprese di interesse strategico nazionale con un numero di lavoratori dipendenti non inferiore a mille, che hanno in corso piani di riorganizzazione aziendale non ancora completati per la complessità degli stessi, con decreto del Ministero del lavoro e delle politiche sociali può essere autorizzato, a domanda, in via eccezionale e in deroga agli articoli 4 e 22 del decreto legislativo 14 settembre 2015, n. 148, in continuità con le tutele già autorizzate, un ulteriore periodo di cassa integrazione salariale straordinaria fino al 31 dicembre 2025, al fine di salvaguardare il livello occupazionale e il patrimonio di competenze dell'impresa interessata. Alla fattispecie di cui al primo periodo non si applicano le procedure e i termini di cui agli articoli 24 e 25 del decreto legislativo n. 148 del 2015. I trattamenti di cui al primo periodo sono riconosciuti nel limite di spesa di 63,3 milioni di euro per l'anno 2025. L'Istituto nazionale della previdenza sociale provvede al monitoraggio del limite di spesa di cui al secondo periodo. Qualora dal predetto monitoraggio emerga che è stato raggiunto, anche in via prospettica, il limite di spesa, l'Istituto nazionale della previdenza sociale non prende in considerazione ulteriori domande. Alla copertura degli oneri di cui al secondo periodo del presente comma, pari a 63,3 milioni di euro per l'anno 2025 si provvede a valere sulle risorse del Fondo sociale per l'occupazione e formazione di cui all'articolo 18, comma 1, lettera a), del decreto-legge 29 novembre 2008, n. 185, convertito, con modificazioni, dalla legge 28 gennaio 2009, n. 2.

197. Ai fini del conseguimento degli obiettivi e dei target del programma « Garanzia di occupabilità dei lavoratori » (GOL), le risorse assegnate alle regioni, nell'ambito di tale programma, possono essere destinate anche a finanziare le iniziative di formazione attivate dalle imprese a favore dei lavoratori rientranti nelle categorie individuate dalla riforma 1.1 – Politiche attive del lavoro e formazione della missione 5–Inclusione e coesione, componente 1 – Politiche per il lavoro del PNRR (riforma M5C1 R1.1.), in conformità con la normativa dell'Unione europea in materia di aiuti di Stato.

198. Al decreto-legge 4 maggio 2023, n. 48, convertito, con modificazioni, dalla legge 3 luglio 2023, n. 85, sono apportate le seguenti modificazioni:

a) all'articolo 2, comma 2, lettera b):

1) al numero 1), le parole: « euro 9.360 » sono sostituite dalle seguenti: « euro 10.140 »;

2) al numero 2):

2.1) al primo periodo, le parole: « euro 6.000 » sono sostituite dalle seguenti: « euro 6.500 »;

2.2) al secondo periodo, le parole: « euro 7.560 » sono sostituite dalle seguenti: « euro 8.190 »;

2.3) dopo il terzo periodo è inserito il seguente: « In ogni caso la soglia è aumentata a euro 10.140 nei casi in cui il nucleo familiare risieda in abitazione in locazione, secondo quanto risulta dalla dichiarazione sostitutiva unica resa ai fini dell'ISEE »;

b) all'articolo 3, comma 1, le parole: « euro 6.000 » sono sostituite dalle seguenti: « euro 6.500 », le parole: « euro 7.560 » sono sostituite dalle seguenti: « euro 8.190 », le parole: « euro 3.360 » sono sostituite dalle seguenti: « euro 3.640 » e le parole: « 1.800 euro » sono sostituite dalle seguenti: « euro 1.950 »;

c) all'articolo 12:

1) ai commi 2 e 4, le parole: « euro 6.000 » sono sostituite dalle seguenti: « euro 10.140 »;

2) al comma 7, le parole: « importo mensile di 350 euro » sono sostituite dalle seguenti: « importo mensile di 500 euro »;

3) dopo il comma 7 è inserito il seguente:

« 7-bis. Il limite temporale di erogazione dell'indennità di partecipazione di cui al comma 7 è prorogabile per una durata massima di ulteriori dodici mesi, previo aggiornamento del patto di servizio personalizzato, qualora alla scadenza dei primi dodici mesi di fruizione risulti la partecipazione del beneficiario a un corso di formazione. Il beneficio economico è erogato nei limiti della durata del corso »;

d) all'articolo 13:

1) al comma 8:

1.1) l'alinea è sostituito dal seguente:

« 8. Ai fini dell'erogazione del beneficio economico dell'Assegno di inclusione di cui agli articoli da 1 a 4 e dei relativi incentivi di cui all'articolo 10 è autorizzata la spesa complessiva di 5.660,8 milioni di euro per l'anno 2024, 5.880,9 milioni di euro per l'anno 2025, 5.760 milioni di euro per l'anno 2026, 5.929,3 milioni di euro per l'anno 2027, 5.979,6 milioni di euro per l'anno 2028, 6.042,5 milioni di euro per l'anno 2029, 6.097,9 milioni di euro per l'anno 2030, 6.164,9 milioni di euro per l'anno 2031, 6.234,8 milioni di euro per l'anno 2032 e 6.307 milioni di euro annui a decorrere dall'anno 2033, ripartita nei seguenti limiti di spesa »;

1.2) la lettera a) è sostituita dalla seguente:

« a) per il beneficio economico dell'Assegno di inclusione di cui agli articoli da 1 a 4 e all'articolo 10, comma 6: 5.573,8 milioni di euro per l'anno 2024, 5.731 milioni di euro per l'anno 2025, 5.607,3 milioni di euro per l'anno 2026, 5.775,2 milioni di euro per l'anno 2027, 5.823,8 milioni di euro per l'anno 2028, 5.885,3 milioni di euro per l'anno 2029, 5.939,1 milioni di euro per l'anno 2030, 6.004,3 milioni di euro per l'anno 2031, 6.072,6 milioni di euro per l'anno 2032 e 6.143,3 milioni di euro annui a decorrere dall'anno 2033 »;

2) al comma 9:

2.1) l'alinea è sostituito dal seguente:

« 9. Ai fini dell'erogazione del beneficio economico del Supporto per la formazione e il lavoro di cui all'articolo 12 e dei relativi incentivi di cui all'articolo 10 è autorizzata la spesa complessiva di 122,5 milioni di euro per l'anno 2023, 1.460,9 milioni di euro per l'anno 2024, 711,7 milioni di euro per l'anno 2025, 627,9 milioni di euro per l'anno 2026, 602,2 milioni di euro per l'anno 2027, 602,6 milioni di euro per l'anno 2028, 603,1 milioni di euro per l'anno 2029, 603,6 milioni di euro per l'anno 2030, 604,1 milioni di euro per l'anno 2031, 604,6 milioni di euro per l'anno 2032 e 605 milioni di euro annui a decorrere dall'anno 2033, ripartita nei seguenti limiti di spesa »;

2.2) la lettera a) è sostituita dalla seguente:

« a) per il beneficio economico del Supporto per la formazione e il lavoro di cui all'articolo 12: 122,5 milioni di euro per l'anno 2023, 1.354,1 milioni di euro per l'anno 2024, 606 milioni di euro per l'anno 2025, 581,8 milioni di euro per l'anno 2026 e 555,6 milioni di euro annui a decorrere dall'anno 2027 ».

199. Le risorse di cui all'articolo 1, comma 110, lettera b), della legge 27 dicembre 2017, n. 205, sono incrementate di 100 milioni di euro per l'anno 2025, di 170 milioni di euro per l'anno 2026 e di 240 milioni di euro annui a decorrere dall'anno 2027. All'onere derivante dal primo periodo, pari a 100 milioni di euro per l'anno 2025, a 170 milioni di euro per l'anno 2026 e a 240 milioni di euro annui a decorrere dall'anno 2027, si provvede:

a) quanto a 100 milioni di euro annui a decorrere dall'anno 2025, a valere sulle risorse del Fondo sociale per occupazione e formazione, di cui all'articolo 18, comma 1, lettera a), del decreto-legge 29 novembre 2008, n. 185, convertito, con modificazioni, dalla legge 28 gennaio 2009, n. 2;

b) quanto a 70 milioni di euro per l'anno 2026 e a 140 milioni di euro annui a decorrere dall'anno 2027, mediante corrispondente riduzione del Fondo per il sostegno alla povertà e per l'inclusione attiva, di cui all'articolo 1, comma 321, della legge 29 dicembre 2022, n. 197.

200. Il Fondo di sostegno per le famiglie delle vittime di gravi infortuni sul lavoro, di cui all'articolo 1, comma 1187, della legge 27 dicembre 2006, n. 296, è incrementato di 0,5 milioni di euro per ciascuno degli anni 2025 e 2026 e di 3 milioni di euro annui a decorrere dall'anno 2027. Agli oneri derivanti dall'attuazione del presente comma, pari a 0,5 milioni di euro per ciascuno degli anni 2025 e 2026 e a 3 milioni di euro annui a decorrere dall'anno 2027, si provvede mediante corrispondente riduzione del Fondo di cui all'articolo 1, comma 200, della legge 23 dicembre 2014, n. 190, come rifinanziato ai sensi del comma 884 del presente articolo.

201. Nello stato di previsione del Ministero delle imprese e del made in Italy è istituito il Fondo a sostegno delle imprese dell'indotto della società ILVA in amministrazione straordinaria, con una dotazione pari a 1 milione di euro per ciascuno degli anni 2025, 2026 e 2027.

202. Le risorse del Fondo di cui al comma 201 sono destinate alle piccole e medie imprese fornitrici di beni o servizi connessi al risanamento ambientale o funzionali alla continuazione dell'attività degli impianti, il cui fatturato derivi esclusivamente o prevalentemente da rapporti commerciali con le imprese che gestiscono gli impianti siderurgici della società ILVA Spa in amministrazione straordinaria.

203. Il Fondo di cui al comma 201 finanzia l'erogazione di un contributo a fondo perduto, da concedere nel rispetto della normativa europea in materia di aiuti di Stato in regime de minimis.

204. Entro trenta giorni dalla data di entrata in vigore della presente legge, con decreto del Ministro delle imprese e del made in Italy, di concerto con il Ministro dell'economia e delle finanze, sono definite le modalità per l'utilizzazione delle risorse del Fondo di cui al comma 201, con particolare riguardo all'individuazione delle imprese destinatarie dei contributi e all'importo massimo del contributo concedibile, anche al fine del rispetto del limite di spesa autorizzato ai sensi del medesimo comma 201.

205. Agli oneri derivanti dal comma 201, pari a 1 milione di euro per ciascuno degli anni 2025, 2026 e 2027, si provvede mediante corrispondente riduzione del Fondo di cui all'articolo 1, comma 200, della legge 23 dicembre 2014, n. 190, come rifinanziato ai sensi del comma 884 del presente articolo.

206. Al fine di incentivare la natalità e contribuire alle spese per il suo sostegno, per ogni figlio nato o adottato dal 1° gennaio 2025 è riconosciuto un importo una tantum pari a 1.000 euro, erogato nel mese successivo al mese di nascita o adozione. L'importo di cui al primo periodo, che non concorre alla determinazione del reddito complessivo ai fini dell'articolo 8 del testo unico delle imposte sui redditi, di cui al decreto del Presidente della Repubblica 22 dicembre 1986, n. 917, è corrisposto per i figli di cittadini italiani o di uno Stato membro dell'Unione europea, o loro familiari, titolari del diritto di soggiorno o del diritto di soggiorno permanente, ovvero di cittadini di uno Stato non appartenente all'Unione europea in possesso del permesso di soggiorno UE per soggiornanti di lungo periodo o titolari di permesso unico di lavoro autorizzati a svolgere un'attività lavorativa per un periodo superiore a sei mesi o titolari di permesso di soggiorno per motivi di ricerca autorizzati a soggiornare in Italia per un periodo superiore a sei mesi, residenti in Italia e a condizione che il nucleo familiare di appartenenza del genitore richiedente l'importo sia in una condizione economica corrispondente a un valore dell'indicatore della situazione economica equivalente, stabilito ai sensi del regolamento di cui al decreto del Presidente del Consiglio dei ministri 5 dicembre 2013, n. 159, non superiore a 40.000 euro annui. Nella determinazione dell'indicatore della situazione economica equivalente utile ai fini del riconoscimento dell'importo di cui al presente comma non rilevano le erogazioni relative all'assegno unico e universale di cui al decreto legislativo 29 dicembre 2021, n. 230. L'importo di cui al presente comma è corrisposto, a domanda, dall'Istituto nazionale della previdenza sociale, che provvede alle relative attività, nonché a quelle del comma 207, con le risorse umane, strumentali e finanziarie disponibili a legislazione vigente e comunque senza nuovi o maggiori oneri a carico della finanza pubblica.

207. L'Istituto nazionale della previdenza sociale provvede al monitoraggio dei maggiori oneri derivanti dalle disposizioni del comma 206 inviando relazioni mensili al Ministero del lavoro e delle politiche sociali e al Ministero dell'economia e delle finanze. Nel caso in cui, in sede di attuazione del comma 206, si verifichino o siano in procinto di verificarsi scostamenti rispetto alla previsione di spesa di cui al comma 208, con decreto del Ministro dell'economia e delle finanze, di concerto con il Ministro del lavoro e delle politiche sociali, si provvede a rideterminare il valore annuo dell'importo di cui al comma 206, primo periodo, e il valore dell'indicatore della situazione economica equivalente di cui al comma 206, secondo periodo.

208. L'onere derivante dal comma 206 è valutato in 330 milioni di euro per l'anno 2025 e in 360 milioni di euro annui a decorrere dall'anno 2026.

209. Nella determinazione dell'indicatore della situazione economica equivalente utile ai fini dell'attribuzione del buono di cui all'articolo 1, comma 355, della legge 11 dicembre 2016, n. 232, non rilevano le erogazioni relative all'assegno unico e universale di cui al decreto legislativo 29 dicembre 2021, n. 230. Per effetto di quanto disposto dal primo periodo del presente comma l'autorizzazione di spesa di cui al medesimo articolo 1, comma 355, della legge n. 232 del 2016 è incrementata di 5 milioni di euro annui a decorrere dall'anno 2025.

210. All'articolo 1, comma 355, terzo periodo, della legge 11 dicembre 2016, n. 232, le parole: « nei quali sia già presente almeno un figlio di età inferiore ai dieci anni, » sono soppresse.

211. Per effetto di quanto disposto dal comma 210, l'autorizzazione di spesa di cui all'articolo 1, comma 355, della legge 11 dicembre 2016, n. 232, è incrementata di 97 milioni di euro per l'anno 2025, di 131 milioni di euro per l'anno 2026, di 194 milioni di euro per l'anno 2027, di 197 milioni di euro per l'anno 2028 e di 200 milioni di euro annui a decorrere dall'anno 2029.

212. A decorrere dal 1° gennaio 2025, al fine di semplificare e razionalizzare il procedimento di riconoscimento ed erogazione dei benefìci economici per i quali è richiesta l'esibizione di una fattura da parte del richiedente, l'Istituto nazionale della previdenza sociale acquisisce e verifica, in interoperabilità, le informazioni, disponibili nella banca di dati dell'Agenzia delle entrate, relative alla fatturazione elettronica rilasciata da persone fisiche o giuridiche, pubbliche o private, riferita ai servizi per i quali è concessa la prestazione economica.

213. Al fine di incentivare e sostenere in tutto il territorio nazionale le attività educative e ricreative, anche non formali, che coinvolgono i bambini e gli adolescenti, di contrastare la povertà educativa e l'esclusione sociale, di favorire il protagonismo delle nuove generazioni anche con il coinvolgimento delle stesse nei processi decisionali che li riguardano, in coerenza con le linee guida per la partecipazione di bambine e bambini e ragazze e ragazzi, adottate con decreto del Ministro per le pari opportunità e la famiglia 12 luglio 2022, nonché di sostenere le famiglie anche mediante l'offerta di opportunità educative rivolte al benessere dei figli dalla nascita fino al compimento della maggiore età e per incentivare il coinvolgimento attivo degli enti del Terzo settore e degli enti religiosi che svolgono attività di oratorio o attività similari, attraverso le forme di co- programmazione e di co-progettazione previste dagli articoli 55 e 56 del codice del Terzo settore, di cui al decreto legislativo 3 luglio 2017, n. 117, nonché per promuovere la diffusione di opportunità educative, anche non formali, rivolte al benessere dei minori, è istituito nello stato di previsione del Ministero dell'economia e delle finanze, per il successivo trasferimento al bilancio autonomo della Presidenza del Consiglio dei ministri, il Fondo per il sostegno alle attività educative formali e non formali, con una dotazione di 3 milioni di euro per l'anno 2025, di 3,5 milioni di euro per l'anno 2026 e di 4 milioni di euro per l'anno 2027, destinato al finanziamento, nel limite di spesa autorizzato, delle iniziative dei comuni, da realizzare anche in collaborazione con enti pubblici e privati ovvero con le istituzioni scolastiche del sistema nazionale di istruzione di cui alla legge 10 marzo 2000, n. 62, anche promuovendo le comunità educanti.

214. Le iniziative di cui al comma 213 possono essere svolte, anche attraverso accordi con i comuni limitrofi, presso le scuole, i centri estivi, i servizi socio-educativi territoriali, i centri con funzione educativa e ricreativa per i minori, gli enti religiosi ovvero con altre modalità definite nella co-progettazione al fine di promuovere e potenziare i percorsi di sviluppo, di crescita e di promozione del benessere psico-fisico dei minori, anche attraverso l'attività sportiva, artistica e musicale, con particolare attenzione all'apprendimento delle discipline scientifiche, tecnologiche, ingegneristiche e matematiche.

215. Con decreto del Presidente del Consiglio dei ministri, di concerto con il Ministro dell'interno e con il Ministro dell'economia e delle finanze, da adottare entro sessanta giorni dalla data di entrata in vigore della presente legge, sono stabilite le modalità di attuazione dei commi 213 e 214, anche al fine del rispetto del limite di spesa di cui al comma 213.

216. Agli oneri derivanti dall'attuazione dei commi 213 e 214, pari a 3 milioni di euro per l'anno 2025, a 3,5 milioni di euro per l'anno 2026 e a 4 milioni di euro per l'anno 2027, si provvede mediante corrispondente riduzione del Fondo di cui all'articolo 1, comma 200, della legge 23 dicembre 2014, n. 190, come rifinanziato ai sensi del comma 884 del presente articolo.

217. All'articolo 34, comma 1, primo periodo, del testo unico delle disposizioni legislative in materia di tutela e sostegno della maternità e della paternità, di cui al decreto legislativo 26 marzo 2001, n. 151, sono apportate le seguenti modificazioni:

a) le parole: « nel limite massimo di un mese e alla misura del 60 per cento della retribuzione nel limite massimo di un ulteriore mese, elevata all'80 per cento per il solo anno 2024 » sono soppresse;

b) sono aggiunte, in fine, le seguenti parole: « e, per la durata massima di un ulteriore mese fino al sesto anno di vita del bambino, all'80 per cento della retribuzione ».

218. Le disposizioni di cui al comma 217 si applicano rispettivamente con riferimento ai lavoratori che hanno terminato o terminano il periodo di congedo di maternità o, in alternativa, di paternità, di cui rispettivamente al capo III e al capo IV del testo unico delle disposizioni legislative in materia di tutela e sostegno della maternità e della paternità, di cui al decreto legislativo 26 marzo 2001, n. 151, successivamente al 31 dicembre 2023 e al 31 dicembre 2024.

219. Alle lavoratrici dipendenti, a esclusione dei rapporti di lavoro domestico, nonché alle lavoratrici autonome che percepiscono almeno uno tra redditi di lavoro autonomo, redditi d'impresa in contabilità ordinaria, redditi d'impresa in contabilità semplificata o redditi da partecipazione e che non hanno optato per il regime forfetario, è riconosciuto, a decorrere dall'anno 2025, nel limite di spesa di 300 milioni di euro annui, un parziale esonero contributivo della quota dei contributi previdenziali per l'invalidità, la vecchiaia e i superstiti a carico del lavoratore. Le lavoratrici di cui al primo periodo devono essere madri di due o più figli e l'esonero contributivo spetta fino al mese del compimento del decimo anno di età del figlio più piccolo; a decorrere dall'anno 2027, per le madri di tre o più figli, l'esonero contributivo spetta fino al mese del compimento del diciottesimo anno di età del figlio più piccolo. Per gli anni 2025 e 2026 l'esonero di cui al presente comma non spetta alle lavoratrici beneficiarie di quanto disposto dall'articolo 1, comma 180, della legge 30 dicembre 2023, n. 213. L'esonero contributivo di cui al presente comma spetta a condizione che la retribuzione o il reddito imponibile ai fini previdenziali non sia superiore all'importo di 40.000 euro su base annua, salvo quanto disposto dal comma 220. Resta ferma l'aliquota di computo delle prestazioni pensionistiche. Entro trenta giorni dalla data di entrata in vigore della presente legge, con decreto del Ministro del lavoro e delle politiche sociali, di concerto con il Ministro dell'economia e delle finanze, sono disciplinate le modalità attuative di quanto previsto dal presente comma e, in particolare, la misura dell'esonero contributivo, le modalità per il riconoscimento dello stesso e le procedure per il rispetto del limite di spesa di cui al primo periodo.

220. Per le lavoratrici autonome di cui al comma 219 iscritte all'assicurazione generale obbligatoria gestita dall'Istituto nazionale della previdenza sociale nonché alla gestione separata di cui all'articolo 2, comma 26, della legge 8 agosto 1995, n. 335, il parziale esonero contributivo di cui al medesimo comma 219 è parametrato al valore del livello minimo di reddito previsto dall'articolo 1, comma 3, della legge 2 agosto 1990, n. 233. L'agevolazione di cui al primo periodo è concessa ai sensi del regolamento (UE) 2023/2831 della Commissione, del 13 dicembre 2023, relativo all'applicazione degli articoli 107 e 108 del Trattato sul funzionamento dell'Unione europea agli aiuti de minimis.

221. Al fine di rafforzare l'orientamento e la formazione al lavoro delle donne vittime di violenza e di favorire l'effettiva indipendenza economica e l'emancipazione delle stesse, il Fondo per le politiche relative ai diritti e alle pari opportunità, di cui all'articolo 19, comma 3, del decreto-legge 4 luglio 2006, n. 223, convertito, con modificazioni, dalla legge 4 agosto 2006, n. 248, è incrementato di 3 milioni di euro annui a decorrere dall'anno 2025.

222. Al fine di incrementare la misura del reddito di libertà ai sensi dell'articolo 105-bis del decreto-legge 19 maggio 2020, n. 34, convertito, con modificazioni, dalla legge 17 luglio 2020, n. 77, per garantire l'effettiva indipendenza economica e l'emancipazione delle donne vittime di violenza, il Fondo di cui all'articolo 19, comma 3, del decreto-legge 4 luglio 2006, n. 223, convertito, con modificazioni, dalla legge 4 agosto 2006, n. 248, è ulteriormente incrementato di 1 milione di euro annui a decorrere dall'anno 2025. Agli oneri derivanti dall'attuazione del presente comma, pari a 1 milione di euro annui a decorrere dall'anno 2025, si provvede mediante corrispondente riduzione del Fondo di cui all'articolo 1, comma 200, della legge 23 dicembre 2014, n. 190, come rifinanziato ai sensi del comma 884 del presente articolo.

223. Le disposizioni di cui della legge 14 febbraio 1974, n. 37, si applicano anche alle persone di cui alle lettere a) e b) del presente comma, accompagnate da un cane di assistenza munito di tesserino identificativo rilasciato ai sensi del comma 225 del presente articolo:

a) persone con disabilità che presentano compromissioni fisiche, mentali, intellettive o sensoriali individuate ai sensi del comma 225, lettera a);

b) persone con patologie individuate ai sensi del comma 225, lettera a), anche non in possesso del certificato di riconoscimento della condizione di disabilità.

224. Ai fini dei commi da 223 a 226, per cani di assistenza si intendono i cani addestrati per il supporto delle persone di cui al comma 223, ivi compresi i cani guida per le persone cieche e ipovedenti.

225. Per l'attuazione del comma 223, entro sei mesi dalla data di entrata in vigore della presente legge, con decreto del Ministro della salute e del Ministro per le disabilità, di concerto con il Ministro dell'economia e delle finanze, sentiti il Centro di referenza nazionale per gli interventi assistiti dagli animali e l'Osservatorio nazionale sulla condizione delle persone con disabilità, previa intesa in sede di Conferenza unificata di cui all'articolo 8 del decreto legislativo 28 agosto 1997, n. 281, sono definiti:

a) le compromissioni e le patologie per le quali i cani di assistenza possono essere addestrati e tesserati per supportare le persone di cui al comma 223, includendo tra esse le compromissioni della vista e dell'udito, le disabilità motorie, il diabete, l'epilessia e i disturbi del neurosviluppo, nonché gli eventuali criteri di esclusione;

b) le procedure per il riconoscimento dei soggetti abilitati alla formazione dei cani di assistenza e le modalità di istituzione di un registro dei medesimi soggetti, nonché i requisiti che gli stessi sono tenuti a rispettare, anche con riferimento alla qualificazione delle figure operanti in tale settore di attività;

c) i percorsi di addestramento dei cani di assistenza e le misure atte a garantirne la salute e il benessere;

d) le caratteristiche del tesserino identificativo dei cani di assistenza che i soggetti di cui alla lettera b) sono tenuti a rilasciare, con oneri non a carico della finanza pubblica, nelle more e al termine del percorso formativo e le modalità operative per la registrazione dei cani di assistenza nell'ambito del Sistema di identificazione nazionale degli animali da compagnia;

e) gli enti con funzioni di controllo e di monitoraggio deputati al riconoscimento dei soggetti di cui alla lettera b), alla tenuta del relativo registro e alla valutazione periodica del loro operato, nonché le misure da attuare in caso di valutazione negativa o di riscontrata non conformità del servizio offerto;

f) le disposizioni finali e transitorie, fermo restando che per i cani guida delle persone cieche formati prima della data di entrata in vigore del decreto di cui al presente comma, le disposizioni della legge 14 febbraio 1974, n. 37, continuano ad applicarsi indipendentemente dall'eventuale tesseramento dell'animale.

226. Le disposizioni della legge 14 febbraio 1974, n. 37, si applicano anche alle figure coinvolte nell'addestramento del cane di assistenza, operanti presso i soggetti di cui al comma 225, lettera b), del presente articolo nell'espletamento delle attività funzionali all'addestramento.

227. Per le finalità di cui ai commi da 223 a 226, il Fondo nazionale per il concorso finanziario dello Stato agli oneri del trasporto pubblico locale, anche ferroviario, nelle regioni a statuto ordinario, di cui all'articolo 16-bis, comma 1, del decreto-legge 6 luglio 2012, n. 95, convertito, con modificazioni, dalla legge 7 agosto 2012, n. 135, è incrementato di 1 milione di euro annui a decorrere dall'anno 2025.

228. Per lo svolgimento delle attività di cui al comma 225, lettera e), è autorizzata la spesa di 400.000 euro annui a decorrere dall'anno 2025. Le risorse di cui al primo periodo sono trasferite al bilancio autonomo della Presidenza del Consiglio dei ministri.

229. Il comma 1-quater dell'articolo 15 del testo unico delle imposte sui redditi, di cui al decreto del Presidente della Repubblica 22 dicembre 1986, n. 917, è sostituito dal seguente:

« 1-quater. Dall'imposta lorda si detrae, nella misura forfetaria di euro 1.100, la spesa sostenuta dai non vedenti per il mantenimento dei cani guida ».

230. Agli oneri derivanti dal comma 229, valutati in 390.000 euro per l'anno 2026 e in 220.000 euro annui a decorrere dall'anno 2027, si provvede mediante corrispondente riduzione del Fondo di cui all'articolo 1, comma 200, della legge 23 dicembre 2014, n. 190, come rifinanziato ai sensi del comma 884 del presente articolo.

231. In considerazione dei rilevanti impegni derivanti dall'attuazione della riforma in materia di disabilità prevista dal PNRR e dalla legge 22 dicembre 2021, n. 227, al fine di realizzare le attività concernenti la sperimentazione prevista dall'articolo 33 del decreto legislativo 3 maggio 2024, n. 62, nei territori individuati dall'articolo 9, comma 1, del decreto-legge 31 maggio 2024, n. 71, convertito, con modificazioni, dalla legge 29 luglio 2024, n. 106, in attesa del completamento delle procedure di reclutamento previste dall'articolo 9, comma 6, del decreto legislativo n. 62 del 2024, l'Istituto nazionale della previdenza sociale è autorizzato a conferire incarichi per prestazioni professionali, anche su base convenzionale con altre pubbliche amministrazioni, a medici e figure professionali appartenenti alle aree psicologiche e sociali, nel limite di spesa di 16 milioni di euro per l'anno 2025.

232. Per le finalità di cui al comma 231, l'autorizzazione di spesa per le spese di funzionamento di cui all'articolo 9, comma 7, secondo periodo, del decreto legislativo 3 maggio 2024, n. 62, è incrementata di 4 milioni di euro per l'anno 2025.

233. L'autorizzazione di spesa di cui all'articolo 9, comma 7, primo periodo, del decreto legislativo 3 maggio 2024, n. 62, è ridotta di 20 milioni di euro per l'anno 2025.

234. All'articolo 1, comma 214, della legge 30 dicembre 2023, n. 213, sono apportate le seguenti modificazioni:

a) il primo periodo è sostituito dal seguente: « Con uno o più decreti dell'Autorità politica delegata in materia di disabilità, adottati di concerto con il Ministro dell'economia e delle finanze e con gli altri Ministri competenti per materia, sono stabiliti i criteri generali per l'utilizzo del Fondo di cui al comma 210 nonché gli eventuali criteri di riparto tra le regioni delle quote del Fondo medesimo »;

b) al secondo periodo, la parola: « citato » è soppressa;

c) dopo il secondo periodo è inserito il seguente: « L'utilizzo del Fondo di cui al comma 210 è disposto, in coerenza con i criteri stabiliti dai decreti di cui al primo periodo del presente comma, con uno o più decreti dell'Autorità politica delegata in materia di disabilità, adottati di concerto con il Ministro dell'economia e delle finanze e con gli altri Ministri per le parti di rispettiva competenza ».

235. All'articolo 1, comma 334, della legge 30 dicembre 2020, n. 178, sono aggiunti, in fine, i seguenti periodi: « Le risorse del fondo di cui al primo periodo del presente comma, fino all'adozione degli interventi legislativi ivi previsti, sono destinate alle medesime finalità del Fondo per le non autosufficienze, di cui all'articolo 1, comma 1264, della legge 27 dicembre 2006, n. 296, per l'erogazione dei servizi socio-assistenziali nelle aree di cui all'articolo 1, comma 162, lettere a), b) e c), della legge 30 dicembre 2021, n. 234. Per l'attuazione della previsione di cui al secondo periodo il Ministro dell'economia e delle finanze è autorizzato ad apportare le necessarie variazioni di bilancio ».

236. È istituito, nello stato di previsione del Ministero dell'economia e delle finanze, per il successivo trasferimento al bilancio autonomo della Presidenza del Consiglio dei ministri, un fondo con una dotazione di 1,5 milioni di euro per l'anno 2025, da destinare all'erogazione di contributi a sostegno di enti, organismi e associazioni la cui finalità è la promozione dei diritti delle persone con disabilità e la loro piena ed effettiva partecipazione e inclusione sociale.

237. Agli oneri derivanti dal comma 236, pari a 1,5 milioni di euro per l'anno 2025, si provvede mediante corrispondente riduzione del Fondo per interventi strutturali di politica economica, di cui all'articolo 10, comma 5, del decreto-legge 29 novembre 2004, n. 282, convertito, con modificazioni, dalla legge 27 dicembre 2004, n. 307.

238. Per le finalità di cui all'articolo 1, comma 738, della legge 30 dicembre 2021, n. 234, è attribuito alla FISH – Federazione italiana per il superamento dell'handicap un contributo di 500.000 euro per l'anno 2025. Agli oneri derivanti dal presente comma, pari a 500.000 euro per l'anno 2025, si provvede mediante corrispondente riduzione del Fondo di cui all'articolo 1, comma 200, della legge 23 dicembre 2014, n. 190, come rifinanziato ai sensi del comma 884 del presente articolo.

239. All'articolo 11 del testo unico delle leggi in materia di disciplina degli stupefacenti e sostanze psicotrope, prevenzione, cura e riabilitazione dei relativi stati di tossicodipendenza, di cui al decreto del Presidente della Repubblica 9 ottobre 1990, n. 309, sono apportate le seguenti modificazioni:

a) al comma 3 è aggiunto, in fine, il seguente periodo: « Al personale inviato presso gli uffici di cui al primo periodo spetta il trattamento economico riconosciuto agli esperti per la sicurezza di cui al comma 1 »;

b) il comma 5 è sostituito dal seguente:

« 5. L'onere derivante dall'attuazione del comma 1 è pari a 2.065.828 euro annui a decorrere dal 1990 per le spese riguardanti il personale e a 516.457 euro per le spese di carattere funzionale relativamente al 1990. L'onere derivante dall'attuazione del comma 3 è complessivamente pari a 810.000 euro annui a decorrere dall'anno 2025, di cui 725.000 euro annui per le spese di personale e 85.000 euro annui per le spese di funzionamento ».

240. Al fine di sostenere interventi finalizzati alla prevenzione, al monitoraggio e al contrasto del diffondersi delle dipendenze comportamentali tra le giovani generazioni, è istituito, nello stato di previsione del Ministero dell'economia e delle finanze, per il successivo trasferimento al bilancio autonomo della Presidenza del Consiglio dei ministri, il Fondo nazionale per la prevenzione, il monitoraggio e il contrasto del diffondersi delle dipendenze comportamentali tra le giovani generazioni, con una dotazione di 500.000 euro annui a decorrere dall'anno 2025.

241. All'articolo 75 del testo unico delle leggi in materia di disciplina degli stupefacenti e sostanze psicotrope, prevenzione, cura e riabilitazione dei relativi stati di tossicodipendenza, di cui al decreto del Presidente della Repubblica 9 ottobre 1990, n. 309, dopo il comma 10 sono inseriti i seguenti:

« 10-bis. È istituito, nello stato di previsione del Ministero dell'interno, il Fondo per gli accertamenti medico-legali e tossicologico-forensi, con una dotazione di 4 milioni di euro annui a decorrere dall'anno 2025, destinato alla copertura degli oneri per l'effettuazione degli accertamenti medico-legali e tossicologico-forensi di cui al comma 10.

10-ter. Entro trenta giorni dalla data di entrata in vigore della presente disposizione, con decreto del Ministro dell'interno, di concerto con il Ministro della salute e con il Ministro dell'economia e delle finanze, sono definite le modalità di utilizzo del Fondo di cui al comma 10-bis. Il Ministro dell'economia e delle finanze è autorizzato ad apportare, con propri decreti, le occorrenti variazioni di bilancio ».

242. All'articolo 87, comma 5, del testo unico delle leggi in materia di disciplina degli stupefacenti e sostanze psicotrope, prevenzione, cura e riabilitazione dei relativi stati di tossicodipendenza, di cui al decreto del Presidente della Repubblica 9 ottobre 1990, n. 309, le parole: « e al Ministero della sanità » sono soppresse.

243. Al testo unico delle leggi in materia di disciplina degli stupefacenti e sostanze psicotrope, prevenzione, cura e riabilitazione dei relativi stati di tossicodipendenza, di cui al decreto del Presidente della Repubblica 9 ottobre 1990, n. 309, dopo l'articolo 14 è inserito il seguente:

« Art. 14-bis. – (Sistema nazionale di allerta rapida per le droghe – NEWS-D) – 1. Al fine di dare piena attuazione operativa all'articolo 13 del regolamento (UE) 2023/ 1322 del Parlamento europeo e del Consiglio, del 27 giugno 2023, a decorrere dal 1° gennaio 2025, è istituito, presso il Dipartimento per le politiche antidroga della Presidenza del Consiglio dei ministri, il Sistema nazionale di allerta rapida per le droghe (NEWS-D), quale strumento di coordinamento operativo delle informazioni di allerta che opera anche attraverso un dispositivo informatico dedicato, finalizzato alla prevenzione e alla tutela della salute pubblica, per individuare tempestivamente e prevenire fenomeni potenzialmente pericolosi correlati alla comparsa di nuove sostanze psicoattive o al consumo di sostanze stupefacenti già vietate.

2. Il Sistema di cui al comma 1 si avvale, per il proprio funzionamento, dei centri collaborativi di primo e di secondo livello di cui ai commi 3 e 4.

3. Sono centri collaborativi di primo livello:

a) l'Istituto superiore di sanità, di cui all'articolo 9 del decreto legislativo 29 ottobre 1999, n. 419, per la raccolta di dati e informazioni provenienti dai centri collaborativi di secondo livello su aspetti bio-tossicologici;

b) i centri antiveleno, pubblici o privati, per la raccolta di dati e informazioni provenienti dai centri collaborativi di secondo livello, su aspetti clinico-tossicologici, in grado di assicurare una disponibilità per l'intera giornata, con laboratori interni e capacità analitiche nel settore delle nuove sostanze psicoattive, da individuare a cura del Dipartimento per le politiche antidroga della Presidenza del Consiglio dei ministri;

c) la Direzione centrale per i servizi antidroga del Dipartimento della pubblica sicurezza del Ministero dell'interno, di cui all'articolo 1 della legge 15 gennaio 1991, n. 16, per il concorso allo sviluppo del Sistema di cui al comma 1, per il coordinamento delle Forze di polizia nell'alimentazione informativa del predetto Sistema nonché per la raccolta di dati e informazioni, utili per la formulazione di allerta o informative, emergenti dagli esami tossicologici condotti dai centri collaborativi di secondo livello di cui al comma 4, lettera e), sulle sostanze stupefacenti sequestrate.

4. Possono essere centri collaborativi di secondo livello:

a) gli istituti di medicina legale;

b) i laboratori universitari di tossicologia forense;

c) le amministrazioni centrali e periferiche competenti in materia di droga;

d) le strutture di emergenza;

e) i laboratori delle Forze di polizia;

f) le strutture pubbliche di base individuate ai sensi dell'articolo 75, comma 10;

g) gli enti, le agenzie e le associazioni scientifiche ovvero i soggetti pubblici o privati operanti nell'ambito della prevenzione, della cura e della riabilitazione delle dipendenze da sostanze stupefacenti, individuati, sulla base di criteri specifici, dal Dipartimento per le politiche antidroga della Presidenza del Consiglio dei ministri.

5. Al fine di garantire la piena operatività del Sistema di cui al comma 1 e la tempestiva individuazione di nuove sostanze stupefacenti e psicoattive, nonché i loro effetti sulla salute, il Dipartimento per le politiche antidroga della Presidenza del Consiglio dei ministri è autorizzato, anche in deroga alle disposizioni contenute nel codice dei contratti pubblici, di cui al decreto legislativo 31 marzo 2023, n. 36, a stipulare convenzioni e contratti con strutture private in possesso dei requisiti di cui al comma 3, lettera b).

6. Con decreto del Presidente del Consiglio dei ministri, da adottare entro novanta giorni dalla data di entrata in vigore della presente disposizione, sono definiti i compiti e l'organizzazione del Sistema di cui al comma 1 ».

244. All'attuazione dell'articolo 14-bis del testo unico delle leggi in materia di disciplina degli stupefacenti e sostanze psicotrope, prevenzione, cura e riabilitazione dei relativi stati di tossicodipendenza, di cui al decreto del Presidente della Repubblica 9 ottobre 1990, n. 309, introdotto dal comma 243 del presente articolo, si provvede con le risorse umane, strumentali e finanziarie disponibili a legislazione vigente e comunque senza nuovi o maggiori oneri a carico della finanza pubblica.

245. Il comma 632 dell'articolo 1 della legge 30 dicembre 2018, n. 145, è sostituito dal seguente:

« 632. Con decreto del Ministro dell'economia e delle finanze, da emanare con cadenza annuale, sono accertate le entrate di cui ai commi 630 e 630-bis. Qualora le entrate di cui al primo periodo siano superiori all'importo di 410 milioni di euro, la differenza è attribuita, con decreto del Presidente del Consiglio dei ministri o dell'Autorità politica delegata in materia di sport, di concerto con il Ministro dell'economia e delle finanze, al bilancio autonomo della Presidenza del Consiglio dei ministri in favore del Dipartimento per lo sport, al CONI, al Comitato italiano paralimpico nonché alla società Sport e Salute Spa, anche per il finanziamento delle federazioni sportive nazionali, delle discipline sportive associate, degli enti di promozione sportiva, dei gruppi sportivi militari e dei corpi civili dello Stato e delle associazioni benemerite ».

246. La disciplina del credito d'imposta per le erogazioni liberali per interventi di manutenzione e restauro di impianti sportivi pubblici e per la realizzazione di nuove strutture sportive pubbliche, di cui all'articolo 1, commi da 621 a 626, della legge 30 dicembre 2018, n. 145, si applica, limitatamente ai soggetti titolari di reddito d'impresa, anche per l'anno 2025, nel limite complessivo di 10 milioni di euro e secondo le modalità di cui al comma 623 dell'articolo 1 della citata legge n. 145 del 2018. Per l'attuazione delle disposizioni di cui al presente comma si applicano, in quanto compatibili, le disposizioni del decreto del Presidente del Consiglio dei ministri 30 aprile 2019, pubblicato nella Gazzetta Ufficiale n. 124 del 29 maggio 2019.

247. Per le finalità di cui all'articolo 1, comma 18, primo periodo, della legge 27 dicembre 2019, n. 160, è autorizzata la spesa di 50 milioni di euro per l'anno 2025 e di 57,8 milioni di euro per l'anno 2026. Agli oneri di cui al periodo precedente si provvede per quota parte, pari a 20 milioni di euro per l'anno 2025 e a 15 milioni di euro per l'anno 2026, mediante corrispondente riduzione dell'autorizzazione di spesa di cui all'articolo 1, comma 14, della legge n. 160 del 2019, relativamente alla quota affluita al Ministero delle infrastrutture e dei trasporti con il decreto del Presidente del Consiglio dei ministri 23 dicembre 2020, pubblicato nella Gazzetta Ufficiale n. 41 del 18 febbraio 2021, relativo agli interventi per gli immobili demaniali o privati in uso alla Presidenza della Repubblica, al Parlamento, alla Presidenza del Consiglio dei ministri, alla Corte costituzionale e ad altri organismi internazionali.

248. Al fine di potenziare il servizio di trasporto pubblico locale e di garantire l'accessibilità complessiva dei territori interessati dai Giochi olimpici e paralimpici invernali Milano-Cortina 2026, è autorizzata la spesa di 25 milioni di euro per l'anno 2026 in favore delle regioni interessate dallo svolgimento degli eventi sportivi e delle province autonome di Trento e di Bolzano. Con decreto del Ministro delle infrastrutture e dei trasporti, di concerto con il Ministro dell'economia e delle finanze, sentita la Conferenza unificata di cui all'articolo 8 del decreto legislativo 28 agosto 1997, n. 281, sono stabiliti i criteri di ripartizione delle risorse di cui al primo periodo sulla base delle esigenze di mobilità connesse agli eventi sportivi medesimi.

249. A titolo di contributo per la realizzazione dei Giochi olimpici giovanili invernali Dolomiti-Valtellina 2028 è autorizzata la spesa di 10 milioni di euro per l'anno 2028.

250. Il Fondo per interventi strutturali di politica economica di cui all'articolo 10, comma 5, del decreto-legge 29 novembre 2004, n. 282, convertito, con modificazioni, dalla legge 27 dicembre 2004, n. 307, è ridotto di 20 milioni di euro per l'anno 2025, di 62,8 milioni di euro per l'anno 2026 e di 10 milioni di euro per l'anno 2028.

251. Il Fondo unico a sostegno del potenziamento del movimento sportivo italiano, di cui all'articolo 1, comma 369, della legge 27 dicembre 2017, n. 205, è incrementato di 15 milioni di euro per ciascuno degli anni 2025, 2026 e 2027.

252. Il Fondo di cui al comma 251 è ulteriormente incrementato di 2,4 milioni di euro per l'anno 2025, di 4,4 milioni di euro per l'anno 2026 e di 3,2 milioni di euro per l'anno 2027, per le finalità di cui all'articolo 7, comma 1, secondo periodo, del decreto-legge 23 settembre 2022, n. 144, convertito, con modificazioni, dalla legge 17 novembre 2022, n. 175. Con decreto del Ministro per lo sport e i giovani, di concerto con il Ministro dell'economia e delle finanze, da adottare entro trenta giorni dalla data di entrata in vigore della presente legge, sono individuati le modalità e i termini di presentazione delle richieste di erogazione dei contributi, i criteri di ammissione nonché le modalità di erogazione dei contributi stessi, anche al fine del rispetto del limite di spesa di cui al presente comma. Agli oneri derivanti dal presente comma, pari a 2,4 milioni di euro per l'anno 2025, a 4,4 milioni di euro per l'anno 2026 e a 3,2 milioni di euro per l'anno 2027, si provvede mediante corrispondente riduzione del Fondo di cui all'articolo 1, comma 200, della legge 23 dicembre 2014, n. 190, come rifinanziato ai sensi del comma 884 del presente articolo.

253. Al fine di favorire la realizzazione di progetti di integrazione delle persone con disabilità attraverso lo sport, il fondo destinato alle attività del progetto Filippide, di cui all'articolo 1, comma 333, della legge 27 dicembre 2019, n. 160, è incrementato di 200.000 euro annui a decorrere dall'anno 2025. Agli oneri derivanti dal presente comma, pari a 200.000 euro annui a decorrere dal 2025, si fa fronte mediante corrispondente riduzione del Fondo di cui all'articolo 1, comma 369, della legge 27 dicembre 2017, n. 205.

254. Nel rispetto dell'articolo 32 della Costituzione, il « Progetto studenti atleti di alto livello » di cui al decreto del Ministro dell'istruzione e del merito 3 marzo 2023, n. 43, è realizzato dalle istituzioni scolastiche, nell'ambito della propria autonomia, al fine di permettere agli studenti atleti iscritti alla scuola secondaria di secondo grado, individuati sulla base dei requisiti stabiliti dal Ministero dell'istruzione e del merito in accordo con il Comitato olimpico nazionale italiano (CONI), il Comitato italiano paralimpico (CIP) e la società Sport e salute Spa, di conciliare l'impegno agonistico con quello scolastico.

255. Per l'ammissione al progetto di cui al comma 254 lo studente atleta deve presentare all'istituzione scolastica la documentazione attestante il possesso dei requisiti di cui al medesimo comma 254 rilasciata dalla Federazione sportiva d'appartenenza.

256. Nell'ambito del percorso formativo personalizzato, le istituzioni scolastiche possono riconoscere allo studente atleta le competenze acquisite mediante la pratica sportiva agonistica. Le competenze di cui al presente comma sono riconosciute anche nell'ambito di un percorso per le competenze trasversali e per l'orientamento (PCTO) sulla base di uno specifico progetto formativo condiviso tra l'istituzione scolastica di appartenenza e la Federazione sportiva ovvero la società sportiva o l'associazione sportiva riconosciuta dal CONI o dal CIP, le quali seguono il percorso agonistico dello studente, previa sottoscrizione di una convenzione che prevede anche l'individuazione di un tutor esterno che segue le attività sportive dello studente atleta. In ogni caso, la durata dei PCTO di cui al presente comma è pari a quella prevista dai corrispondenti percorsi della scuola secondaria di secondo grado, che costituiscono requisito di accesso all'esame di Stato conclusivo del secondo ciclo di istruzione.

257. L'istituzione scolastica adegua il percorso formativo dello studente atleta e le prove di verifica dell'apprendimento al calendario agonistico federale delle gare e al calendario degli allenamenti, predisposti e sottoscritti dal dirigente sportivo del centro sportivo di appartenenza dello studente atleta.

258. Lo studente che partecipa al progetto di cui al comma 254 e che, alternativamente, sia membro di un gruppo sportivo delle Forze armate o delle Forze dell'ordine ovvero sia riconosciuto come « atleta di interesse nazionale », ha diritto a ricevere una borsa di studio. La borsa di studio è erogata dalla società Sport e salute Spa, secondo i criteri e con le modalità stabiliti da un'apposita convenzione sottoscritta con il Dipartimento per lo sport della Presidenza del Consiglio dei ministri, da stipulare entro sessanta giorni dalla data di entrata in vigore della presente legge. A tal fine è autorizzata la spesa di 2 milioni di euro a decorrere dall'anno 2025. La predetta autorizzazione costituisce limite di spesa.

259. Agli oneri derivanti dall'attuazione del comma 258 del presente articolo, pari a 2 milioni di euro annui a decorrere dal 2025, si provvede mediante corrispondente riduzione del Fondo di cui all'articolo 1, comma 369, della legge 27 dicembre 2017, n. 205, come incrementato ai sensi del comma 251 del presente articolo.

260. Le attività previste dai commi da 254 a 257 sono svolte dalle amministrazioni competenti con le risorse umane, finanziarie e strumentali disponibili a legislazione vigente.

261. Al fine di contribuire al finanziamento delle esigenze connesse allo svolgimento degli eventi sportivi delle Paralimpiadi Milano-Cortina 2026, nonché all'accoglienza delle delegazioni ufficiali straniere che assisteranno agli eventi sportivi delle Olimpiadi e delle Paralimpiadi Milano-Cortina 2026, è istituito, nello stato di previsione del Ministero dell'economia e delle finanze, per il successivo trasferimento al bilancio autonomo della Presidenza del Consiglio dei ministri, un fondo con una dotazione di 0,5 milioni di euro per l'anno 2025 e di 50 milioni di euro per l'anno 2026. Al relativo riparto si provvede, entro novanta giorni dalla data di entrata in vigore della presente legge, con decreto del Presidente del Consiglio dei ministri, su proposta dell'Autorità politica delegata in materia di sport, di concerto con il Ministro dell'economia e delle finanze, sulla base delle esigenze rappresentate dalle amministrazioni coinvolte.

262. I premi erogati agli atleti dal Comitato olimpico nazionale italiano e dal Comitato italiano paralimpico per le medaglie ottenute nelle gare svolte in occasione dei Giochi olimpici e paralimpici invernali Milano Cortina 2026, non sono soggetti alle ritenute alla fonte di cui all'articolo 30 del decreto del Presidente della Repubblica 29 settembre 1973, n. 600. Le relative somme sono escluse dalla base imponibile del percipiente. Agli oneri derivanti dal presente comma, valutati in 1,5 milioni di euro per l'anno 2026, si provvede mediante corrispondente riduzione del Fondo di cui all'articolo 1, comma 200, della legge 23 dicembre 2014, n. 190, come rifinanziato ai sensi del comma 884 del presente articolo.

263. Per le finalità di cui all'articolo 1, comma 369, lettere a) e e), della legge 27 dicembre 2017, n. 205, al fine di garantire il diritto all'esercizio della pratica sportiva delle persone con disabilità, è autorizzata la spesa di 300.000 euro annui a decorrere dall'anno 2025, destinata all'incremento del contributo per la realizzazione dei progetti di integrazione di cui al comma 407 dell'articolo 1 della legge 28 dicembre 2015, n. 208, e per lo sviluppo dei medesimi progetti in tutto il territorio nazionale. Agli oneri derivanti dal presente comma, pari a 300.000 euro annui a decorrere dall'anno 2025, si provvede mediante corrispondente riduzione del Fondo di cui all'articolo 1, comma 369, della legge 27 dicembre 2017, n. 205.

264. Al fine di sostenere le attività di organizzazione, gestione, promozione e comunicazione dell'evento Special Olympics World Winter Games Torino 2025 tramite apposita convenzione da stipularsi tra il Ministero del turismo e la fondazione « Comitato organizzatore dei giochi mondiali invernali Special Olympics Torino 2025 », l'autorizzazione di spesa di cui all'articolo 1, comma 211, secondo periodo, della legge 30 dicembre 2023, n. 213, in favore della medesima fondazione è incrementata di 1 milione di euro per l'anno 2025.

265. Agli oneri derivanti dal comma 264 del presente articolo, pari a 1 milione di euro per l'anno 2025, si provvede mediante corrispondente riduzione del Fondo unico nazionale per il turismo di parte corrente, di cui all'articolo 1, comma 366, della legge 30 dicembre 2021, n. 234, come rifinanziato dalla presente legge.

266. La dotazione del fondo speciale di cui all'articolo 5 della legge 24 dicembre 1957, n. 1295, è incrementata di 50 milioni di euro per l'anno 2026 e di 40 milioni di euro per l'anno 2027.

267. Al fine di valorizzare e promuovere il territorio italiano e le singole regioni attraverso il ciclismo professionistico, alla Lega del ciclismo professionistico è attribuito un contributo di 2 milioni di euro per l'anno 2025 e di 2,5 milioni di euro per ciascuno degli anni 2026 e 2027, destinato, nel limite di spesa autorizzato ai sensi del presente comma, all'organizzazione di gare ciclistiche professionistiche di livello nazionale, su strada e in linea, inserite in un calendario annuale organizzato dalla medesima Lega del ciclismo professionistico.

268. Agli oneri derivanti dal comma 267, pari a 2 milioni di euro per l'anno 2025 e a 2,5 milioni di euro per ciascuno degli anni 2026 e 2027, si provvede mediante corrispondente riduzione del Fondo di cui all'articolo 1, comma 200, della legge 23 dicembre 2014, n. 190, come rifinanziato ai sensi del comma 884 del presente articolo.

269. Al fine di valorizzare e promuovere i territori delle regioni del Mezzogiorno d'Italia attraverso un circuito di gare di ciclismo professionistico, è istituito nello stato di previsione del Ministero dell'economia e delle finanze, per il successivo trasferimento al bilancio autonomo della Presidenza del Consiglio dei ministri, un fondo, con una dotazione di 100.000 euro per ciascuno degli anni 2025, 2026 e 2027, da destinare a favore della Lega del ciclismo professionistico per le regioni del Mezzogiorno d'Italia inserite a calendario in un circuito a tappe denominato « Grand Tour della Magna Grecia ». Entro novanta giorni dalla data di entrata in vigore della presente legge, con decreto del Ministro per lo sport e i giovani, di concerto con il Ministro dell'economia e delle finanze, previa intesa in sede di Conferenza permanente per i rapporti tra lo Stato, le regioni e le province autonome di Trento e di Bolzano, sono definite le modalità di erogazione del contributo di cui al presente comma, da destinare al sostegno dell'organizzazione di gare ciclistiche professionistiche, nonché le modalità di verifica e controllo dell'effettivo utilizzo da parte dei beneficiari per le finalità di cui al presente comma. Agli oneri derivanti dal presente comma, pari a 100.000 euro per ciascuno degli anni 2025, 2026 e 2027, si provvede mediante corrispondente riduzione del Fondo di cui all'articolo 1, comma 200, della legge 23 dicembre 2014, n. 190, come rifinanziato ai sensi del comma 884 del presente articolo.

270. Al fine di sostenere la genitorialità e le attività sportive e ricreative effettuate in periodi extra scolastici, nello stato di previsione del Ministero dell'economia e delle finanze è istituito, per il successivo trasferimento al bilancio autonomo della Presidenza del Consiglio dei ministri, Dipartimento per lo sport, il « Fondo Dote per la famiglia », con una dotazione di 30 milioni di euro per l'anno 2025, che costituisce limite di spesa, per la concessione alle associazioni e società sportive dilettantistiche iscritte nel Registro nazionale delle attività sportive dilettantistiche, istituito dall'articolo 4 del decreto legislativo 28 febbraio 2021, n. 39, e agli enti del Terzo settore iscritti nel Registro unico nazionale del Terzo settore, istituito dall'articolo 45 del codice del Terzo settore, di cui al decreto legislativo 3 luglio 2017, n. 117, di un contributo per le prestazioni erogate dai predetti soggetti in favore dei minori in possesso dei requisiti di cui al comma 271 del presente articolo.

271. Il contributo di cui al comma 270, la cui entità è stabilita con il decreto di cui al terzo periodo del presente comma, per ciascun figlio a carico di età compresa tra sei e quattordici anni, è attribuito ai soggetti di cui al predetto comma 270 a titolo di concorso al rimborso per le prestazioni sportive e ricreative erogate in favore delle famiglie con indicatore della situazione economica equivalente in corso di validità pari o inferiore a 15.000 euro. Il contributo è alternativo ad altri benefìci, contributi o sgravi fiscali concessi al nucleo familiare per le medesime prestazioni. Entro sessanta giorni dalla data di entrata in vigore della presente legge, con decreto del Presidente del Consiglio dei ministri o dell'Autorità politica delegata in materia di sport, di concerto con il Ministro dell'economia e delle finanze e con il Ministro del lavoro e delle politiche sociali, sono stabilite le modalità di attuazione del comma 270 e del presente comma, anche al fine di garantire il rispetto del limite di spesa di cui al medesimo comma 270. Per l'attuazione dei commi da 270 a 272 il Dipartimento per lo sport della Presidenza del Consiglio dei ministri si avvale della società Sport e salute Spa, senza nuovi o maggiori oneri a carico della finanza pubblica.

272. Agli oneri derivanti dai commi 270 e 271, pari a 30 milioni di euro per l'anno 2025, si provvede a valere su quota parte delle maggiori entrate derivanti dal comma 92.

273. Il livello del finanziamento del fabbisogno sanitario nazionale standard cui concorre lo Stato è incrementato di 1.302 milioni di euro per l'anno 2025, di 5.015,4 milioni di euro per l'anno 2026, di 5.734,4 milioni di euro per l'anno 2027, di 6.605,7 milioni di euro per l'anno 2028, di 7.667,7 milioni di euro per l'anno 2029 e di 8.840,7 milioni di euro annui a decorrere dall'anno 2030, anche per le finalità di cui ai commi da 121 a 123, da 128 a 131, da 300 a 302, 308, 312 e 313, 323, 326, 332, 336 e 337, da 350 a 353, 358 e 359, 365 e 366.

274. Una quota delle risorse incrementali di cui al comma 273, pari a 883 milioni di euro per l'anno 2028, a 1.945 milioni di euro per l'anno 2029 e a 3.117 milioni di euro annui a decorrere dall'anno 2030, è accantonata in vista dei rinnovi contrattuali relativi al periodo 2028-2030.

275. Una quota delle risorse incrementali di cui al comma 273, pari a 773,9 milioni di euro per l'anno 2026, a 340,9 milioni di euro per l'anno 2027 e a 379,2 milioni di euro annui a decorrere dall'anno 2028, è destinata all'incremento delle disponibilità per il perseguimento degli obiettivi sanitari di carattere prioritario e di rilevo nazionale di cui all'articolo 1, commi 34 e 34-bis, della legge 23 dicembre 1996, n. 662.

276. All'articolo 27, comma 5-ter, del decreto legislativo 6 maggio 2011, n. 68, le parole: « e 2024 » sono sostituite dalle seguenti: « , 2024 e 2025 ».

277. Il limite di spesa di cui all'articolo 1, comma 233, della legge 30 dicembre 2023, n. 213, è ulteriormente incrementato di 0,5 punti percentuali per l'anno 2025 e di 1 punto percentuale a decorrere dall'anno 2026.

278. Le risorse relative all'ulteriore incremento di cui al comma 277 sono anche destinate alle prestazioni di ricovero e ambulatoriali, erogate dalle strutture sanitarie private accreditate dotate di pronto soccorso e inserite nella rete dell'emergenza, conseguenti all'accesso in pronto soccorso, con codice di priorità rosso o arancio.

279. Nelle more della completa realizzazione delle reti territoriali, in coerenza con gli obiettivi della Missione 6 del PNRR e del regolamento di cui al decreto del Ministro della salute 23 maggio 2022, n. 77, e al fine di ridurre il fenomeno dell'attesa di ricovero nei reparti di pronto soccorso, il limite di spesa di cui al comma 277 del presente articolo è ulteriormente incrementato di 0,5 punti percentuali a decorrere dall'anno 2026 al fine di acquisire prestazioni ospedaliere afferenti ai reparti ospedalieri di medicina generale, di recupero e riabilitazione funzionale e di assistenza ai lungodegenti, dando priorità alle strutture immediatamente disponibili e in grado di assicurare maggiore ricettività nel singolo plesso.

280. Alla copertura degli oneri derivanti dal comma 277, pari a 61,5 milioni di euro per l'anno 2025 e a 123 milioni di euro annui a decorrere dall'anno 2026, si provvede a valere sulle risorse di cui all'articolo 1, comma 246, della legge 30 dicembre 2023, n. 213.

281. L'innovatività di un farmaco è valutata sulla base della tecnologia di produzione del suo principio attivo, del suo meccanismo d'azione, della modalità della sua somministrazione al paziente, della sua efficacia clinica e sicurezza, dei suoi effetti sulla qualità della vita nonché delle sue implicazioni sull'organizzazione dell'assistenza sanitaria.

282. Ai fini delle disposizioni di cui ai commi da 281 a 292, un farmaco si considera innovativo in funzione dei risultati di efficacia e sicurezza derivanti dal confronto con le alternative terapeutiche disponibili all'interno del prontuario farmaceutico nazionale prima della sua introduzione, in una definita indicazione terapeutica.

283. Le risorse del Fondo istituito ai sensi dell'articolo 1, comma 401, della legge 11 dicembre 2016, n. 232, sono finalizzate a favorire l'accesso a farmaci innovativi in specifiche indicazioni terapeutiche relative a malattie o condizioni patologiche gravi a medio-basso impatto epidemiologico secondo la procedura di cui al comma 285.

284. Le risorse del Fondo di cui al comma 283 non impiegate confluiscono nella quota di finanziamento del fabbisogno sanitario nazionale standard cui concorre lo Stato ai sensi dell'articolo 1, comma 392, della legge 11 dicembre 2016, n. 232. Ferme restando le risorse stanziate annualmente, l'eventuale eccedenza della spesa per l'acquisto di farmaci innovativi concorre al raggiungimento del tetto della spesa farmaceutica per acquisti diretti ai sensi dell'articolo 1, comma 406, della legge n. 232 del 2016. In caso di superamento del tetto della spesa farmaceutica per acquisti diretti, ai fini del ripiano della spesa eccedente per farmaci innovativi si applicano le disposizioni dell'articolo 1, comma 584, della legge 30 dicembre 2018, n. 145.

285. All'esito della valutazione condotta dalla Commissione scientifica ed economica dell'Agenzia italiana del farmaco (AIFA), sentiti i portatori di interesse e le associazioni di pazienti e cittadini, l'Agenzia stessa, con determinazione del presidente, su proposta del direttore tecnico-scientifico da adottare entro il 31 marzo 2025, definisce i criteri di valutazione per l'attribuzione dell'innovatività terapeutica che consente il finanziamento dell'accesso al rimborso da parte del Servizio sanitario nazionale con le risorse del Fondo di cui al comma 283.

286. Il requisito dell'innovatività terapeutica è attribuito a una specifica indicazione terapeutica nella quale il farmaco abbia dimostrato di essere in grado di determinare la guarigione, con particolare riguardo agli agenti antinfettivi per infezioni da germi multiresistenti, o abbia ridotto il rischio di complicazioni letali o potenzialmente letali, o abbia determinato il rallentamento della progressione della malattia, oppure quando l'effetto terapeutico del medicinale determina il miglioramento della qualità della vita dei pazienti relativamente alle dimensioni della capacità di movimento e di cura della persona. Nell'ambito di malattie rare e ultra-rare, il miglioramento della qualità della vita comprende anche le dimensioni del dolore e della capacità nello svolgimento delle attività abituali o lavorative. Il requisito dell'innovatività terapeutica ha una durata massima di trentasei mesi. Il presente comma non si applica agli antibiotici « reserve » e « listed » di cui al comma 289.

287. Il farmaco, nella rispettiva indicazione terapeutica innovativa, è soggetto a monitoraggio tramite registro AIFA. L'indicazione terapeutica innovativa coincide con i criteri di limitazione della rimborsabilità applicati tramite il registro di monitoraggio AIFA. Ogni indicazione terapeutica, la cui istanza di negoziazione della rimborsabilità e del prezzo presentata all'AIFA perviene oltre il decimo anno dalla data di prima attribuzione del requisito dell'innovatività alla specialità medicinale, non accede al finanziamento di cui al comma 283. L'AIFA non valuta la sussistenza del requisito dell'innovatività di cui al comma 286 in relazione alle indicazioni terapeutiche autorizzate di medicinali a base di principio attivo, o di combinazioni di princìpi attivi, che hanno perso la copertura brevettuale, o non hanno mai goduto di tale copertura. Il presente comma non si applica agli antibiotici « reserve » e « listed » di cui al comma 289.

288. A decorrere dal 1° gennaio 2025, i medicinali con requisito di innovatività condizionata vigente accedono al Fondo di cui al comma 283, per un importo comunque non superiore a 300 milioni di euro annui, se già soggetti a monitoraggio delle dispensazioni tramite registro di monitoraggio AIFA ovvero, in coerenza con quanto previsto dai commi 286 e 287, qualora la Commissione scientifica ed economica dell'AIFA valuti motivatamente l'istituzione del registro di monitoraggio. Per tali medicinali, il periodo di innovatività di trentasei mesi decorre dalla data di riconoscimento dell'innovatività condizionata.

289. A decorrere dal 1° gennaio 2025, le risorse del Fondo di cui al comma 283, per un importo non superiore a 100 milioni di euro annui, possono essere utilizzate anche in relazione agli agenti anti-infettivi per infezioni da germi multiresistenti già iscritti o inseriti successivamente a tale data nel prontuario farmaceutico nazionale e classificati come « reserve » secondo la nomenclatura « Access, Watch, Reserve (AWaRe) » dell'Organizzazione mondiale della sanità (OMS) ovvero attivi nei confronti di almeno un patogeno considerato prioritario dall'elenco « Bacterial Priority Pathogens List » dell'OMS, cosiddetti « listed ». I farmaci di cui al primo periodo sono soggetti a monitoraggio delle dispensazioni tramite registro di monitoraggio dell'AIFA e sono rimborsati dal Fondo di cui al comma 283 nel limite dell'importo previsto dal primo periodo del presente comma, pari a 100 milioni di euro annui, fino alla scadenza della copertura brevettuale o del periodo di protezione normativa dei dati.

290. Per effetto di quanto disposto dai commi 288 e 289, a decorrere dal 1° gennaio 2025 i farmaci innovativi accedono al Fondo di cui al comma 283 per un importo non superiore a 900 milioni di euro annui.

291. All'articolo 10, comma 2, del decreto-legge 13 settembre 2012, n. 158, convertito, con modificazioni, dalla legge 8 novembre 2012, n. 189, le parole: « a giudizio della Commissione consultiva tecnico-scientifica » sono sostituite dalle seguenti: « a giudizio della Commissione scientifica ed economica ».

292. All'articolo 1 della legge 30 dicembre 2018, n. 145, sono apportate le seguenti modificazioni:

a) al comma 577:

1) le parole: « e ai farmaci oncologici innovativi » sono soppresse;

2) le parole: « , rispettivamente, ai commi 400 e 401 » sono sostituite dalle seguenti: « al comma 401 »;

b) al comma 578:

1) le parole: « e ai farmaci oncologici innovativi » sono soppresse;

2) le parole: « , rispettivamente, ai commi 400 e 401 » sono sostituite dalle seguenti: « al comma 401 »;

c) al comma 584:

1) le parole: « dotazione di uno o di entrambi i fondi di cui all'articolo 1, commi 400 e 401 » sono sostituite dalle seguenti: « dotazione del Fondo di cui all'articolo 1, comma 401 »;

2) le parole: « titolare di AIC, rispettivamente, di farmaci innovativi e di farmaci oncologici innovativi » sono sostituite dalle seguenti: « titolare di AIC di farmaci innovativi »;

3) le parole: « ai sensi dell'articolo 1, comma 402, della legge 11 dicembre 2016, n. 232, » sono soppresse.

293. Al fine di valorizzare, nell'interesse pubblico, il contributo, le competenze e la capacità di impatto delle associazioni di pazienti, dei gruppi di associazioni di pazienti e delle loro federazioni, il Ministro della salute e l'AIFA, entro sessanta giorni dalla data di entrata in vigore della presente legge, definiscono, con propri regolamenti, i criteri per la partecipazione delle associazioni iscritte nel registro di cui al comma 294 ai principali processi decisionali in materia di salute, individuati dal medesimo Ministro della salute, e alle fasi di consultazione della Commissione scientifica ed economica dell'AIFA, nelle aree di coinvolgimento individuate dalla medesima AIFA. L'amministrazione destinataria dei pareri e delle osservazioni delle associazioni di cui al comma 294 è tenuta, all'esito del processo decisionale, a motivare in forma esplicita l'eventuale scostamento dalle proposte contenute nei contributi resi in sede consultiva dalle associazioni medesime. I regolamenti di cui al presente comma sono adottati, rispettivamente, ai sensi dell'articolo 17, comma 3, della legge 23 agosto 1988, n. 400, e con deliberazione del consiglio di amministrazione dell'AIFA.

294. Per l'attuazione del comma 293 è istituito il Registro unico delle associazioni della salute (RUAS), gestito dal Ministero della salute, consultabile in uno specifico sito internet, raggiungibile anche dal sito internet istituzionale del Ministero medesimo, in cui sono iscritte le associazioni per le finalità di cui ai commi da 293 a 296. Il RUAS è suddiviso in aree tematiche. Possono essere iscritte al RUAS, su richiesta da presentare al Ministero della salute, le associazioni che possiedono i seguenti requisiti:

a) sono costituite da almeno dieci anni;

b) sono iscritte nel Registro unico nazionale del Terzo settore, istituito dall'articolo 45 del codice del Terzo settore, di cui al decreto legislativo 3 luglio 2017, n. 117, o in un altro albo ufficialmente riconosciuto;

c) adottano l'approccio secondo le dimensioni di qualità previste dalla scheda 14 del Patto per la salute, di cui all'intesa del 18 dicembre 2019 sancita in sede di Conferenza permanente per i rapporti tra lo Stato, le regioni e le province autonome di Trento e di Bolzano (Rep. atti n. 209/CSR);

d) applicano i criteri di trasparenza e di rendicontazione previsti per l'attività di interesse pubblico;

e) rappresentano e promuovono, nell'ambito della propria attività, le istanze di cittadini, pazienti e caregiver in ambito sanitario.

295. Il Ministero della salute è tenuto a inserire un rappresentante delle associazioni iscritte al RUAS all'interno degli organismi costituiti presso il Ministero medesimo, quali comitati, tavoli di lavoro, osservatori e gruppi di lavoro, in base all'oggetto specifico e ai percorsi istituzionali specificamente attivi, individuati dallo stesso Ministero. Il coinvolgimento del rappresentante di cui al presente comma riguarda i provvedimenti, i piani e i programmi individuati dal Ministero della salute e tutte le fasi, dall'istruttoria all'adozione finale dell'atto, del provvedimento o della decisione, nonché i percorsi decisionali sui farmaci individuati dalla Commissione scientifica ed economica dell'AIFA. Il rappresentante di cui al presente comma è nominato dalle associazioni iscritte al RUAS che siano rilevanti e significative rispetto all'oggetto in discussione, con riferimento alla specifica patologia. Il rappresentante nominato sottoscrive una dichiarazione con la quale esclude l'esistenza di conflitti di interessi personali. Della nomina del rappresentante è data notizia mediante pubblicazione nel sito internet del RUAS di cui al comma 294. Il rappresentante non ha diritto a compensi, gettoni di presenza, rimborsi di spese o altri emolumenti comunque denominati.

296. Per la realizzazione del RUAS è autorizzata la spesa di 50.000 euro per l'anno 2025.

297. Agli oneri derivanti dal comma 296, pari a 50.000 euro per l'anno 2025, si provvede mediante corrispondente riduzione del Fondo di cui all'articolo 1, comma 200, della legge 23 dicembre 2014, n. 190, come rifinanziato ai sensi del comma 884 del presente articolo.

298. È istituito, senza nuovi o maggiori oneri a carico della finanza pubblica, presso l'Istituto superiore di sanità, a decorrere dal 1° gennaio 2025, il Registro unico nazionale delle Breast Unit, con l'obiettivo di raccogliere tutti i dati provenienti dalle Breast Unit nel territorio nazionale e garantire la centralizzazione e l'analisi dei dati relativi alla diagnosi, al trattamento e al follow-up del carcinoma mammario.

299. Le attività connesse all'istituzione, all'attivazione e al funzionamento del Registro di cui al comma 298 sono svolte in stretta sinergia e in coordinamento con le attività dell'Osservatorio per il monitoraggio e l'implementazione delle reti delle Breast Unit, istituito presso l'Agenzia nazionale per i servizi sanitari con deliberazione del direttore generale n. 290 del 29 maggio 2024.

300. Al fine di garantire al Servizio sanitario nazionale le risorse necessarie per provvedere alla progressiva attuazione dell'aggiornamento delle tariffe massime per la remunerazione delle prestazioni di riabilitazione ospedaliera e di lungodegenza erogate in post acuzie e dell'aggiornamento delle tariffe massime per la remunerazione delle prestazioni di assistenza ospedaliera per acuti erogate in regime di ricovero ordinario e diurno in attuazione dell'articolo 1, comma 280, della legge 30 dicembre 2021, n. 234, è autorizzata la spesa di 77 milioni di euro per l'anno 2025, destinata ai Diagnosis Related Groups (DRG) post acuzie e di 1.000 milioni di euro annui a decorrere dall'anno 2026, destinata rispettivamente per 350 milioni di euro ai DRG post acuzie e per 650 milioni di euro ai DRG per acuti.

301. Le risorse di cui al comma 300 costituiscono una assegnazione vincolata e sono, pertanto, utilizzabili solo per le finalità indicate nel medesimo comma 300.

302. Una quota del fabbisogno sanitario nazionale standard cui concorre lo Stato, pari a 50 milioni di euro annui a decorrere dall'anno 2025, è vincolata per consentire l'aggiornamento dei livelli essenziali di assistenza, ivi compresa la revisione delle tariffe massime nazionali delle relative prestazioni assistenziali, in attuazione dell'articolo 1, commi 558 e 559, della legge 28 dicembre 2015, n. 208.

303. Al fine di potenziare il monitoraggio della spesa e le modalità di valutazione delle performance dell'assistenza sanitaria resa dalle regioni e dalle province autonome di Trento e di Bolzano considerando il finanziamento regionale, il sistema di garanzia di cui all'articolo 9, comma 1, del decreto legislativo 18 febbraio 2000, n. 56, è integrato con indicatori relativi al monitoraggio e alla valutazione delle performance regionali e delle province autonome con riferimento ad aspetti gestionali, organizzativi, economici, contabili, finanziari e patrimoniali.

304. Entro sei mesi dalla data di entrata in vigore della presente legge, con decreto del Ministro della salute, di concerto con il Ministro dell'economia e finanza, sentita la Conferenza permanente per i rapporti tra lo Stato, le regioni e le province autonome di Trento e di Bolzano, è individuato un sistema di indicatori di performance dei servizi sanitari regionali, al fine di integrare il nuovo sistema di garanzia per il monitoraggio dell'assistenza sanitaria disciplinato dal decreto del Ministro della salute 12 marzo 2019, pubblicato nella Gazzetta Ufficiale n. 138 del 14 giugno 2019.

305. All'articolo 104 del decreto-legge 19 maggio 2020, n. 34, convertito, con modificazioni, dalla legge 17 luglio 2020, n. 77, dopo il comma 3-bis è inserito il seguente:

« 3-ter. Per i fini e con le modalità di cui al comma 3-bis, la dotazione del Fondo sanitario nazionale è incrementata di 1 milione di euro per ciascuno degli anni 2025, 2026 e 2027 ».

306. Agli oneri derivanti dal comma 305, pari a 1 milione di euro per ciascuno degli anni 2025, 2026 e 2027, si provvede mediante corrispondente riduzione del Fondo di cui all'articolo 1, comma 200, della legge 23 dicembre 2014, n. 190, come rifinanziato ai sensi del comma 884 del presente articolo.

307. All'articolo 1, comma 556, della legge 30 dicembre 2023, n. 213, recante istituzione del « Fondo per i test di Next-Generation Sequencing per la diagnosi delle malattie rare », dopo le parole: « 1 milione di euro per il 2024 » sono inserite le seguenti: « e 1 milione di euro per l'anno 2025 ». Agli oneri derivanti dal presente comma, pari a 1 milione di euro per l'anno 2025, si provvede mediante corrispondente riduzione del Fondo di cui all'articolo 1, comma 200, della legge 23 dicembre 2014, n. 190, come rifinanziato ai sensi del comma 884 del presente articolo.

308. Per l'attuazione delle misure del piano pandemico nazionale per il periodo 2025- 2029 è autorizzata la spesa di 50 milioni di euro per l'anno 2025, di 150 milioni di euro per l'anno 2026 e di 300 milioni di euro annui a decorrere dall'anno 2027.

309. Ai fini dell'attuazione della legge 22 marzo 2019, n. 29, l'autorizzazione di spesa di cui all'articolo 1, comma 463, della legge 27 dicembre 2019, n. 160, è incrementata di 0,5 milioni di euro per ciascuno degli anni 2025 e 2026 e di 1 milione di euro per l'anno 2027.

310. Agli oneri derivanti dal comma 309, pari a 0,5 milioni di euro per ciascuno degli anni 2025 e 2026 e a 1 milione di euro per l'anno 2027, si provvede mediante corrispondente riduzione del Fondo di cui all'articolo 1, comma 200, della legge 23 dicembre 2014, n. 190, come rifinanziato ai sensi del comma 884 del presente articolo.

311. Al fine di sviluppare i servizi offerti dal poliambulatorio « Montezemolo », ente sanitario con personalità giuridica di diritto pubblico, la Corte dei conti è autorizzata a incrementare le prestazioni rese al Servizio sanitario nazionale, fino all'importo massimo di 5 milioni di euro annui, nell'ambito delle risorse di cui all'articolo 20, comma 32, della legge 30 dicembre 2023, n. 213 e, comunque, senza nuovi o maggiori oneri per la finanza pubblica.

312. Al fine di rispondere alle esigenze di riduzione delle liste d'attesa per il trapianto di organi e tessuti e per l'acquisto di dispositivi medici per la perfusione, conservazione, trasporto e gestione di organi e tessuti per trapianto, è autorizzata la spesa di 10 milioni di euro annui a decorrere dall'anno 2025. Ai finanziamenti concessi per le finalità di cui al primo periodo accedono tutte le regioni, in deroga alle disposizioni legislative che stabiliscono per le autonomie speciali il concorso regionale e provinciale al finanziamento sanitario corrente.

313. Entro tre mesi dalla data di entrata in vigore della presente legge, con decreto del Ministro della salute, di concerto con il Ministro dell'economia e delle finanze, previa intesa in sede di Conferenza permanente per i rapporti tra lo Stato, le regioni e le province autonome di Trento e di Bolzano, sono definite le modalità di utilizzo e di riparto tra le regioni delle risorse di cui al comma 312.

314. Al fine di incentivare e sostenere le attività di assistenza e di ricerca clinica, anche mediante lo sviluppo e l'attuazione di progetti di ricerca innovativi, con particolare riferimento all'acquisizione e all'utilizzo di apparecchiature biomediche di ultima generazione, è autorizzata la spesa di 4 milioni di euro per l'anno 2025 e di 3 milioni di euro per ciascuno degli anni 2026 e 2027, destinata ai policlinici universitari non costituiti in azienda, che operano nel perseguimento di attività istituzionali non in regime d'impresa.

315. Con decreto del Ministro della salute, da adottare di concerto con il Ministro dell'economia e delle finanze entro sessanta giorni dalla data di entrata in vigore della presente legge, sono stabilite le modalità di attuazione del comma 314.

316. Agli oneri derivanti dall'attuazione dei commi 314 e 315, pari a 4 milioni di euro per l'anno 2025 e a 3 milioni di euro per ciascuno degli anni 2026 e 2027, si provvede mediante corrispondente riduzione del Fondo di cui all'articolo 1, comma 200, della legge 23 dicembre 2014, n. 190, come rifinanziato ai sensi del comma 884 del presente articolo.

317. Al fine di potenziare il monitoraggio dell'appropriatezza prescrittiva nonché garantire la completa alimentazione del fascicolo sanitario elettronico, tutte le prescrizioni a carico del Servizio sanitario nazionale, dei servizi territoriali per l'assistenza sanitaria al personale navigante, marittimo e dell'aviazione civile (SASN) e dei cittadini sono effettuate nel formato elettronico di cui al decreto del Ministero dell'economia e delle finanze 2 novembre 2011, pubblicato nella Gazzetta Ufficiale n. 264 del 12 novembre 2011, e al decreto del Ministero dell'economia e delle finanze 30 dicembre 2020, pubblicato nella Gazzetta Ufficiale n. 11 del 15 gennaio 2021.

318. Le regioni, nell'esercizio delle proprie funzioni di vigilanza e controllo, assicurano, per mezzo delle autorità competenti per territorio, l'attuazione del comma 317.

319. Per il conseguimento del livello di appropriatezza nell'erogazione e nell'organizzazione dei servizi di assistenza ospedaliera e specialistica, è fatto obbligo a ciascuna regione e a ciascuna delle province autonome di Trento e di Bolzano di sottoscrivere accordi bilaterali, per il governo della mobilità sanitaria interregionale e delle correlate risorse finanziarie, con tutte le altre regioni e province autonome con le quali la mobilità sanitaria attiva o passiva assuma dimensioni che determinano fenomeni distorsivi nell'erogazione dell'assistenza sanitaria.

320. Il Ministero della salute, per il tramite del Comitato di cui all'articolo 9 dell'intesa 23 marzo 2005 sancita in sede di Conferenza permanente per i rapporti tra lo Stato, le regioni e le province autonome di Trento e di Bolzano, pubblicata nel supplemento ordinario n. 83 alla Gazzetta Ufficiale n. 105 del 7 maggio 2005, stabilisce, entro il 28 febbraio 2025, il modello da utilizzare per gli accordi bilaterali obbligatori di cui al comma 319 del presente articolo. Le regioni e le province autonome confinanti, al fine di regolare i fenomeni della mobilità apparente e di confine, sottoscrivono in ogni caso gli accordi. Le regioni e le province autonome anche non confinanti che registrino scambi di mobilità in entrata o in uscita per prestazioni a bassa complessità, definite come tali dal Ministero della salute, sono obbligate a sottoscrivere accordi tra loro. Le regioni e le province autonome che complessivamente registrano una mobilità passiva pari almeno al 20 per cento del fabbisogno sanitario standard annualmente assegnato sottoscrivono accordi con le corrispondenti regioni e province autonome, anche non confinanti, che registrano specularmente una mobilità attiva; le regioni in mobilità, ai fini dell'adempimento, sono obbligate a sottoscrivere tali accordi. Per l'anno 2025, gli accordi sono sottoscritti entro il 30 aprile 2025. Gli accordi hanno una validità di almeno due anni e, a regime, devono essere rinnovati entro il 30 aprile del primo anno successivo a quello di validità dell'accordo precedente.

321. All'articolo 1, comma 492, della legge 30 dicembre 2020, n. 178, le parole: « di cui all'articolo 1, comma 576, della legge 28 dicembre 2015, n. 208, » sono soppresse. Ai fini della verifica degli adempimenti per l'accesso al finanziamento integrativo del Servizio sanitario nazionale di cui al predetto articolo 1, comma 492, della legge n. 178 del 2020, gli accordi bilaterali cui tale comma fa riferimento sono quelli di cui al comma 319 del presente articolo.

322. Al fine di salvaguardare l'appropriatezza delle cure e l'equità nell'accesso alle stesse, all'articolo 15, comma 17, secondo periodo, del decreto-legge 6 luglio 2012, n. 95, convertito, con modificazioni, dalla legge 7 agosto 2012, n. 135, le parole da: « , fatto salvo quanto specificamente previsto » fino alla fine del periodo sono sostituite dalle seguenti: « . Qualora le regioni si avvalgano della deroga di cui al secondo periodo, le medesime regioni sottopongono al Tavolo di verifica degli adempimenti la programmazione annuale previsionale, nella quale è data evidenza dell'impatto derivante dall'incremento delle tariffe oltre il massimo e del rispetto dell'equilibrio economico-finanziario del servizio sanitario regionale. Per le regioni che hanno sottoscritto l'accordo di cui all'articolo 1, comma 180, della legge 30 dicembre 2004, n. 311, la valutazione è effettuata nell'ambito delle modalità attuative previste dall'accordo stesso. Le regioni che si sono avvalse della deroga di cui al secondo periodo sottopongono al Tavolo di verifica degli adempimenti, anche nell'ambito dell'esame dell'equilibrio di gestione del servizio sanitario regionale, la rendicontazione annuale che dia evidenza dell'impatto derivante dall'incremento delle tariffe oltre il massimo. Nel caso in cui, nell'ambito delle singole annualità, siano state applicate tariffe maggiorate rispetto al valore massimo nazionale e non si verifichi l'equilibrio di bilancio del servizio sanitario regionale, le regioni, nell'esercizio finanziario successivo, pongono in essere i necessari interventi di recupero. Alle medesime regioni è preclusa la facoltà di avvalersi della deroga di cui al secondo periodo nell'esercizio successivo a quello in cui è stato verificato il mancato raggiungimento dell'equilibrio di bilancio. Gli accordi contrattuali di cui all'articolo 8-quinquies del decreto legislativo 30 dicembre 1992, n. 502, tengono conto di tali circostanze ».

323. Ai fini del riconoscimento delle particolari condizioni di lavoro svolto dal personale della dirigenza medica e dal personale del comparto sanità, dipendente delle aziende e degli enti del Servizio sanitario nazionale e operante nei servizi di pronto soccorso, i limiti di spesa annui lordi previsti dall'articolo 1, comma 293, della legge 30 dicembre 2021, n. 234, per la definizione della specifica indennità ivi indicata, come incrementati dall'articolo 1, comma 526, della legge 29 dicembre 2022, n. 197, sono ulteriormente incrementati, con decorrenza dal 1° gennaio 2025, di 50 milioni di euro complessivi, di cui 15 milioni di euro per la dirigenza medica e 35 milioni di euro per il personale del comparto sanità, e, con decorrenza dal 1° gennaio 2026, di ulteriori 50 milioni di euro complessivi, di cui 15 milioni di euro per la dirigenza medica e 35 milioni di euro per il personale del comparto sanità.

324. Fermo restando quanto previsto dall'articolo 11, comma 6, del decreto-legge 31 maggio 2010, n. 78, convertito, con modificazioni, dalla legge 30 luglio 2010, n. 122, relativamente alla quota minima spettante ai farmacisti, a decorrere dall'anno 2025 le quote di spettanza sul prezzo di vendita al pubblico delle specialità medicinali appartenenti alla classe di cui all'articolo 8, comma 10, lettera a), della legge 24 dicembre 1993, n. 537, sono fissate per le aziende farmaceutiche e per i grossisti, rispettivamente, nella percentuale del 66 per cento e del 3,65 per cento.

325. La maggiorazione dello 0,65 per cento spettante ai grossisti ai sensi del comma 324, rispetto a quanto stabilito dall'articolo 11, comma 6, del decreto-legge 31 maggio 2010, n. 78, convertito, con modificazioni, dalla legge 30 luglio 2010, n. 122, è da intendersi quale quota non contendibile e non cedibile a titolo di sconto ad alcun soggetto appartenente alla filiera del farmaco.

326. Per gli anni 2026 e 2027 è attribuita a favore delle aziende farmaceutiche una quota di 0,05 euro per ogni confezione di farmaco appartenente alla classe di cui all'articolo 8, comma 10, lettera a), della legge 24 dicembre 1993, n. 537, avente prezzo al pubblico fino a 10 euro e distribuito alle farmacie territoriali, nel limite di 50 milioni di euro per ciascuno degli anni 2026 e 2027.

327. Con decreto del Ministro della salute, di concerto con il Ministro dell'economia e delle finanze, da adottare entro trenta giorni dalla data di entrata in vigore della presente legge, sono stabiliti i termini, le condizioni e le modalità per il riconoscimento della quota di cui al comma 326.

328. All'articolo 1 della legge 27 dicembre 2017, n. 205, sono apportate le seguenti modificazioni:

a) al comma 406-bis:

1) al secondo periodo, le parole: « nell'anno 2024 » sono sostituite dalle seguenti: « negli anni 2024 e 2025 »;

2) il terzo periodo è sostituito dal seguente: « Entro il 30 settembre 2025, il Comitato paritetico e il Tavolo tecnico di cui al comma 405 valutano gli esiti complessivi della sperimentazione ai fini della rendicontazione delle spese e dell'eventuale stabilizzazione dei nuovi servizi erogati dalle farmacie nell'ambito delle attività di cui al decreto legislativo 3 ottobre 2009, n. 153 »;

b) al comma 406-ter, le parole: « per ciascuno degli anni 2021, 2022 e 2024 » sono sostituite dalle seguenti: « per ciascuno degli anni 2021, 2022, 2024 e 2025 ».

329. In attuazione di quanto previsto dall'articolo 3-bis, comma 1, del decreto-legge 10 maggio 2023, n. 51, convertito, con modificazioni, dalla legge 3 luglio 2023, n. 87, a decorrere dal 1° gennaio 2025 è progressivamente attuato un nuovo sistema di governo del settore dei dispositivi medici.

330. Al fine di perseguire l'uso efficiente e appropriato della tecnologia dei dispositivi medici nell'ambito delle attività assistenziali del Servizio sanitario nazionale e ai fini della riconduzione della spesa nei limiti del tetto stabilito dall'articolo 9-ter, comma 1, lettera b), del decreto-legge 19 giugno 2015, n. 78, convertito, con modificazioni, dalla legge 6 agosto 2015, n. 125:

a) il Ministero della salute, in attuazione di quanto disposto dall'articolo 22, commi 1 e 2, del decreto legislativo 5 agosto 2022, n. 137, e dall'articolo 18, comma 1, del decreto legislativo 5 agosto 2022, n. 138, adotta il Programma nazionale di Health technology assessment (HTA) entro il 30 giugno 2025 ai fini della sua entrata in vigore dal 1° gennaio 2026 e ne cura l'aggiornamento triennale. L'attuazione del Programma nazionale di HTA da parte delle singole regioni costituisce adempimento ai fini dell'accesso alla quota premiale del finanziamento del Servizio sanitario nazionale, da verificare da parte del Comitato paritetico permanente per la verifica dell'erogazione dei livelli essenziali di assistenza, con il supporto della Cabina di regia per l'HTA e dell'Osservatorio di cui alla lettera d) del presente comma;

b) la Direzione generale dei dispositivi medici e del farmaco del Ministero della salute, con il coinvolgimento delle regioni e delle province autonome di Trento e di Bolzano e il supporto del settore produttivo dei dispositivi medici, elabora la nuova classificazione nazionale dei dispositivi medici, in sostituzione di quella prevista dal decreto del Ministro della salute 20 febbraio 2007, pubblicato nel supplemento ordinario alla Gazzetta Ufficiale n. 63 del 16 marzo 2007, e la relativa trascodifica rispetto al citato decreto del Ministro della salute 20 febbraio 2007 e ai suoi successivi aggiornamenti. Nella nuova classificazione dei dispositivi medici il Ministero della salute persegue, in particolare, le seguenti finalità: analiticità dell'individuazione e della descrizione del dispositivo medico, univocità dell'individuazione del dispositivo medico, previsione di aggiornamento annuale della classificazione;

c) il Ministro della salute, con proprio decreto, previo accordo in sede di Conferenza permanente per i rapporti tra lo Stato, le regioni e le province autonome di Trento e di Bolzano, adotta entro il 30 giugno 2025 la nuova classificazione nazionale dei dispositivi medici, che entra in vigore dal 1° gennaio 2026;

d) l'Osservatorio nazionale sui prezzi dei dispositivi medici, istituito presso il Ministero della salute ai sensi dell'articolo 9-ter, comma 7, del decreto-legge 19 giugno 2015, n. 78, convertito, con modificazioni, dalla legge 6 agosto 2015, n. 125, è ridenominato Osservatorio nazionale sui dispositivi medici e, a decorrere dal 1° gennaio 2026, anche con il supporto della Cabina di regia per l'HTA, verifica la coerenza dei prezzi posti a base d'asta rispetto ai prezzi di riferimento definiti dall'Autorità nazionale anticorruzione (ANAC) e rispetto ai prezzi unitari disponibili nel flusso dei consumi del nuovo sistema informativo sanitario e ne pubblica mensilmente le risultanze in apposita sezione del sito internet istituzionale del Ministero della salute dedicata ai dispositivi medici. A decorrere dalla medesima data, l'Osservatorio effettua altresì il monitoraggio dei prezzi effettivi di acquisizione dei dispositivi medici da parte delle stazioni appaltanti, sulla base delle informazioni fornite dall'ANAC, e le pubblica mensilmente nell'apposita sezione del sito internet istituzionale del Ministero della salute dedicata ai dispositivi medici. L'Osservatorio cura e monitora la progressiva attuazione del Programma nazionale di HTA, con il supporto della Cabina di regia per l'HTA.

331. Il Ministero della salute trasmette annualmente a ciascuna regione le risultanze relative al monitoraggio svolto dall'Osservatorio nazionale sui dispositivi medici elaborando un indicatore sintetico dello stato di attuazione del Programma nazionale di HTA e impartendo prescrizioni, ove necessario. Le regioni, anche ai fini della verifica dell'adempimento, elaborano annualmente una relazione relativa al proprio sistema di governo del settore dei dispositivi medici e assegnano il budget aziendale per i dispositivi medici agli enti del servizio sanitario regionale ai fini del rispetto del relativo tetto di spesa regionale. Il rispetto del budget aziendale per i dispositivi medici costituisce elemento di valutazione dei direttori generali degli enti del servizio sanitario regionale e dei direttori di strutture aziendali.

332. All'articolo 12, comma 2, della legge 15 marzo 2010, n. 38, è aggiunto, in fine, il seguente periodo: « A decorrere dall'anno 2025, l'importo di cui al primo periodo è ulteriormente incrementato di 10 milioni di euro annui ».

333. Al fine di consentire la prosecuzione delle attività della Rete italiana screening polmonare, volte ad una migliore presa in carico del paziente oncologico, l'autorizzazione di spesa di cui all'articolo 34, comma 10-sexies, del decreto-legge 25 maggio 2021, n. 73, convertito, con modificazioni, dalla legge 23 luglio 2021, n. 106, è incrementata di 0,2 milioni di euro per l'anno 2025, di 0,4 milioni di euro per l'anno 2026 e di 0,6 milioni di euro per l'anno 2027.

334. Con decreto del Ministro della salute, di concerto con il Ministro dell'economia e delle finanze, da adottare secondo le modalità di cui al comma 10-septies dell'articolo 34 del decreto-legge 25 maggio 2021, n. 73, convertito, con modificazioni, dalla legge 23 luglio 2021, n. 106, sono definiti i criteri e le modalità per il riparto delle risorse di cui comma 333, anche al fine del rispetto del limite di spesa autorizzato ai sensi del medesimo comma 333.

335. Agli oneri derivanti dal comma 333, pari a 0,2 milioni di euro per l'anno 2025, a 0,4 milioni di euro per l'anno 2026 e a 0,6 milioni di euro per l'anno 2027, si provvede mediante corrispondente riduzione del Fondo di cui all'articolo 1, comma 200, della legge 23 dicembre 2014, n. 190, come rifinanziato ai sensi del comma 884 del presente articolo.

336. All'articolo 39 del decreto legislativo 17 agosto 1999, n. 368, dopo il comma 3 è inserito il seguente:

« 3-bis. A decorrere dall'anno accademico 2025-2026, la parte fissa del trattamento economico è aumentata di una percentuale pari al 5 per cento per tutte le specializzazioni e la parte variabile del medesimo trattamento è aumentata di una percentuale pari al 50 per cento per le seguenti specializzazioni: anatomia patologica, anestesia rianimazione, terapia intensiva e del dolore, audiologia e foniatria, chirurgia generale, chirurgia toracica, farmacologia e tossicologia clinica, genetica medica, geriatria, igiene e medicina preventiva, malattie infettive e tropicali, medicina di comunità e delle cure primarie, medicina d'emergenza-urgenza, medicina e cure palliative, medicina interna, medicina nucleare, microbiologia e virologia, nefrologia, patologia clinica e biochimica clinica, radioterapia, statistica sanitaria e biometria ».

337. Per le finalità di cui all'articolo 39, comma 3-bis, del decreto legislativo 17 agosto 1999, n. 368, introdotto dal comma 336 del presente articolo, è autorizzata l'ulteriore spesa di 120 milioni di euro annui a decorrere dall'anno 2026.

338. All'articolo 12 del decreto-legge 30 marzo 2023, n. 34, convertito, con modificazioni, dalla legge 26 maggio 2023, n. 56, sono apportate le seguenti modificazioni:

a) al comma 2, le parole: « 31 dicembre 2025 » sono sostituite dalle seguenti: « 31 dicembre 2026 », le parole: « dall'articolo 11, comma 1, del decreto-legge 30 aprile 2019, n. 35, convertito, con modificazioni, dalla legge 25 giugno 2019, n. 60 » sono sostituite dalle seguenti: « dalla disciplina vigente in materia di spesa di personale degli enti del Servizio sanitario nazionale » e dopo le parole: « presso i servizi sanitari del Servizio sanitario nazionale » sono inserite le seguenti: « o delle strutture sanitarie private o libero-professionali »;

b) al comma 3, dopo le parole: « per tale attività » sono inserite le seguenti: « , svolta presso le strutture del Servizio sanitario nazionale, ».

339. Dopo il comma 1 dell'articolo 8 della legge 29 dicembre 2000, n. 401, sono aggiunti i seguenti:

« 1-bis. A decorrere dall'anno accademico 2024-2025, agli specializzandi di cui al comma 1 è corrisposta, per tutta la durata legale del corso, una borsa di studio di importo pari a 4.773 euro lordi annui. La borsa di studio è corrisposta mensilmente dalle università presso cui operano le scuole di specializzazione. Alla ripartizione e all'assegnazione a favore delle università delle risorse previste per il finanziamento della formazione degli specialisti di cui al comma 1 per l'anno accademico di riferimento si provvede con decreto del Presidente del Consiglio dei ministri, su proposta del Ministro dell'università e della ricerca, di concerto con il Ministro della salute e con il Ministro dell'economia e delle finanze.

1-ter. L'articolo 2-bis del decreto-legge 29 marzo 2016, n. 42, convertito, con modificazioni, dalla legge 26 maggio 2016, n. 89, è abrogato ».

340. Per le finalità di cui al comma 339, il finanziamento sanitario corrente è incrementato di 30 milioni di euro per l'anno 2025 e sono vincolati, nell'ambito del medesimo finanziamento sanitario corrente, 30 milioni di euro annui a decorrere dall'anno 2026.

341. A quota parte degli oneri derivanti dal comma 340, pari a 30 milioni di euro per l'anno 2025, si provvede mediante corrispondente riduzione del Fondo per interventi strutturali di politica economica, di cui all'articolo 10, comma 5, del decreto-legge 29 novembre 2004, n. 282, convertito, con modificazioni, dalla legge 27 dicembre 2004, n. 307.

342. Al fine di concorrere alla riduzione progressiva delle liste di attesa, al comma 548-bis dell'articolo 1 della legge 30 dicembre 2018, n. 145, sono apportate le seguenti modificazioni:

a) al primo periodo, le parole: « fino al 31 dicembre 2026 » sono sostituite dalle seguenti: « fino al 31 dicembre 2027 »;

b) dopo il terzo periodo sono inseriti i seguenti: « Le aziende e gli enti del Servizio sanitario nazionale, nonché le strutture sanitarie private accreditate, le cui unità operative non appartengono alla rete formativa per la disciplina oggetto di concorso, possono procedere alle assunzioni ai sensi del presente comma previa certificazione della sussistenza degli standard generali e specifici richiesti per l'accreditamento delle strutture facenti parte delle reti formative in base alla normativa vigente. La certificazione è rilasciata, entro novanta giorni dalla richiesta, per ciascuna procedura concorsuale, con decreto del Ministero della salute, di concerto con il Ministero dell'università e della ricerca. Entro i successivi trenta giorni, il Ministero dell'università e della ricerca adotta il provvedimento di inserimento nelle reti formative delle strutture ».

343. Al fine di garantire e implementare la presenza, negli istituti penitenziari, di professionalità psicologiche esperte per la prevenzione e il contrasto dei reati sessuali, di maltrattamenti su familiari e conviventi e di atti persecutori, nonché per il trattamento intensificato cognitivo-comportamentale nei confronti degli autori di reati contro le donne, è autorizzata la spesa di 3 milioni di euro annui a decorrere dall'anno 2025.

344. All'articolo 1-quater, comma 3, quinto periodo, del decreto-legge 30 dicembre 2021, n. 228, convertito, con modificazioni, dalla legge 25 febbraio 2022, n. 15, le parole: « e di 8 milioni di euro annui a decorrere dall'anno 2024 » sono sostituite dalle seguenti: « , di 8 milioni di euro per l'anno 2024, di 9,5 milioni di euro per l'anno 2025, di 8,5 milioni di euro per l'anno 2026, di 9 milioni di euro per l'anno 2027 e di 8 milioni di euro annui a decorrere dall'anno 2028 ». Agli oneri derivanti dal presente comma, pari a 1,5 milioni di euro per l'anno 2025, a 0,5 milioni di euro per l'anno 2026 e a 1 milione di euro per l'anno 2027, si provvede a valere sul livello di finanziamento del fabbisogno sanitario nazionale standard cui concorre lo Stato, che è incrementato in pari misura mediante corrispondente riduzione del Fondo di cui all'articolo 1, comma 200, della legge 23 dicembre 2014, n. 190, come rifinanziato ai sensi del comma 884 del presente articolo.

345. Per l'attivazione, in via sperimentale, di presìdi territoriali di esperti psicologi a supporto delle istituzioni scolastiche, finalizzati a fornire il servizio di sostegno psicologico di cui all'articolo 4-bis della legge 29 maggio 2017, n. 71, e coerentemente con le finalità del protocollo d'intesa del 19 marzo 2024 tra il Ministero dell'istruzione e del merito e il Consiglio nazionale dell'ordine degli psicologi, nello stato di previsione del Ministero dell'istruzione e del merito è istituito il Fondo per il servizio di sostegno psicologico in favore degli studenti, con una dotazione di 10 milioni di euro per l'anno 2025 e di 18,5 milioni di euro annui a decorrere dall'anno 2026, che costituisce limite di spesa.

346. Con decreto del Ministro dell'istruzione e del merito, di concerto con il Ministro dell'economia e delle finanze, sentiti il Ministro della salute e il Consiglio nazionale dell'ordine degli psicologi, da adottare entro novanta giorni dalla data di entrata in vigore della presente legge, previa intesa in sede di Conferenza unificata di cui all'articolo 8 del decreto legislativo 28 agosto 1997, n. 281, anche al fine di assicurare il rispetto del limite di spesa di cui al comma 345 nonché l'assenza di oneri a carico del Servizio sanitario nazionale per le attività di cui al comma 345 e al presente comma, sono individuate le modalità di erogazione del servizio di sostegno psicologico di cui al medesimo comma 345 in raccordo con la rete dei servizi socio-sanitari e assistenziali territoriali, al fine di individuare le situazioni familiari, personali o di contesto che possono recare disagio allo studente. Il decreto di cui al primo periodo stabilisce, inoltre, anche al fine del rispetto del limite di spesa previsto dal comma 345, i criteri di utilizzo del Fondo di cui al comma 345, finalizzati all'assistenza psicologica, psicoterapeutica e di counseling nell'ambito degli istituti scolastici di ogni ordine e grado, anche in relazione al contrasto della povertà educativa e dell'abbandono scolastico, al supporto alle attività di orientamento, alla prevenzione del disagio psicologico, alle difficoltà relazionali emergenti nonché all'avviamento di percorsi di educazione all'affettività e all'acquisizione delle competenze trasversali personali per la vita e al riconoscimento dell'attività prestata dagli esperti psicologi.

347. All'onere derivante dai commi 345 e 346, pari a 10 milioni di euro per l'anno 2025 e a 18,5 milioni di euro annui a decorrere dall'anno 2026, si provvede mediante corrispondente riduzione del Fondo di cui all'articolo 1, comma 200, della legge 23 dicembre 2014, n. 190, come rifinanziato ai sensi del comma 884 del presente articolo.

348. Per il supporto psicologico nell'ambito dell'assistenza onco-ematologica pediatrica erogata dalle strutture sanitarie ospedaliere pubbliche è autorizzata l'assunzione di psicologi a tempo indeterminato nel complessivo limite di spesa di 0,5 milioni di euro annui a decorrere dall'anno 2025.

349. Con decreto del Ministro della salute, di concerto con il Ministro dell'economia e delle finanze, sentita la Conferenza permanente per i rapporti tra lo Stato, le regioni e le province autonome di Trento e di Bolzano, è ripartito l'importo complessivo di cui al comma 348 tra le regioni, in base ai criteri individuati con il medesimo decreto, tenendo conto anche dei posti letto di onco-ematologia pediatrica di ciascuna regione. Conseguentemente il livello del finanziamento del fabbisogno sanitario nazionale standard cui concorre lo Stato è incrementato di 0,5 milioni di euro annui a decorrere dal 2025.

350. Allo scopo di valorizzare le caratteristiche peculiari e specifiche della dirigenza medica e veterinaria dipendente delle aziende e degli enti del Servizio sanitario nazionale, nell'ambito della contrattazione collettiva nazionale dell'area sanità i vigenti importi dell'indennità di specificità medico-veterinaria di cui all'articolo 65 del contratto collettivo nazionale di lavoro della predetta area, riferito al triennio 2019-2021, stipulato il 23 gennaio 2024, pubblicato per comunicato nella Gazzetta Ufficiale n. 59 dell'11 marzo 2024, sono incrementati nei limiti degli importi complessivi lordi di 50 milioni di euro per l'anno 2025 e di 327 milioni di euro annui a decorrere dall'anno 2026.

351. Allo scopo di valorizzare le caratteristiche peculiari e specifiche della dirigenza sanitaria non medica dipendente delle aziende e degli enti del Servizio sanitario nazionale, nell'ambito della contrattazione collettiva nazionale dell'area sanità il vigente importo dell'indennità di specificità sanitaria di cui all'articolo 66 del contratto collettivo nazionale di lavoro della predetta area, riferito al triennio 2019-2021, stipulato il 23 gennaio 2024, pubblicato per comunicato nella Gazzetta Ufficiale n. 59 dell'11 marzo 2024, è incrementato nei limiti dell'importo complessivo annuo lordo di 5,5 milioni di euro a decorrere dall'anno 2025.

352. Ai fini del riconoscimento e della valorizzazione delle competenze degli infermieri dipendenti delle aziende e degli enti del Servizio sanitario nazionale e delle specifiche attività da essi svolte, nell'ambito della contrattazione collettiva nazionale relativa al personale del comparto sanità gli importi dell'indennità di specificità infermieristica di cui all'articolo 104 del contratto collettivo nazionale di lavoro relativo al personale del predetto comparto, riferito al triennio 2019-2021, stipulato il 2 novembre 2022, pubblicato per comunicato nel supplemento ordinario n. 5 alla Gazzetta Ufficiale n. 19 del 24 gennaio 2023, sono incrementati nei limiti degli importi complessivi lordi di 35 milioni di euro per l'anno 2025 e di 285 milioni di euro annui a decorrere dall'anno 2026.

353. Al fine di valorizzare l'apporto delle competenze e dello specifico ruolo dei dipendenti delle aziende e degli enti del Servizio sanitario nazionale appartenenti alle professioni sanitarie della riabilitazione, della prevenzione, tecnico-sanitarie e di ostetrica, alla professione di assistente sociale nonché agli operatori socio-sanitari nelle attività direttamente finalizzate alla tutela del malato e alla promozione della salute, nell'ambito della contrattazione collettiva nazionale relativa al personale del comparto sanità gli importi dell'indennità di tutela del malato e per la promozione della salute di cui all'articolo 105 del contratto collettivo nazionale di lavoro relativo al personale del predetto comparto, riferito al triennio 2019-2021, stipulato il 2 novembre 2022, pubblicato per comunicato nel supplemento ordinario n. 5 alla Gazzetta Ufficiale n. 19 del 24 gennaio 2023, sono incrementati nei limiti degli importi complessivi lordi di 15 milioni di euro per l'anno 2025 e di 150 milioni di euro annui a decorrere dall'anno 2026.

354. I compensi per lavoro straordinario di cui all'articolo 47 del contratto collettivo nazionale di lavoro del comparto sanità relativo al triennio 2019-2021, citato al comma 353 del presente articolo, erogati agli infermieri dipendenti dalle aziende e dagli enti del Servizio sanitario nazionale, sono assoggettati a un'imposta sostitutiva dell'imposta sul reddito delle persone fisiche e delle addizionali regionali e comunali con aliquota pari al 5 per cento. L'imposta sostitutiva di cui al primo periodo è applicata dal sostituto d'imposta ai compensi erogati a decorrere dall'anno 2025, fatto salvo quanto previsto dall'articolo 51, comma 1, secondo periodo, del testo unico delle imposte sui redditi, di cui al decreto del Presidente della Repubblica 22 dicembre 1986, n. 917. Per l'accertamento, la riscossione, le sanzioni e il contenzioso si applicano, in quanto compatibili, le disposizioni in materia di imposte sui redditi.

355. Gli oneri derivanti dall'attuazione del comma 354 sono valutati in 53 milioni di euro per l'anno 2025, in 57,6 milioni di euro per l'anno 2026 e in 57,3 milioni di euro annui a decorrere dall'anno 2027.

356. All'articolo 8 del decreto-legge 15 maggio 2024, n. 63, convertito, con modificazioni, dalla legge 12 luglio 2024, n. 101, sono apportate le seguenti modificazioni:

a) al comma 5, le parole: « commissario straordinario e al » sono soppresse;

b) dopo il comma 6 è aggiunto il seguente:

« 6-bis. Al fine di consentire al Commissario straordinario nazionale di attuare quanto previsto dal comma 2, all'Istituto zooprofilattico sperimentale dell'Abruzzo e del Molise, in qualità di centro di referenza nazionale per le brucellosi, è assegnata la somma di 750.000 euro per ciascuno degli anni 2025 e 2026 per lo svolgimento di indagini epidemiologiche e processi diagnostici aggiuntivi rispetto a quelli svolti ordinariamente. Al relativo onere, pari a 750.000 euro per ciascuno degli anni 2025 e 2026, si provvede mediante corrispondente riduzione del Fondo di parte corrente di cui al comma 5 dell'articolo 34-ter della legge 31 dicembre 2009, n. 196, iscritto nello stato di previsione della spesa del Ministero della salute per il triennio 2025-2027. Nell'ambito della somma di cui al primo periodo è prevista, ai sensi dell'articolo 15, comma 3, del decreto-legge 6 luglio 2011, n. 98, convertito, con modificazioni, dalla legge 15 luglio 2011, n. 111, la corresponsione di un compenso per il Commissario straordinario pari a 70.000 euro annui, comprensivo degli oneri a carico dell'amministrazione ».

357. All'articolo 2, comma 8, del decreto-legge 17 febbraio 2022, n. 9, convertito, con modificazioni, dalla legge 7 aprile 2022, n. 29, sono apportate le seguenti modificazioni:

a) le parole: « ed è svolto a titolo gratuito » sono soppresse;

b) sono aggiunti, in fine, i seguenti periodi: « Per ciascuno degli anni 2025 e 2026, al Commissario straordinario è corrisposto, ai sensi dell'articolo 15, comma 3, del decreto-legge 6 luglio 2011, n. 98, convertito, con modificazioni, dalla legge 15 luglio 2011, n. 111, un compenso pari a 30.000 euro annui, comprensivo degli oneri a carico dell'amministrazione. Al relativo onere, pari a 30.000 euro per ciascuno degli anni 2025 e 2026, si provvede mediante corrispondente riduzione del Fondo di parte corrente di cui al comma 5 dell'articolo 34-ter della legge 31 dicembre 2009, n. 196, iscritto nello stato di previsione della spesa del Ministero della salute per il triennio 2025-2027 ».

358. In favore delle regioni che risultino adempienti con riferimento alla voce « Liste di attesa (H) » del documento per la raccolta della documentazione necessaria per la verifica degli adempimenti predisposto dal Comitato di cui all'articolo 9 dell'intesa sancita in sede di Conferenza permanente per i rapporti tra lo Stato, le regioni e le province autonome di Trento e di Bolzano il 23 marzo 2005, pubblicata nel supplemento ordinario n. 83 alla Gazzetta Ufficiale n. 105 del 7 maggio 2005, in attuazione dell'articolo 12 della medesima intesa, denominato « questionario LEA », è vincolata una quota del fabbisogno sanitario nazionale standard cui concorre lo Stato pari a 50 milioni di euro per l'anno 2025 e a 100 milioni di euro annui a decorrere dall'anno 2026.

359. Con decreto del Ministro della salute, di concerto con il Ministro dell'economia e delle finanze, previa intesa in sede di Conferenza permanente per i rapporti tra lo Stato, le regioni e le province autonome di Trento e di Bolzano, sono stabiliti i criteri per l'attribuzione delle somme di cui al comma 358.

360. Per migliorare l'efficienza e garantire la sostenibilità del sistema sanitario, le aziende sanitarie locali, le aziende ospedaliere, gli istituti di ricovero e cura a carattere scientifico e i policlinici universitari, nonché ogni altro ente che eroga servizi di cura nell'ambito di strutture ospedaliere del Servizio sanitario nazionale o di strutture sanitarie private accreditate sono tenuti ad adottare modelli organizzativi, protocolli, assetti gestionali e procedure amministrative al fine di erogare i servizi sanitari in modo integrato e funzionale ai bisogni di cura del malato e delle sue esigenze terapeutiche complessive.

361. All'articolo 1 del decreto legislativo 30 dicembre 1992, n. 502, sono apportate le seguenti modificazioni:

a) al comma 2, dopo le parole: « dignità della persona umana, » sono inserite le seguenti: « della centralità della persona umana, della umanizzazione della cura, della soddisfazione dei bisogni complessivi del malato, »;

b) al comma 10, lettera h), dopo le parole: « linee guida » sono inserite le seguenti: « , i modelli organizzativi e gestionali » e dopo le parole: « di assistenza » sono aggiunte le seguenti: « , secondo i princìpi di umanizzazione della cura e di integrazione delle specializzazioni per valorizzare la centralità della persona umana ».

362. Con regolamento del Ministro della salute, adottato ai sensi dell'articolo 17, comma 3, della legge 23 agosto 1988, n. 400, di concerto con il Ministro dell'economia e delle finanze, previa intesa in sede di Conferenza permanente per i rapporti tra lo Stato, le regioni e le province autonome di Trento e di Bolzano, sono fissati i criteri organizzativi e qualitativi, le linee guida e i protocolli ai quali devono ispirarsi i modelli organizzativi delle strutture ospedaliere al fine di attuare i princìpi di cui ai commi 360 e 361 del presente articolo nell'erogazione dei livelli essenziali di assistenza.

363. Decorsi sessanta giorni dalla data di entrata in vigore del regolamento di cui al comma 362 e per i successivi due anni, gli enti di cui al comma 360 interessati all'applicazione dei protocolli organizzativi ivi previsti avviano una fase sperimentale, previa comunicazione al Ministero della salute. Il Ministero della salute provvede al monitoraggio dei risultati derivanti dall'applicazione dei protocolli. All'esito della sperimentazione biennale, il Ministro della salute, con regolamento, adottato ai sensi dell'articolo 17, comma 3, della legge 23 agosto 1988, n. 400, di concerto con il Ministro dell'economia e delle finanze, sentita la Conferenza permanente per i rapporti tra lo Stato, le regioni e le province autonome di Trento e di Bolzano, stabilisce le norme necessarie per la applicazione generalizzata dei modelli organizzativi di cui ai commi da 360 a 362 del presente articolo.

364. All'attuazione delle disposizioni di cui ai commi da 360 a 363 si provvede con le risorse umane, strumentali e finanziarie disponibili a legislazione vigente. Gli eventuali risparmi di spesa ottenuti dall'attuazione dei modelli organizzativi di cui ai medesimi commi da 360 a 363 sono acquisiti alla disponibilità degli enti di cui al comma 360.

365. Al fine di sostenere l'erogazione delle prestazioni sanitarie, comprese nei livelli essenziali di assistenza, offerte dai servizi residenziali specialistici, pedagogico-riabilitativi e terapeutico-riabilitativi, rese in ambiti regionali diversi da quelli di residenza di cittadini dipendenti da sostanze, una quota del fabbisogno sanitario nazionale standard cui concorre lo Stato, pari a 15 milioni di euro annui a decorrere dall'anno 2025, è vincolata alla remunerazione delle citate prestazioni.

366. Entro sessanta giorni dalla data di entrata in vigore della presente legge, con decreto del Ministro della salute, di concerto con il Ministro dell'economia e delle finanze, previa intesa in sede di Conferenza permanente per i rapporti tra lo Stato, le regioni e le province autonome di Trento e di Bolzano, sono stabilite le modalità di attuazione del comma 365 e di assegnazione delle relative risorse.

367. Al fine di garantire le prestazioni di prevenzione, cura e riabilitazione rivolte alle persone affette da dipendenze patologiche, come definite dall'Organizzazione mondiale della sanità, nello stato di previsione del Ministero della salute è istituito il Fondo per le dipendenze patologiche. Per la dotazione del Fondo di cui al primo periodo è autorizzata la spesa di 94 milioni di euro annui a decorrere dall'anno 2025. Il Fondo di cui al primo periodo, al netto delle risorse di cui al comma 369, è ripartito tra le regioni sulla base di criteri determinati con decreto del Ministro della salute, da emanare entro sessanta giorni dalla data di entrata in vigore della presente legge, sentita la Conferenza permanente per i rapporti tra lo Stato, le regioni e le province autonome di Trento e di Bolzano. Conservano efficacia i decreti di ripartizione del Fondo per il gioco d'azzardo patologico, già adottati, ai sensi dell'articolo 1, comma 946, della legge 28 dicembre 2015, n. 208, alla data di entrata in vigore della presente legge.

368. In deroga all'articolo 5 del decreto-legge 7 giugno 2024, n. 73, convertito, con modificazioni, dalla legge 29 luglio 2024, n. 107, e limitatamente alle prestazioni sanitarie e socio-sanitarie concernenti l'attuazione dei piani regionali di prevenzione, cura e riabilitazione delle dipendenze patologiche a carico del Fondo per le dipendenze patologiche, è autorizzato l'impiego di una quota pari al 30 per cento delle risorse del Fondo medesimo su base annua per l'assunzione a tempo indeterminato di personale dei ruoli sanitario e socio-sanitario da destinare ai servizi pubblici per le dipendenze.

369. A decorrere dall'anno 2025, con decreto del Ministro della salute una quota pari all'1,5 per cento delle risorse del Fondo per le dipendenze patologiche è trasferita annualmente al Dipartimento nazionale per le politiche antidroga della Presidenza del Consiglio dei ministri per la realizzazione di attività di analisi e monitoraggio del fenomeno delle dipendenze patologiche da parte dell'Osservatorio nazionale permanente sull'andamento del fenomeno delle tossicodipendenze.

370. Una quota pari al 34,25 per cento annuo delle risorse del Fondo per le dipendenze patologiche è destinata alla realizzazione di piani regionali sul gioco d'azzardo patologico; la restante quota, pari al 34,25 per cento annuo delle risorse, è destinata alla realizzazione di piani regionali sulle dipendenze patologiche. Con il medesimo decreto di cui al comma 367, sono disciplinati il monitoraggio delle attività previste nei piani regionali e le verifiche circa l'effettiva destinazione dei finanziamenti erogati da parte del Ministero della salute.

371. L'Osservatorio per il contrasto della diffusione del gioco d'azzardo e il fenomeno della dipendenza grave di cui al decreto del Ministro della salute 12 agosto 2019 è soppresso e i relativi compiti di coordinamento sono trasferiti all'Osservatorio nazionale permanente sull'andamento del fenomeno delle tossicodipendenze, istituito presso il Dipartimento nazionale per le politiche antidroga della Presidenza del Consiglio dei ministri.

372. All'articolo 1, comma 7, del testo unico delle leggi in materia di disciplina degli stupefacenti e sostanze psicotrope, prevenzione, cura e riabilitazione dei relativi stati di tossicodipendenza, di cui al decreto del Presidente della Repubblica 9 ottobre 1990, n. 309, le parole: « Dipartimento nazionale per le politiche antidroga » sono sostituite dalle seguenti: « Dipartimento delle politiche contro la droga e le altre dipendenze » e dopo le parole: « secondo le previsioni del comma 8 » sono inserite le seguenti: « e delle altre dipendenze patologiche ».

373. Il comma 133 dell'articolo 1 della legge 23 dicembre 2014, n. 190, è abrogato.

374. Il comma 946 dell'articolo 1 della legge 28 dicembre 2015, n. 208, è abrogato.

375. Per effetto di quanto previsto dal comma 367, il livello del finanziamento del Servizio sanitario nazionale è ridotto di 50 milioni di euro annui a decorrere dall'anno 2025.

376. Al fine di favorire la realizzazione di interventi di produzione di energia termica da fonti rinnovabili e di incremento dell'efficienza energetica di piccole dimensioni presso edifici del Servizio sanitario nazionale, all'articolo 48-ter, comma 1, del decreto-legge 14 agosto 2020, n. 104, convertito, con modificazioni, dalla legge 13 ottobre 2020, n. 126, dopo le parole: « strutture ospedaliere » sono inserite le seguenti: « e di altre strutture sanitarie pubbliche, comprese quelle residenziali, di assistenza, di cura o di ricovero, ».

377. Al fine di finanziare futuri interventi normativi in materia di prevenzione e cura dell'obesità, nello stato di previsione del Ministero della salute è istituito un Fondo con una dotazione di 1,2 milioni di euro per l'anno 2025, di 1,3 milioni di euro per l'anno 2026 e di 1,7 milioni di euro a decorrere dall'anno 2027. Agli oneri derivanti dall'attuazione del presente comma, si provvede, quanto a 0,2 milioni di euro per l'anno 2025, a 0,3 milioni di euro per l'anno 2026 e a 0,7 milioni di euro annui a decorrere dall'anno 2027, mediante corrispondente riduzione del Fondo di cui all'articolo 1, comma 200, della legge 23 dicembre 2014, n. 190, come rifinanziato ai sensi del comma 884 del presente articolo.

378. Al fine di realizzare in tutto il territorio nazionale, in accordo con le regioni, campagne di informazione e sensibilizzazione in favore della popolazione femminile sullo svolgimento di test di riserva ovarica, è autorizzata la spesa di 0,5 milioni di euro per l'anno 2025 e di 1,5 milioni di euro per ciascuno degli anni 2026 e 2027 in favore del Ministero della salute. Agli oneri derivanti dal presente comma, pari a 0,5 milioni di euro per l'anno 2025 e a 1,5 milioni di euro per ciascuno degli anni 2026 e 2027, si provvede mediante corrispondente riduzione del Fondo di cui all'articolo 1, comma 200, della legge 23 dicembre 2014, n. 190, come rifinanziato ai sensi del comma 884 del presente articolo.

379. È autorizzata la spesa di 500.000 euro per ciascuno degli anni 2025, 2026 e 2027 a favore del Ministero della salute per lo svolgimento di campagne di prevenzione dei disturbi della nutrizione e dell'alimentazione. Agli oneri derivanti dal presente comma, pari a 500.000 euro per ciascuno degli anni 2025, 2026 e 2027, si provvede mediante corrispondente riduzione del Fondo di cui all'articolo 1, comma 200, della legge 23 dicembre 2014, n. 190, come rifinanziato ai sensi del comma 884 del presente articolo.

380. Nello stato di previsione del Ministero della salute è istituito un fondo con una dotazione pari a 5 milioni di euro annui a decorrere dall'anno 2026 per il finanziamento di future iniziative normative volte a realizzare interventi per la prevenzione e la lotta contro il virus dell'immunodeficienza umana (HIV), la sindrome da immunodeficienza acquisita (AIDS), il papilloma virus umano (HPV) e le infezioni e malattie a trasmissione sessuale. Con appositi provvedimenti normativi, nei limiti delle risorse di cui al primo periodo, che costituiscono il relativo limite di spesa, si provvede a dare attuazione agli interventi ivi previsti.

381. In relazione alla grave situazione economico-finanziaria e sanitaria determinatasi nella regione Molise e alla rilevante dimensione delle perdite pregresse del relativo servizio sanitario regionale, al fine di ricondurne la gestione nell'ambito dell'ordinata programmazione sanitaria e finanziaria, è autorizzata la spesa di 45 milioni di euro per ciascuno degli anni 2025 e 2026 in favore della regione stessa, quale contributo per la chiusura delle perdite pregresse del servizio sanitario regionale al 31 dicembre 2023, anche al fine di ricondurre i tempi di pagamento al rispetto della normativa dell'Unione europea.

382. In considerazione della perdita complessiva non coperta del servizio sanitario della regione Molise rilevata al 31 dicembre 2023, la regione Molise è tenuta a predisporre, entro il 31 gennaio 2025, un piano di copertura del disavanzo pregresso del proprio servizio sanitario regionale al 31 dicembre 2023, al netto delle somme di cui al comma 381, con l'indicazione delle modalità e dei tempi di attuazione, da recepire nel Programma operativo 2025-2027 di prosecuzione del piano di rientro di cui al comma 383.

383. L'assegnazione delle somme di cui al comma 381 è subordinata alla predisposizione e all'attuazione, da parte della struttura commissariale per l'attuazione del piano di rientro della regione Molise, del Programma operativo 2025-2027 di prosecuzione del piano di rientro, previa approvazione da parte dei Ministeri della salute e dell'economia e delle finanze nonché del Comitato e del Tavolo tecnico di cui agli articoli 9 e 12 dell'intesa 23 marzo 2005 sancita in sede di Conferenza permanente per i rapporti tra lo Stato, le regioni e le province autonome di Trento e di Bolzano, pubblicata nel supplemento ordinario n. 83 alla Gazzetta Ufficiale n. 105 del 7 maggio 2005. Il predetto Programma operativo deve indicare le azioni necessarie a garantire il riassetto della gestione del servizio sanitario regionale della regione Molise, anche avvalendosi dell'incremento previsto dall'articolo 2, comma 86, della legge 23 dicembre 2009, n. 191, nonché recepire il piano di cui al comma 382 del presente articolo. In sede di verifica del piano di rientro, i predetti Comitato e Tavolo tecnico verificano il rispetto di quanto programmato valutando se le risorse di cui al comma 381 possano essere erogate.

384. A decorrere dall'anno 2025, in sede di riparto del fabbisogno sanitario nazionale standard si tiene conto delle caratteristiche territoriali e delle dimensioni delle regioni con popolazione inferiore a 500.000 abitanti, riservando, in favore delle medesime regioni, una quota annuale non inferiore a 20 milioni di euro.

385. Per i premi e le somme erogati negli anni 2025, 2026 e 2027, l'aliquota dell'imposta sostitutiva sui premi di produttività, di cui all'articolo 1, comma 182, della legge 28 dicembre 2015, n. 208, è ridotta al 5 per cento.

386. Le somme erogate o rimborsate dai datori di lavoro per il pagamento dei canoni di locazione e delle spese di manutenzione dei fabbricati locati dai dipendenti assunti a tempo indeterminato dal 1° gennaio 2025 al 31 dicembre 2025 non concorrono, per i primi due anni dalla data di assunzione, a formare il reddito ai fini fiscali entro il limite complessivo di 5.000 euro annui. L'esclusione dal concorso alla formazione del reddito del lavoratore non rileva ai fini contributivi.

387. Le disposizioni di cui al comma 386 si applicano ai titolari di reddito di lavoro dipendente non superiore a 35.000 euro nell'anno precedente la data di assunzione che abbiano trasferito la residenza nel comune di lavoro, qualora questo sia situato a più di cento chilometri di distanza dal comune di precedente residenza.

388. Le somme erogate o rimborsate ai sensi del comma 386 rilevano ai fini della determinazione dell'indicatore della situazione economica equivalente (ISEE) e si computano, altresì, ai fini dell'accesso alle prestazioni previdenziali e assistenziali.

389. Ai fini dell'applicazione dei commi 386, 387 e 388 del presente articolo, il lavoratore rilascia al datore di lavoro apposita dichiarazione, ai sensi dell'articolo 46 del testo unico delle disposizioni legislative e regolamentari in materia di documentazione amministrativa, di cui al decreto del Presidente della Repubblica 28 dicembre 2000, n. 445, nella quale attesta il luogo di residenza nei sei mesi precedenti la data di assunzione.

390. Per i periodi d'imposta 2025, 2026 e 2027, in deroga a quanto previsto dall'articolo 51, comma 3, prima parte del terzo periodo, del testo unico delle imposte sui redditi, di cui al decreto del Presidente della Repubblica 22 dicembre 1986, n. 917, non concorrono a formare il reddito, entro il limite complessivo di 1.000 euro, il valore dei beni ceduti e dei servizi prestati ai lavoratori dipendenti, nonché le somme erogate o rimborsate ai medesimi lavoratori dai datori di lavoro per il pagamento delle utenze domestiche del servizio idrico integrato, dell'energia elettrica e del gas naturale, delle spese per la locazione dell'abitazione principale o per gli interessi sul mutuo relativo all'abitazione principale. Il limite di cui al primo periodo è elevato a 2.000 euro per i lavoratori dipendenti con figli, compresi i figli nati fuori del matrimonio riconosciuti e i figli adottivi, affiliati o affidati, che si trovano nelle condizioni previste dall'articolo 12, comma 2, del citato testo unico di cui al decreto del Presidente della Repubblica n. 917 del 1986. I datori di lavoro provvedono all'attuazione del presente comma previa informativa alle rappresentanze sindacali unitarie laddove presenti.

391. Il limite di cui al comma 390, secondo periodo, si applica se il lavoratore dipendente dichiara al datore di lavoro di avervi diritto, indicando il codice fiscale dei figli.

392. Al fine di promuovere la sicurezza e la tutela della salute dei lavoratori, è istituito, nello stato di previsione del Ministero del lavoro e delle politiche sociali, un Fondo, con una dotazione pari a 500.000 euro annui a decorrere dall'anno 2026, per incentivare i programmi di screening e di prevenzione di malattie cardiovascolari e oncologiche organizzati dai datori di lavoro, comprese le relative campagne di formazione e informazione, nonché l'acquisizione di defibrillatori semiautomatici e automatici da parte delle imprese.

393. Con decreto del Ministro del lavoro e delle politiche sociali, di concerto con il Ministro dell'economia e delle finanze, sono stabiliti le modalità e i criteri di ripartizione delle risorse del fondo di cui al comma 392, anche al fine del rispetto del limite di spesa autorizzato.

394. Agli oneri derivanti dall'attuazione del comma 392, pari a 500.000 euro annui a decorrere dall'anno 2026, si provvede mediante corrispondente riduzione del Fondo di cui all'articolo 1, comma 200, della legge 23 dicembre 2014, n. 190, come rifinanziato ai sensi del comma 884 del presente articolo.

395. Al fine di garantire la stabilità occupazionale e di sopperire all'eccezionale mancanza di offerta di lavoro nel settore turistico, ricettivo e termale, per il periodo dal 1° gennaio 2025 al 30 settembre 2025, ai lavoratori degli esercizi di somministrazione di alimenti e bevande di cui all'articolo 5 della legge 25 agosto 1991, n. 287, e ai lavoratori del comparto del turismo, ivi compresi gli stabilimenti termali, è riconosciuto un trattamento integrativo speciale, che non concorre alla formazione del reddito, pari al 15 per cento delle retribuzioni lorde corrisposte in relazione al lavoro notturno e alle prestazioni di lavoro straordinario, ai sensi del decreto legislativo 8 aprile 2003, n. 66, effettuate nei giorni festivi.

396. Le disposizioni di cui al comma 395 si applicano a favore dei lavoratori dipendenti del settore privato titolari di reddito di lavoro dipendente di importo non superiore, nel periodo d'imposta 2024, a euro 40.000.

397. Il sostituto d'imposta riconosce il trattamento integrativo speciale di cui al comma 395 su richiesta del lavoratore, che attesta per iscritto l'importo del reddito di lavoro dipendente conseguito nell'anno 2024. Le somme erogate sono indicate nella certificazione unica prevista dall'articolo 4, comma 6-ter, del regolamento di cui al decreto del Presidente della Repubblica 22 luglio 1998, n. 322.

398. Il sostituto d'imposta compensa il credito maturato per effetto dell'erogazione del trattamento integrativo speciale di cui al comma 395 del presente articolo mediante compensazione ai sensi dell'articolo 17 del decreto legislativo 9 luglio 1997, n. 241.

399. Per il periodo d'imposta successivo a quello in corso al 31 dicembre 2024 e per i due successivi, le disposizioni dell'articolo 4 del decreto legislativo 30 dicembre 2023, n. 216, si applicano, nei limiti e alle condizioni ivi previste, anche agli incrementi occupazionali risultanti al termine di ciascuno dei predetti periodi d'imposta rispetto al periodo d'imposta precedente.

400. Nella determinazione degli acconti delle imposte sui redditi dovuti:

a) per il periodo d'imposta successivo a quello in corso al 31 dicembre 2025 e per i due successivi si assume, quale imposta del periodo precedente, quella che si sarebbe determinata non applicando il citato articolo 4 del decreto legislativo n. 216 del 2023;

b) per il periodo d'imposta successivo a quello in corso al 31 dicembre 2024 e per i due successivi non si tiene conto delle disposizioni di cui al comma 399 del presente articolo.

401. All'articolo 1 della legge 30 dicembre 2023, n. 213, sono apportate le seguenti modificazioni:

a) al comma 282:

1) all'alinea, dopo le parole: « per la sperimentazione di modelli innovativi di edilizia residenziale pubblica » sono inserite le seguenti: « e di edilizia sociale »;

2) alla lettera c), dopo le parole: « realizzazione di progetti di edilizia residenziale pubblica » sono inserite le seguenti: « e di edilizia sociale »;

b) al comma 283, lettera a), dopo le parole: « monitoraggio dei corrispondenti interventi di edilizia residenziale » sono inserite le seguenti: « e di edilizia sociale ».

402. Al fine di contrastare il disagio abitativo sul territorio nazionale, anche mediante la valorizzazione del patrimonio immobiliare esistente e il contenimento del consumo di suolo, con decreto del Presidente del Consiglio dei ministri, su proposta del Ministro delle infrastrutture e dei trasporti, da adottare, previa intesa in sede di Conferenza unificata di cui all'articolo 8 del decreto legislativo 28 agosto 1997, n. 281, entro centottanta giorni dalla data di entrata in vigore della presente legge, è approvato un piano nazionale per l'edilizia residenziale pubblica e sociale, denominato « Piano casa Italia », quale strumento programmatico avente ad oggetto il rilancio delle politiche abitative come risposta coerente ed efficace ai bisogni della persona e della famiglia. Il Piano casa Italia è finalizzato a definire le strategie di medio e lungo termine per la complessiva riorganizzazione dell'offerta abitativa, in sinergia con gli enti territoriali, al fine di fornire risposte ai nuovi fabbisogni abitativi emergenti dal contesto sociale, integrare i programmi di edilizia residenziale e sociale, dare nuovo impulso alle iniziative di settore, individuare modelli innovativi di governance e di finanziamento dei progetti, razionalizzare l'utilizzo dell'offerta abitativa disponibile.

403. Per il finanziamento delle iniziative del Piano casa Italia, di cui al comma 402, è autorizzata la spesa di 560 milioni di euro, di cui 150 milioni di euro per l'anno 2028, 180 milioni di euro per l'anno 2029 e 230 milioni di euro per l'anno 2030. Al riparto delle risorse di cui al presente comma si provvede con decreto del Ministro delle infrastrutture e dei trasporti, di concerto con il Ministro dell'economia e delle finanze, sulla base degli indirizzi programmatici del Piano casa Italia di cui al comma 402, anche tenuto conto dei fabbisogni e dei cronoprogrammi di spesa. Il medesimo decreto provvede altresì a stabilire le procedure di monitoraggio e di revoca delle risorse.

404. A seguito della decisione della Commissione europea C(2024) 4512 final, del 25 giugno 2024, l'agevolazione di cui all'articolo 1, commi da 161 a 167, della legge 30 dicembre 2020, n. 178, trova applicazione fino al 31 dicembre 2024 con riferimento ai contratti di lavoro subordinato stipulati entro il 30 giugno 2024.

405. Per effetto di quanto previsto al comma 404 del presente articolo, sono modificati come segue i limiti di spesa previsti dagli articoli da 22 a 24 del decreto-legge 7 maggio 2024, n. 60, convertito, con modificazioni, dalla legge 4 luglio 2024, n. 95:

a) il limite di spesa di cui all'articolo 22, comma 7, primo periodo, è incrementato in misura pari a 0,7 milioni di euro per l'anno 2024, a 16,3 milioni di euro per l'anno 2025, a 15,9 milioni di euro per l'anno 2026 e a 5,6 milioni di euro per l'anno 2027;

b) il limite di spesa di cui all'articolo 23, comma 4, primo periodo, è incrementato in misura pari a 0,4 milioni di euro per l'anno 2024, a 14,4 milioni di euro per l'anno 2025, a 17,5 milioni di euro per l'anno 2026 e a 9,1 milioni di euro per l'anno 2027;

c) il limite di spesa di cui all'articolo 24, comma 7, primo periodo, è incrementato in misura pari a 2,1 milioni di euro per l'anno 2024, a 68,9 milioni di euro per l'anno 2025, a 73,5 milioni di euro per l'anno 2026 e a 28,7 milioni di euro per l'anno 2027.

406. Al fine di mantenere i livelli di crescita occupazionale nel Mezzogiorno e contribuire alla riduzione dei divari territoriali, è concesso ai datori di lavoro privati, con esclusione del settore agricolo e dei contratti di lavoro domestico, l'esonero dal versamento dei contributi previdenziali, con esclusione dei premi e contributi dovuti all'Istituto nazionale per l'assicurazione contro gli infortuni sul lavoro, limitatamente alle microimprese e alle piccole e medie imprese che occupano lavoratori a tempo indeterminato nelle regioni Abruzzo, Molise, Campania, Basilicata, Sicilia, Puglia, Calabria e Sardegna. L'agevolazione di cui al presente comma è concessa nei limiti del regolamento (UE) 2023/2831 della Commissione, del 13 dicembre 2023, relativo all'applicazione degli articoli 107 e 108 del trattato sul funzionamento dell'Unione europea agli aiuti de minimis.

407. Rientrano nella nozione di microimpresa e di piccola e media impresa i datori di lavoro privati che hanno alle proprie dipendenze non più di 250 dipendenti, ai sensi dell'allegato I al regolamento (UE) n. 651/2014 della Commissione, del 17 giugno 2014.

408. Ferma restando l'aliquota di computo delle prestazioni pensionistiche, l'esonero di cui al comma 406 è riconosciuto e modulato come segue:

a) per l'anno 2025, in misura pari al 25 per cento dei complessivi contributi previdenziali per un importo massimo di 145 euro su base mensile per dodici mensilità, per ciascun lavoratore assunto a tempo indeterminato alla data del 31 dicembre 2024;

b) per l'anno 2026, in misura pari al 20 per cento dei complessivi contributi previdenziali per un importo massimo di 125 euro su base mensile per dodici mensilità, per ciascun lavoratore assunto a tempo indeterminato alla data del 31 dicembre 2025;

c) per l'anno 2027, in misura pari al 20 per cento dei complessivi contributi previdenziali per un importo massimo di 125 euro su base mensile per dodici mensilità, per ciascun lavoratore assunto a tempo indeterminato alla data del 31 dicembre 2026;

d) per l'anno 2028, in misura pari al 20 per cento dei complessivi contributi previdenziali per un importo massimo di 100 euro su base mensile per dodici mensilità, per ciascun lavoratore assunto a tempo indeterminato alla data del 31 dicembre 2027;

e) per l'anno 2029, in misura pari al 15 per cento dei complessivi contributi previdenziali per un importo massimo di 75 euro su base mensile per dodici mensilità, per ciascun lavoratore assunto a tempo indeterminato alla data del 31 dicembre 2028.

409. L'esonero di cui al comma 406 non si applica:

a) ai rapporti di apprendistato;

b) agli enti pubblici economici;

c) agli istituti autonomi case popolari trasformati in enti pubblici economici ai sensi della legislazione regionale;

d) agli enti trasformati in società di capitali, ancorché a capitale interamente pubblico, per effetto di procedimenti di privatizzazione;

e) alle ex istituzioni pubbliche di assistenza e beneficenza trasformate in associazioni o fondazioni di diritto privato, in quanto prive dei requisiti per la trasformazione in aziende di servizi alla persona, e iscritte nel registro delle persone giuridiche;

f) alle aziende speciali costituite anche in consorzio ai sensi degli articoli 31 e 114 del testo unico delle leggi sull'ordinamento degli enti locali, di cui al decreto legislativo 18 agosto 2000, n. 267;

g) ai consorzi di bonifica;

h) ai consorzi industriali;

i) agli enti morali;

l) agli enti ecclesiastici.

410. Fermi restando i princìpi generali di cui all'articolo 31 del decreto legislativo 14 settembre 2015, n. 150, il diritto alla fruizione degli incentivi di cui ai commi da 406 a 412 è subordinato al rispetto delle condizioni stabilite dall'articolo 1, comma 1175, della legge 27 dicembre 2006, n. 296. Le medesime agevolazioni non spettano ai datori di lavoro che non siano in regola con gli obblighi di assunzione previsti dall'articolo 3 della legge 12 marzo 1999, n. 68.

411. L'esonero di cui al comma 406 non è cumulabile con gli esoneri previsti agli articoli 21, 22, 23 e 24 del decreto-legge 7 maggio 2024, n. 60, convertito, con modificazioni, dalla legge 4 luglio 2024, n. 95.

412. Ai fini degli adempimenti relativi al Registro nazionale degli aiuti di Stato, l'amministrazione responsabile è il Ministero del lavoro e delle politiche sociali e l'amministrazione concedente è l'Istituto nazionale della previdenza sociale, che provvede altresì all'esecuzione degli obblighi di monitoraggio previsti dalla pertinente normativa in materia di aiuti di Stato.

413. Al fine di mantenere i livelli di crescita occupazionale nel Mezzogiorno e contribuire alla riduzione dei divari territoriali, è concesso ai datori di lavoro privati, con esclusione del settore agricolo e dei contratti di lavoro domestico, che occupano lavoratori a tempo indeterminato nelle regioni Abruzzo, Molise, Campania, Basilicata, Sicilia, Puglia, Calabria e Sardegna l'esonero dal versamento dei complessivi contributi previdenziali a carico del datore di lavoro, con esclusione dei premi e contributi dovuti all'Istituto nazionale per l'assicurazione contro gli infortuni sul lavoro.

414. L'esonero di cui al comma 413 si applica ai datori di lavoro privati che non rientrano nella nozione di microimpresa o di piccola e media impresa ai sensi dell'allegato I al regolamento (UE) n. 651/2014 della Commissione, del 17 giugno 2014.

415. L'esonero di cui al comma 413 è riconosciuto a condizione che il datore di lavoro dimostri, al 31 dicembre di ogni anno, un incremento occupazionale, rispetto all'anno precedente, dei rapporti di lavoro a tempo indeterminato.

416. Ferma restando l'aliquota di computo delle prestazioni pensionistiche, l'esonero di cui al comma 413 è riconosciuto e modulato come segue:

a) per l'anno 2025, in misura pari al 25 per cento dei complessivi contributi previdenziali per un importo massimo di 145 euro su base mensile per dodici mensilità, per ciascun lavoratore assunto a tempo indeterminato alla data del 31 dicembre 2024;

b) per l'anno 2026, in misura pari al 20 per cento dei complessivi contributi previdenziali per un importo massimo di 125 euro su base mensile per dodici mensilità, per ciascun lavoratore assunto a tempo indeterminato alla data del 31 dicembre 2025;

c) per l'anno 2027, in misura pari al 20 per cento dei complessivi contributi previdenziali per un importo massimo di 125 euro su base mensile per dodici mensilità, per ciascun lavoratore assunto a tempo indeterminato alla data del 31 dicembre 2026;

d) per l'anno 2028, in misura pari al 20 per cento dei complessivi contributi previdenziali per un importo massimo di 100 euro su base mensile per dodici mensilità, per ciascun lavoratore assunto a tempo indeterminato alla data del 31 dicembre 2027;

e) per l'anno 2029, in misura pari al 15 per cento dei complessivi contributi previdenziali per un importo massimo di 75 euro su base mensile per dodici mensilità, per ciascun lavoratore assunto a tempo indeterminato alla data del 31 dicembre 2028.

417. L'esonero di cui al comma 413 non si applica:

a) ai rapporti di apprendistato;

b) agli enti pubblici economici;

c) agli istituti autonomi case popolari trasformati in enti pubblici economici ai sensi della legislazione regionale;

d) agli enti trasformati in società di capitali, ancorché a capitale interamente pubblico, per effetto di procedimenti di privatizzazione;

e) alle ex istituzioni pubbliche di assistenza e beneficenza trasformate in associazioni o fondazioni di diritto privato, in quanto prive dei requisiti per la trasformazione in aziende di servizi alla persona, e iscritte nel registro delle persone giuridiche;

f) alle aziende speciali costituite anche in consorzio ai sensi degli articoli 31 e 114 del testo unico delle leggi sull'ordinamento degli enti locali, di cui al decreto legislativo 18 agosto 2000, n. 267;

g) ai consorzi di bonifica;

h) ai consorzi industriali;

i) agli enti morali;

l) agli enti ecclesiastici.

418. Fermi restando i princìpi generali di cui all'articolo 31 del decreto legislativo 14 settembre 2015, n. 150, il diritto alla fruizione degli incentivi di cui ai commi da 413 a 421 è subordinato al rispetto delle condizioni stabilite dall'articolo 1, comma 1175, della legge 27 dicembre 2006, n. 296. Le medesime agevolazioni non spettano ai datori di lavoro che non siano in regola con gli obblighi di assunzione previsti dall'articolo 3 della legge 12 marzo 1999, n. 68.

419. L'esonero di cui al comma 413 non è cumulabile con gli esoneri previsti agli articoli 21, 22, 23 e 24 del decreto-legge 7 maggio 2024, n. 60, convertito, con modificazioni, dalla legge 4 luglio 2024, n. 95.

420. L'efficacia della disposizione di cui al comma 413 è subordinata, ai sensi dell'articolo 108, paragrafo 3, del Trattato sul funzionamento dell'Unione europea, all'autorizzazione della Commissione europea ed è sospesa fino alla data di adozione della decisione.

421. Ai fini degli adempimenti relativi al Registro nazionale degli aiuti di Stato, l'amministrazione responsabile è il Ministero del lavoro e delle politiche sociali e l'amministrazione concedente è l'Istituto nazionale della previdenza sociale, che provvede altresì all'esecuzione degli obblighi di monitoraggio previsti dalla pertinente normativa in materia di aiuti di Stato.

422. Gli oneri derivanti dall'attuazione dei commi da 406 a 421 sono complessivamente valutati in 1.632 milioni di euro per l'anno 2025, in 1.517 milioni di euro per l'anno 2026, in 1.513 milioni di euro per l'anno 2027, in 1.371 milioni di euro per l'anno 2028, in 1.007 milioni di euro per l'anno 2029 e in 81 milioni di euro per l'anno 2030. L'Istituto nazionale della previdenza sociale effettua il monitoraggio degli oneri derivanti dall'attuazione dei predetti commi comunicandone trimestralmente le risultanze al Ministero del lavoro e delle politiche sociali e al Ministero dell'economia e delle finanze e provvede alle relative attività mediante l'utilizzo delle risorse umane, strumentali e finanziarie disponibili a legislazione vigente.

423. Il Fondo per lo sviluppo e la coesione per il periodo di programmazione 2021-2027, di cui all'articolo 1, comma 177, della legge 30 dicembre 2020, n. 178, è incrementato di 28 milioni di euro per l'anno 2026, di 1.748 milioni di euro per l'anno 2027 e di 310 milioni di euro per l'anno 2028.

424. Le risorse disponibili di cui all'articolo 1, comma 167, secondo periodo, della legge 30 dicembre 2020, n. 178, concorrono alla copertura finanziaria degli oneri previsti dai commi da 406 a 422 e da 485 a 491 del presente articolo.

425. Agli oneri derivanti dal comma 405, pari a 3,2 milioni di euro per l'anno 2024, si provvede mediante corrispondente riduzione del Fondo per interventi strutturali di politica economica di cui all'articolo 10, comma 5, del decreto-legge 29 novembre 2004, n. 282, convertito, con modificazioni, dalla legge 27 dicembre 2004, n. 307.

426. Le disposizioni dei commi 405 e 425 del presente articolo entrano in vigore il giorno stesso della pubblicazione della presente legge nella Gazzetta Ufficiale.

427. All'articolo 38 del decreto-legge 2 marzo 2024, n. 19, convertito, con modificazioni, dalla legge 29 aprile 2024, n. 56, sono apportate le seguenti modificazioni:

a) al comma 2 è aggiunto, in fine, il seguente periodo: « Il credito d'imposta può essere riconosciuto, in alternativa alle imprese, alle società di servizi energetici (ESCo) certificate da organismo accreditato per i progetti di innovazione effettuati presso l'azienda cliente »;

b) al comma 5, lettera a), le parole: « Gli investimenti in impianti che comprendano i moduli di cui alle citate lettere b) e c) concorrono a formare la base di calcolo del credito d'imposta per un importo pari, rispettivamente, al 120 per cento e 140 per cento del loro costo » sono sostituite dalle seguenti: « Gli investimenti in impianti che comprendano i moduli di cui alle citate lettere a), b) e c) concorrono a formare la base di calcolo del credito d'imposta per un importo pari, rispettivamente, al 130 per cento, 140 per cento e 150 per cento del loro costo »;

c) al comma 7, il primo periodo è sostituito dal seguente: « Il credito d'imposta è riconosciuto nella misura del 35 per cento del costo, per la quota di investimenti fino a 10 milioni di euro, e nella misura del 5 per cento del costo, per la quota di investimenti oltre i 10 milioni di euro e fino al limite massimo di costi ammissibili pari a 50 milioni di euro per anno per impresa beneficiaria »;

d) al comma 8, lettera a), le parole: « al 40 per cento, 20 per cento e 10 per cento » sono sostituite dalle seguenti: « al 40 per cento e al 10 per cento »;

e) al comma 8, lettera b), le parole: « al 45 per cento, 25 per cento e 15 per cento » sono sostituite dalle seguenti: « al 45 per cento e al 15 per cento »;

f) al comma 9 è aggiunto, in fine, il seguente periodo: « Per le società di locazione operativa il risparmio energetico conseguito può essere verificato rispetto ai consumi energetici della struttura o del processo produttivo del noleggiante, ovvero, in alternativa, del locatario »;

g) dopo il comma 9 sono inseriti i seguenti:

« 9-bis. Ai fini del calcolo della riduzione dei consumi di cui al comma 9, gli investimenti in beni di cui all'Allegato A annesso alla legge 11 dicembre 2016, n. 232, caratterizzati da un miglioramento dell'efficienza energetica verificabile sulla base di quanto previsto da norme di settore ovvero di prassi, effettuati in sostituzione di beni materiali aventi caratteristiche tecnologiche analoghe e interamente ammortizzati da almeno 24 mesi alla data di presentazione della comunicazione di accesso al beneficio, contribuiscono al risparmio energetico complessivo della struttura produttiva ovvero dei processi interessati dall'investimento, rispettivamente in misura pari al 3 per cento e al 5 per cento. Resta ferma la possibilità di dimostrare una contribuzione al risparmio energetico superiore alle misure di cui al periodo precedente.

9-ter. La riduzione dei consumi energetici si considera in ogni caso conseguita nei casi di progetti di innovazione realizzati per il tramite di una ESCo in presenza di un contratto di EPC (Energy Performance Contract) nel quale sia espressamente previsto l'impegno a conseguire il raggiungimento di una riduzione dei consumi energetici della struttura produttiva localizzata nel territorio nazionale non inferiore al 3 per cento o, in alternativa, una riduzione dei consumi energetici dei processi interessati dall'investimento non inferiore al 5 per cento »;

h) al comma 18:

1) al primo periodo, le parole: « nonché con il credito d'imposta per investimenti nella ZES unica di cui all'articolo 16 del decreto-legge 19 settembre 2023, n. 124, convertito, con modificazioni, dalla legge 13 novembre 2023, n. 162 » sono soppresse;

2) al secondo periodo, le parole: « di cui al periodo precedente » sono sostituite dalle seguenti: « di cui al comma 13, ultimo periodo »;

3) dopo il secondo periodo è inserito il seguente: « Il credito d'imposta è cumulabile, ferme restando le disposizioni di cui al periodo precedente, con il credito per investimenti nella Zona Economica Speciale (ZES unica – Mezzogiorno) di cui agli articoli 16 e 16-bis del decreto-legge 19 settembre 2023, n. 124, convertito, con modificazioni, dalla legge 13 novembre 2023, n. 162, e nella Zona Logistica Semplificata (ZLS) di cui all'articolo 13 del decreto-legge 7 maggio 2024, n. 60, convertito, con modificazioni, dalla legge 4 luglio 2024, n. 95 »;

4) l'ultimo periodo è sostituito dai seguenti: « Nel rispetto di quanto previsto dall'articolo 9 del regolamento (UE) 2021/241 del Parlamento europeo e del Consiglio, del 12 febbraio 2021, il credito d'imposta è cumulabile con ulteriori agevolazioni previste nell'ambito dei programmi e strumenti dell'Unione europea, a condizione che il sostegno non copra le medesime quote di costo dei singoli investimenti del progetto di innovazione. Dall'applicazione del presente comma non può in ogni caso discendere il riconoscimento di un beneficio superiore al costo sostenuto ».

428. Le disposizioni di cui al comma 427 integrano e modificano le corrispondenti disposizioni contenute nel decreto del Ministro delle imprese e del made in Italy emanato in attuazione dell'articolo 38, comma 17, del decreto-legge 2 marzo 2024, n. 19, convertito, con modificazioni, dalla legge 29 aprile 2024, n. 56, e si applicano a tutti gli investimenti effettuati a decorrere dal 1° gennaio 2024.

429. La possibilità di fruizione del credito d'imposta con le nuove aliquote di cui al comma 427, lettere d) ed e), in relazione ai progetti di investimento ammessi a prenotazione dal 1° gennaio 2024 fino alla data di entrata in vigore della presente legge è subordinata all'invio di apposita comunicazione del GSE sulla base della disponibilità delle risorse programmate ai sensi e nei limiti di cui all'articolo 38, comma 21, del decreto-legge 2 marzo 2024, n. 19, convertito, con modificazioni, dalla legge 29 aprile 2024, n. 56.

430. In considerazione degli effetti economici derivanti dall'eccezionale incremento dei costi di produzione e al fine di sostenere la domanda di informazione, il Fondo unico per il pluralismo e l'innovazione digitale dell'informazione e dell'editoria, di cui all'articolo 1, comma 1, della legge 26 ottobre 2016, n. 198, è incrementato di 50 milioni di euro per l'anno 2025, per la quota destinata agli interventi di competenza della Presidenza del Consiglio dei ministri.

431. Con decreto del Presidente del Consiglio dei ministri, da adottare ai sensi dell'articolo 1, comma 6, della legge 26 ottobre 2016, n. 198, le risorse di cui al comma 430 sono ripartite, nell'ambito degli interventi a sostegno dell'editoria di competenza della Presidenza del Consiglio dei ministri, finanziati a valere sul Fondo unico per il pluralismo e l'innovazione digitale dell'informazione e dell'editoria.

432. Il contratto tra il Ministero dello sviluppo economico e la società Centro di produzione Spa, stipulato ai sensi dell'articolo 1, commi 397 e 398, della legge 27 dicembre 2019, n. 160, è prorogato fino all'anno 2025.

433. Per lo svolgimento del servizio di trasmissione radiofonica delle sedute parlamentari è autorizzata la spesa di 8 milioni di euro per il 2025.

434. All'articolo 6, comma 4, quinto periodo, del testo unico delle disposizioni legislative concernenti le imposte sulla produzione e sui consumi e relative sanzioni penali e amministrative, di cui al decreto legislativo 26 ottobre 1995, n. 504, dopo le parole: « per via marittima » sono aggiunte le seguenti: « nonché per i trasferimenti nazionali di tabacchi lavorati e dei prodotti di cui agli articoli 62-quater.1 e 62-quater.2 sottoposti a regime fiscale ai sensi del presente testo unico. Per i prodotti di cui agli articoli 62-quater, 62-quater.1 e 62-quater.2, la facoltà di esonero di cui al quinto periodo è estesa anche alle cauzioni da prestare sui prodotti in giacenza nei depositi ».

435. La facoltà di esonero di cui all'articolo 6, comma 4, quinto e sesto periodo, del testo unico di cui al decreto legislativo 26 ottobre 1995, n. 504, come modificato dal comma 434 del presente articolo, è esercitata dall'Agenzia delle dogane e dei monopoli previa acquisizione di idonee referenze bancarie da parte degli istituti di credito dei quali si avvalgono i soggetti richiedenti e sulla base della verifica della valutazione storica, prospettica e comparativa del rischio di insolvenza dei medesimi soggetti.

436. In attesa dell'attuazione dei princìpi e criteri direttivi di cui all'articolo 6, comma 1, lettera a), della legge 9 agosto 2023, n. 111, per il periodo d'imposta successivo a quello in corso al 31 dicembre 2024, il reddito d'impresa dichiarato dalle società e dagli enti di cui all'articolo 73, comma 1, lettere a), b) e d), del testo unico delle imposte sui redditi, di cui al decreto del Presidente della Repubblica 22 dicembre 1986, n. 917, può essere assoggettato all'aliquota di cui all'articolo 77 del medesimo testo unico ridotta di 4 punti percentuali, al ricorrere di entrambe le seguenti condizioni:

a) che una quota non inferiore all'80 per cento degli utili dell'esercizio in corso al 31 dicembre 2024 sia accantonata ad apposita riserva;

b) che un ammontare non inferiore al 30 per cento degli utili accantonati di cui alla lettera a) e, comunque, non inferiore al 24 per cento degli utili dell'esercizio in corso al 31 dicembre 2023 sia destinato a investimenti relativi all'acquisto, anche mediante contratti di locazione finanziaria, di beni strumentali nuovi destinati a strutture produttive ubicate nel territorio dello Stato, indicati negli allegati A e B annessi alla legge 11 dicembre 2016, n. 232, nonché nell'articolo 38 del decreto-legge 2 marzo 2024, n. 19, convertito, con modificazioni, dalla legge 29 aprile 2024, n. 56, realizzati a decorrere dalla data di entrata in vigore della presente legge ed entro la scadenza del termine per la presentazione della dichiarazione dei redditi relativa al periodo d'imposta successivo a quello in corso al 31 dicembre 2024. Gli investimenti non devono, in ogni caso, essere inferiori a 20.000 euro.

437. La riduzione dell'aliquota di cui al comma 436 spetta a condizione che:

a) nel periodo d'imposta successivo a quello in corso al 31 dicembre 2024:

1) il numero di unità lavorative per anno non sia diminuito rispetto alla media del triennio precedente;

2) siano effettuate nuove assunzioni di lavoratori dipendenti con contratto di lavoro a tempo indeterminato che costituiscano incremento occupazionale ai sensi dell'articolo 4 del decreto legislativo 30 dicembre 2023, n. 216, in misura pari almeno all'1 per cento del numero dei lavoratori dipendenti a tempo indeterminato mediamente occupati nel periodo d'imposta in corso al 31 dicembre 2024 e, comunque, in misura non inferiore a un lavoratore dipendente con contratto di lavoro a tempo indeterminato;

b) l'impresa non abbia fatto ricorso all'istituto della cassa integrazione guadagni nell'esercizio in corso al 31 dicembre 2024 o in quello successivo, ad eccezione dell'integrazione salariale ordinaria corrisposta nei casi di cui all'articolo 11, comma 1, lettera a), del decreto legislativo 14 settembre 2015, n. 148.

438. Le imprese beneficiarie decadono dall'agevolazione, con conseguente recupero della stessa:

a) nel caso in cui la quota di utile accantonata di cui al comma 436, lettera a), sia distribuita entro il secondo esercizio successivo a quello in corso al 31 dicembre 2024;

b) nel caso in cui i beni oggetto di investimento di cui al comma 436, lettera b), siano dismessi, ceduti a terzi, destinati a finalità estranee all'esercizio dell'impresa ovvero destinati stabilmente a strutture produttive localizzate all'estero, anche se appartenenti allo stesso soggetto, entro il quinto periodo d'imposta successivo a quello nel quale è stato realizzato l'investimento.

439. La riduzione dell'aliquota di cui al comma 436 non si applica alle società e agli enti in liquidazione ordinaria, assoggettati a procedure concorsuali di natura liquidatoria, nel periodo d'imposta successivo a quello in corso al 31 dicembre 2024 o che determinano il proprio reddito imponibile, anche parzialmente, sulla base di regimi forfetari.

440. Per le società e per gli enti indicati nell'articolo 73, comma 1, lettere a), b) e d), del testo unico delle imposte sui redditi, di cui al decreto del Presidente della Repubblica 22 dicembre 1986, n. 917, che partecipano al consolidato nazionale di cui agli articoli da 117 a 129 del medesimo testo unico, l'importo su cui spetta l'aliquota ridotta, determinato ai sensi dei commi da 436 a 444 del presente articolo da ciascun soggetto partecipante al consolidato, è utilizzato dalla società o ente controllante, ai fini della liquidazione dell'imposta dovuta, fino a concorrenza del reddito eccedente le perdite computate in diminuzione. Le disposizioni del presente comma si applicano anche all'importo determinato dalle società e dagli enti indicati nell'articolo 73, comma 1, lettere a) e b), del predetto testo unico di cui al decreto del Presidente della Repubblica n. 917 del 1986 che esercitano l'opzione per il consolidato mondiale di cui agli articoli da 130 a 142 del medesimo testo unico.

441. In caso di opzione per la trasparenza fiscale di cui all'articolo 115 del testo unico delle imposte sui redditi, di cui al decreto del Presidente della Repubblica 22 dicembre 1986, n. 917, l'importo su cui spetta l'aliquota ridotta determinato dalla società partecipata ai sensi dei commi da 436 a 444 del presente articolo è attribuito a ciascun socio in misura proporzionale alla sua quota di partecipazione agli utili.

442. Gli enti non commerciali e gli altri soggetti di cui all'articolo 73, comma 1, lettera c), del testo unico delle imposte sui redditi, di cui al decreto del Presidente della Repubblica 22 dicembre 1986, n. 917, nel rispetto delle condizioni di cui ai commi da 436 a 444 del presente articolo, possono fruire della riduzione dell'aliquota di cui al comma 436 limitatamente all'imposta sui redditi delle società riferibile al reddito di impresa.

443. Nella determinazione dell'acconto dovuto per il periodo d'imposta successivo a quello in corso al 31 dicembre 2025 si assume, quale imposta del periodo precedente, quella che si sarebbe determinata non applicando le disposizioni di cui ai commi da 436 a 444.

444. Con decreto del Ministro dell'economia e delle finanze sono adottate le disposizioni di attuazione dei commi da 436 a 443, anche al fine di introdurre disposizioni di coordinamento con altre norme dell'ordinamento tributario nonché al fine di disciplinare le modalità di recupero dell'agevolazione nei casi di decadenza dal beneficio.

445. All'articolo 1 della legge 30 dicembre 2020, n. 178, sono apportate le seguenti modificazioni:

a) al comma 1051, le parole: « commi da 1052 a 1058-ter » sono sostituite dalle seguenti: « commi da 1052 a 1058-bis »;

b) al comma 1057-bis, primo periodo, le parole: « e fino al 31 dicembre 2025, ovvero entro il 30 giugno 2026, a condizione che entro la data del 31 dicembre 2025 il relativo ordine risulti accettato dal venditore e sia avvenuto il pagamento di acconti in misura almeno pari al 20 per cento del costo di acquisizione » sono sostituite dalle seguenti: « fino al 31 dicembre 2024 »;

c) il comma 1058-ter è abrogato;

d) al comma 1059, le parole: « commi da 1056 a 1058-ter », ovunque ricorrono, sono sostituite dalle seguenti: « commi da 1056 a 1058-bis »;

e) al comma 1062, le parole: « commi da 1054 a 1058-ter » sono sostituite dalle seguenti: « commi da 1054 a 1058-bis » e le parole: « commi da 1056 a 1058-ter » sono sostituite dalle seguenti: « commi da 1056 a 1058-bis »;

f) al comma 1063, le parole: « commi da 1054 a 1058-ter » sono sostituite dalle seguenti: « commi da 1054 a 1058-bis ».

446. Il credito d'imposta di cui all'articolo 1, comma 1057-bis, della legge 30 dicembre 2020, n. 178, è riconosciuto, per gli investimenti effettuati dal 1° gennaio 2025 al 31 dicembre 2025, ovvero entro il 30 giugno 2026 a condizione che entro la data del 31 dicembre 2025 il relativo ordine risulti accettato dal venditore e sia avvenuto il pagamento di acconti in misura almeno pari al 20 per cento del costo di acquisizione, nel limite di spesa di 2.200 milioni di euro. Il limite di cui al primo periodo non opera in relazione agli investimenti per i quali entro la data di pubblicazione della presente legge il relativo ordine risulti accettato dal venditore e sia avvenuto il pagamento di acconti in misura almeno pari al 20 per cento del costo di acquisizione.

447. Ai fini del rispetto del limite di spesa di cui al comma 446, l'impresa trasmette telematicamente al Ministero delle imprese e del made in Italy una comunicazione concernente l'ammontare delle spese sostenute e il relativo credito d'imposta maturato, sulla base del modello di cui al decreto direttoriale del Ministero delle imprese e del made in Italy del 24 aprile 2024, adottato in attuazione dell'articolo 6 del decreto-legge 29 marzo 2024, n. 39, convertito, con modificazioni, dalla legge 23 maggio 2024, n. 67. Per le finalità di cui ai commi da 445 a 448, con apposito decreto direttoriale del Ministero delle imprese e del made in Italy, sono apportate le necessarie modificazioni al predetto decreto direttoriale del 24 aprile 2024, anche per quanto concerne il contenuto, le modalità e i termini di invio delle comunicazioni di cui al presente comma.

448. Ai fini della fruizione dei crediti d'imposta di cui all'articolo 1, comma 1057-bis, della legge 30 dicembre 2020, n. 178, il Ministero delle imprese e del made in Italy trasmette all'Agenzia delle entrate, con modalità telematiche definite d'intesa, l'elenco delle imprese beneficiarie con l'ammontare del relativo credito d'imposta utilizzabile in compensazione, ai sensi dell'articolo 17 del decreto legislativo 9 luglio 1997, n. 241, secondo l'ordine cronologico di ricevimento delle comunicazioni. Al raggiungimento dei limiti di spesa previsti, il Ministero delle imprese e del made in Italy ne dà immediata comunicazione mediante pubblicazione nel proprio sito internet istituzionale, anche al fine di sospendere l'invio delle richieste per la fruizione dell'agevolazione.

449. All'articolo 1 della legge 27 dicembre 2017, n. 205, sono apportate le seguenti modificazioni:

a) al comma 89, in materia di credito d'imposta per la quotazione di piccole e medie imprese in mercati regolamentati, le parole: « fino al 31 dicembre 2024 » sono sostituite dalle seguenti: « fino al 31 dicembre 2027 »;

b) al comma 90, primo periodo, in materia di limiti di utilizzo del medesimo credito d'imposta, le parole: « e di 6 milioni di euro per l'anno 2025 » sono sostituite dalle seguenti: « , di 6 milioni di euro per l'anno 2025 e di 3 milioni di euro per ciascuno degli anni 2026 e 2027 ».

450. All'articolo 15-bis, comma 1, del decreto-legge 18 ottobre 2023, n. 145, convertito, con modificazioni, dalla legge 15 dicembre 2023, n. 191, sono apportate le seguenti modificazioni:

a) al primo periodo, le parole: « 31 dicembre 2024 » sono sostituite dalle seguenti: « 31 dicembre 2025 »;

b) alla lettera b), le parole: « fino alla misura massima del 55 per cento per le operazioni finanziarie, riferite a soggetti beneficiari finali che rispettino i requisiti dimensionali di microimpresa e di piccola e media impresa di cui all'allegato 1 al regolamento (UE) n. 651/2014 della Commissione, del 17 giugno 2014, di seguito denominate “PMI”, rientranti nelle fasce 1 e 2 del modello di valutazione, concesse per il finanziamento di esigenze di liquidità. La predetta misura massima è innalzata al 60 per cento per le operazioni finanziarie riferite a PMI rientranti nelle fasce 3 e 4 del modello di valutazione » sono sostituite dalle seguenti: « fino alla misura massima del 50 per cento per le operazioni finanziarie, riferite a soggetti beneficiari finali che rispettino i requisiti dimensionali di microimpresa e di piccola e media impresa di cui all'allegato I al regolamento (UE) n. 651/2014 della Commissione, del 17 giugno 2014, di seguito denominate “PMI”, concesse per il finanziamento di esigenze di liquidità »;

c) alla lettera c), le parole: « ovvero fino a euro 80.000 » sono sostituite dalle seguenti: « ovvero fino a euro 100.000 »;

d) alla lettera e), le parole: « non inferiore a 250 e » sono soppresse.

451. Per le garanzie richieste e ottenute a decorrere dal 1° gennaio 2025, i soggetti che erogano finanziamenti bancari assistiti dalla garanzia rilasciata ai sensi dell'articolo 2, comma 100, lettera a), della legge 23 dicembre 1996, n. 662, versano al relativo Fondo un premio, in aggiunta al premio eventualmente dovuto sulla singola operazione.

452. I soggetti finanziatori di cui al comma 451 versano al Fondo di cui all'articolo 2, comma 100, lettera a), della legge 23 dicembre 1996, n. 662, il premio aggiuntivo calcolato sulla base dei criteri fissati dal decreto di cui al comma 454 entro il 30 giugno dell'anno solare successivo a quello in cui sono state richieste e ottenute le garanzie.

453. L'applicazione delle disposizioni dei commi da 451 a 454 non determina nuovi o maggiori oneri a carico dei soggetti finanziati, ulteriori rispetto a quelli applicati sulle operazioni di finanziamento alla data di entrata in vigore della presente legge.

454. Con decreto del Ministro delle imprese e del made in Italy e del Ministro dell'economia e delle finanze sono individuati ulteriori criteri e modalità di attuazione delle disposizioni di cui ai commi da 451 a 453.

455. All'articolo 199, comma 1, lettera b), quarto periodo, del decreto-legge 19 maggio 2020, n. 34, convertito, con modificazioni, dalla legge 17 luglio 2020, n. 77, relativo all'erogazione di contributi in favore del soggetto fornitore di lavoro portuale e delle imprese autorizzate allo svolgimento di operazioni portuali, titolari di contratti di appalto di attività comprese nel ciclo operativo, da parte delle Autorità di sistema portuale, le parole: « e di 2 milioni di euro per l'anno 2024 » sono sostituite dalle seguenti: « e di 2 milioni di euro per ciascuno degli anni 2024 e 2025 ». Alla compensazione degli effetti finanziari in termini di fabbisogno e di indebitamento netto derivanti dal presente comma, pari a 2 milioni di euro per l'anno 2025, si provvede mediante corrispondente riduzione, in misura pari a 2 milioni di euro per l'anno 2025, dell'autorizzazione di spesa di cui all'articolo 1, comma 505, della legge 29 dicembre 2022, n. 197.

456. Al fine di assicurare una programmazione sistemica delle infrastrutture portuali distribuite lungo l'intera costa della regione Lazio, all'allegato A della legge 28 gennaio 1994, n. 84, al numero 4), dopo le parole: « e Gaeta » sono aggiunte le seguenti: « nonché Porto canale di Rio Martino ».

457. Ai fini dell'attuazione di disposizioni, anche di carattere fiscale, in materia di partecipazione dei lavoratori al capitale, alla gestione e ai risultati di impresa, è istituito, nello stato di previsione del Ministero dell'economia e delle finanze, un fondo con una dotazione di 70 milioni di euro per l'anno 2025 e di 2 milioni di euro per l'anno 2026.

458. Ai soggetti che hanno fruito del credito d'imposta per investimenti in attività di ricerca e sviluppo di cui all'articolo 3 del decreto-legge 23 dicembre 2013, n. 145, convertito, con modificazioni, dalla legge 21 febbraio 2014, n. 9, e che hanno presentato richiesta di accesso alla procedura di riversamento spontaneo entro il 31 ottobre 2024, ai sensi dell'articolo 5, commi da 7 a 10, del decreto-legge 21 ottobre 2021, n. 146, convertito, con modificazioni, dalla legge 17 dicembre 2021, n. 215, è riconosciuto un contributo in conto capitale commisurato, in misura percentuale, all'importo del credito oggetto di riversamento spontaneo, nel limite di spesa di cui al comma 460 del presente articolo.

459. Le modalità di erogazione, la misura percentuale e la rateizzazione del contributo sono stabilite, con decreto del Ministro delle imprese e del made in Italy, di concerto con il Ministro dell'economia e delle finanze, da adottare entro sessanta giorni dalla data di entrata in vigore della presente legge.

460. Per le finalità di cui al comma 458 nello stato di previsione del Ministero delle imprese e del made in Italy è istituito un fondo con una dotazione finanziaria di 60 milioni di euro per l'anno 2025, di 50 milioni di euro per l'anno 2026, di 80 milioni di euro per l'anno 2027 e di 60 milioni di euro per l'anno 2028.

461. Al fine di assicurare continuità alle misure di sostegno agli investimenti produttivi delle micro, piccole e medie imprese, attuate ai sensi dell'articolo 2 del decreto-legge 21 giugno 2013, n. 69, convertito, con modificazioni, dalla legge 9 agosto 2013, n. 98, l'autorizzazione di spesa di cui al comma 8 del medesimo articolo 2 è integrata di 400 milioni di euro per l'anno 2025, di 100 milioni di euro per l'anno 2026 e di 400 milioni di euro per ciascuno degli anni dal 2027 al 2029.

462. Al fine di assicurare continuità alle misure di valorizzazione della filiera delle fibre tessili naturali e provenienti da processi di riciclo, attuate ai sensi dell'articolo 10 della legge 27 dicembre 2023, n. 206, l'autorizzazione di spesa di cui al comma 1 del medesimo articolo 10 è incrementata di 2,5 milioni di euro per l'anno 2025, di 7,5 milioni di euro per l'anno 2026 e di 5,5 milioni di euro per l'anno 2027. Agli oneri derivanti dall'attuazione del presente comma, pari a 2,5 milioni di euro per l'anno 2025, a 7,5 milioni di euro per l'anno 2026 e a 5,5 milioni di euro per l'anno 2027, si provvede mediante corrispondente riduzione del Fondo di cui all'articolo 1, comma 200, della legge 23 dicembre 2014, n. 190, come rifinanziato ai sensi del comma 884 del presente articolo.

463. Le disponibilità del fondo rotativo di cui all'articolo 2, primo comma, del decreto-legge 28 maggio 1981, n. 251, convertito, con modificazioni, dalla legge 29 luglio 1981, n. 394, possono essere utilizzate per concedere finanziamenti agevolati alle imprese che intendono effettuare investimenti nell'America centrale o meridionale oppure che stabilmente sono presenti o esportano o si approvvigionano nell'America centrale o meridionale ovvero che sono stabilmente fornitrici delle predette imprese, al fine di sostenerne investimenti produttivi o commerciali, investimenti per il rafforzamento patrimoniale nonché investimenti per innovazione tecnologica, digitale, ecologica e investimenti per la formazione del personale. Nei casi previsti dal presente comma è ammesso il cofinanziamento a fondo perduto di cui all'articolo 72, comma 1, lettera d), del decreto-legge 17 marzo 2020, n. 18, convertito, con modificazioni, dalla legge 24 aprile 2020, n. 27.

464. Le disposizioni di cui al comma 463 si applicano nel rispetto del regolamento (UE) 2023/2831 della Commissione, del 13 dicembre 2023, secondo condizioni, termini e modalità stabiliti con una o più deliberazioni del Comitato agevolazioni di cui all'articolo 1, comma 270, della legge 27 dicembre 2017, n. 205, che determina, nel limite di 200 milioni di euro, la quota parte delle risorse del fondo rotativo di cui all'articolo 2, primo comma, del decreto-legge 28 maggio 1981, n. 251, convertito, con modificazioni, dalla legge 29 luglio 1981, n. 394, da destinare ai finanziamenti di cui al comma 463 del presente articolo.

465. Possono accedere ai finanziamenti di cui al comma 463 le imprese con sede legale in Italia che possiedono almeno uno dei seguenti requisiti:

a) presentano un piano di investimenti nell'America centrale o meridionale secondo i termini e le modalità stabiliti con la deliberazione di cui al comma 464;

b) hanno realizzato un fatturato estero non inferiore alla quota minima stabilita con la deliberazione di cui al comma 464 e, alternativamente:

1) sono stabilmente presenti sul mercato dell'America centrale o meridionale;

2) hanno realizzato esportazioni verso i mercati dell'America centrale o meridionale o importazioni dai mercati dell'America centrale o meridionale in misura non inferiore ai valori stabiliti con la deliberazione di cui al comma 464;

c) sono parte di una filiera produttiva a vocazione esportatrice il cui fatturato, in misura non inferiore al valore stabilito con la deliberazione di cui al comma 464, deriva da comprovate operazioni di fornitura a beneficio di imprese che:

1) sono stabilmente presenti sul mercato in America centrale o meridionale;

2) hanno realizzato esportazioni verso i mercati dell'America centrale o meridionale ovvero importazioni dai mercati dell'America centrale o meridionale, in misura non inferiore ai valori stabiliti con la deliberazione di cui al comma 464.

466. Le domande di finanziamento agevolato presentate ai sensi del comma 463 nonché le domande di finanziamento agevolato a valere sul fondo rotativo di cui all'articolo 2, primo comma, del decreto-legge 28 maggio 1981, n. 251, convertito, con modificazioni, dalla legge 29 luglio 1981, n. 394, che riguardano l'America centrale o meridionale, presentate fino al 31 dicembre 2026, sono esentate, a domanda del richiedente, dalla prestazione della garanzia.

467. Per le domande di finanziamento agevolato da parte del fondo rotativo di cui all'articolo 2, primo comma, del decreto-legge 28 maggio 1981, n. 251, convertito, con modificazioni, dalla legge 29 luglio 1981, n. 394, riguardanti l'America centrale o meridionale, presentate da imprese localizzate nelle regioni Abruzzo, Basilicata, Calabria, Campania, Molise, Puglia, Sicilia e Sardegna, i cofinanziamenti a fondo perduto di cui all'articolo 72, comma 1, lettera d), del decreto-legge 17 marzo 2020, n. 18, convertito, con modificazioni, dalla legge 24 aprile 2020, n. 27, sono concessi fino al limite del 20 per cento.

468. All'articolo 10 del decreto-legge 29 giugno 2024, n. 89, convertito, con modificazioni, dalla legge 8 agosto 2024, n. 120, sono apportate le seguenti modificazioni:

a) al comma 1, dopo le parole: « per concedere finanziamenti agevolati alle imprese » sono inserite le seguenti: « che intendono effettuare investimenti in Africa oppure »;

b) al comma 3, dopo la lettera b) è aggiunta la seguente:

« b-bis) presentano un piano di investimenti in Africa secondo termini e modalità stabiliti con la deliberazione di cui al comma 2 ».

469. Alle domande di finanziamento agevolato a valere sul fondo rotativo di cui all'articolo 2, primo comma, del decreto-legge 28 maggio 1981, n. 251, convertito, con modificazioni, dalla legge 29 luglio 1981, n. 394, a sostegno delle iniziative volte alla transizione digitale o ecologica di cui all'articolo 7 del decreto del Ministro degli affari esteri e della cooperazione internazionale 1° giugno 2023, pubblicato nella Gazzetta Ufficiale n. 164 del 15 luglio 2023, presentate fino al 31 dicembre 2026 dalle imprese a forte consumo di energia elettrica di cui all'articolo 3, commi da 1 a 3, del decreto-legge 29 settembre 2023, n. 131, convertito, con modificazioni, dalla legge 27 novembre 2023, n. 169, o dalle imprese che hanno intrapreso comprovati percorsi certificati di incremento dell'efficienza energetica secondo termini e modalità individuati con una o più deliberazioni del Comitato agevolazioni di cui all'articolo 1, comma 270, della legge 27 dicembre 2017, n. 205, si applica la seguente disciplina:

a) sono esentate, a domanda del richiedente, dalla prestazione della garanzia;

b) è ammesso il cofinanziamento a fondo perduto di cui all'articolo 72, comma 1, lettera d), del decreto-legge 17 marzo 2020, n. 18, convertito, con modificazioni, dalla legge 24 aprile 2020, n. 27, fino al limite del 20 per cento dei finanziamenti concessi ai sensi dell'articolo 2, primo comma, del decreto-legge 28 maggio 1981, n. 251, convertito, con modificazioni, dalla legge 29 luglio 1981, n. 394.

470. Le risorse del fondo rotativo di cui all'articolo 2, primo comma, del decreto-legge 28 maggio 1981, n. 251, convertito, con modificazioni, dalla legge 29 luglio 1981, n. 394, comprese le risorse destinate a sezioni istituite nel suo ambito, non possono essere sottoposte a sequestro né a pignoramento. Gli atti di sequestro o di pignoramento presso terzi notificati non determinano obbligo di accantonamento e il gestore del fondo rende una dichiarazione di terzo negativa ai sensi dell'articolo 547 del codice di procedura civile.

471. Il Fondo di cui all'articolo 1, comma 200, della legge 23 dicembre 2014, n. 190, come rifinanziato ai sensi del comma 884 del presente articolo, è incrementato di 3 milioni di euro per ciascuno degli anni 2025 e 2026 e di 5 milioni di euro per l'anno 2027.

472. Agli oneri derivanti dai commi 466 e 469, lettera a), pari complessivamente a 5.062.500 euro per l'anno 2025, si fa fronte mediante corrispondente riduzione, per l'anno 2025, del fondo di cui all'articolo 72, comma 1, lettera d), del decreto-legge 17 marzo 2020, n. 18, convertito, con modificazioni, dalla legge 24 aprile 2020, n. 27, come rifinanziato dall'articolo 1, comma 49, lettera b), della legge 30 dicembre 2021, n. 234.

473. Il Fondo per interventi strutturali di politica economica, di cui all'articolo 10, comma 5, del decreto-legge 29 novembre 2004, n. 282, convertito, con modificazioni, dalla legge 27 dicembre 2004, n. 307, è ridotto di 5 milioni di euro per l'anno 2027.

474. Nell'ambito del fondo rotativo di cui all'articolo 2, primo comma, del decreto-legge 28 maggio 1981, n. 251, convertito, con modificazioni, dalla legge 29 luglio 1981, n. 394, sono istituite le seguenti sezioni, aventi carattere di rotatività, gestite dalla società Simest S.p.A. ciascuna con contabilità separata:

a) « Sezione crescita », con dotazione finanziaria iniziale pari a 100 milioni di euro per l'anno 2025, destinata all'acquisizione, anche in Italia, di quote non di controllo del capitale di rischio, nonché all'eventuale concessione di finanziamento di soci, o alla sottoscrizione di strumenti finanziari partecipativi, di piccole e medie imprese, nonché di imprese a media capitalizzazione, individuate con deliberazione del Comitato agevolazioni di cui all'articolo 1, comma 270, della legge 27 dicembre 2017, n. 205, partecipate da imprese italiane, al fine di sostenerne i processi di internazionalizzazione e la crescita sui mercati internazionali. Le operazioni sono effettuate a condizioni di mercato e in coerenza con il principio dell'operatore privato in una economia di mercato, in co-investimento con operatori privati e alle medesime condizioni applicate dagli stessi, o comunque non deteriori;

b) « Sezione investimenti infrastrutture », con dotazione finanziaria iniziale pari a 100 milioni di euro per l'anno 2025, destinata all'acquisizione di quote non di controllo del capitale dì rischio di società estere, anche di scopo, partecipate, anche indirettamente, da imprese italiane e impegnate nell'esecuzione di contratti all'estero di interesse strategico con il coinvolgimento delle filiere produttive italiane. Le operazioni sono effettuate a condizioni di mercato e in coerenza con il principio dell'operatore privato in una economia di mercato, in co-investimento con operatori privati, e possono consistere nell'acquisizione di quote di partecipazione al capitale di società estere o nella sottoscrizione di strumenti finanziari, anche subordinati, o partecipativi, compreso il finanziamento di soci;

c) « Sezione venture capital e investimenti partecipativi », per le finalità di cui all'articolo 18-quater del decreto-legge 30 aprile 2019, n. 34, convertito, con modificazioni, dalla legge 28 giugno 2019, n. 58.

475. Il Comitato agevolazioni di cui all'articolo 1, comma 270, della legge 27 dicembre 2017, n. 205, definisce con proprie deliberazioni i termini, le modalità e le condizioni degli interventi di cui al comma 474, lettere a) e b), nonché eventuali settori o aree geografiche prioritarie, i criteri per la selezione dei progetti di investimento e le modalità di cui la società Simest S.p.A. può avvalersi per l'istruttoria e la gestione degli investimenti.

476. Agli interventi di cui al comma 474 non si applica l'articolo 6 del decreto-legge 25 giugno 2008, n. 112, convertito, con modificazioni, dalla legge 6 agosto 2008, n. 133.

477. La sezione di cui al comma 474, lettera c), subentra automaticamente in tutte le situazioni e i rapporti giuridici, attivi e passivi, del fondo rotativo di cui all'articolo 1, comma 932, della legge 27 dicembre 2006, n. 296. Il predetto fondo e il comitato di cui all'articolo 6 del decreto del Ministro degli affari esteri e della cooperazione internazionale 13 aprile 2022, pubblicato nella Gazzetta Ufficiale n. 167 del 19 luglio 2022, sono soppressi. Restano salvi e continuano ad applicarsi gli atti e i provvedimenti adottati ai sensi dell'articolo 18-quater del decreto-legge 30 aprile 2019, n. 34, convertito, con modificazioni, dalla legge 28 giugno 2019, n. 58, nonché le deliberazioni adottate dal comitato di cui all'articolo 6 del citato decreto del Ministro degli affari esteri e della cooperazione internazionale 13 aprile 2022, vigenti alla data di entrata in vigore della presente legge.

478. All'articolo 18-quater, comma 1, del decreto-legge 30 aprile 2019, n. 34, convertito, con modificazioni, dalla legge 28 giugno 2019, n. 58, le parole: « del fondo rotativo per operazioni di venture capital di cui all'articolo 1, comma 932, della legge 27 dicembre 2006, n. 296 », sono sostituite dalle seguenti: « della Sezione venture capital e investimenti partecipativi del fondo rotativo di cui all'articolo 2, primo comma, del decreto-legge 28 maggio 1981, n. 251, convertito, con modificazioni, dalla legge 29 luglio 1981, n. 394 ». Il comma 932 dell'articolo 1 della legge 27 dicembre 2006, n. 296, è abrogato. All'articolo 1, comma 270, primo periodo, della legge 27 dicembre 2017, n. 205, le parole: « un rappresentante del Ministero dell'economia e delle finanze » sono sostituite dalle seguenti: « due rappresentanti del Ministero dell'economia e delle finanze ».

479. Per le finalità di cui al comma 474, la società Simest S.p.A. è autorizzata ad alimentare le relative sezioni, nell'ambito delle disponibilità del fondo rotativo previsto dall'articolo 2, primo comma, del decreto-legge 28 maggio 1981, n. 251, convertito, con modificazioni, dalla legge 29 luglio 1981, n. 394, derivanti dall'articolo 1, comma 49, lettera b), della legge 30 dicembre 2021, n. 234, nonché, con riferimento alla lettera c) del predetto comma 474, attingendo alle disponibilità presenti nel conto di tesoreria n. 22046, utilizzato per la gestione del fondo di cui all'articolo 1, comma 932, della legge 27 dicembre 2006, n. 296.

480. Per l'attuazione di quanto disposto dal comma 474, la dotazione del fondo rotativo di cui all'articolo 2, primo comma, del decreto-legge 28 maggio 1981, n. 251, convertito, con modificazioni, dalla legge 29 luglio 1981, n. 394, è incrementata di 100 milioni di euro per l'anno 2025.

481. Agli oneri derivanti dal comma 480, pari a 100 milioni di euro per l'anno 2025, si provvede mediante corrispondente riduzione del fondo di cui all'articolo 72, comma 1, lettera d), del decreto-legge 17 marzo 2020, n. 18, convertito, con modificazioni, dalla legge 24 aprile 2020, n. 27, come rifinanziato dall'articolo 1, comma 49, lettera b), della legge 30 dicembre 2021, n. 234.

482. Al fine di consentire il riequilibrio dei piani economico-finanziari delle concessioni aventi ad oggetto la progettazione, la costruzione e la gestione di un'infrastruttura passiva a banda ultralarga localizzata nelle aree bianche del territorio nazionale, con decreto del Ministro delle imprese e del made in Italy possono essere concessi contributi al soggetto attuatore, nel limite massimo di 200 milioni di euro per l'anno 2027, di 200 milioni di euro per l'anno 2028 e di 210 milioni di euro per l'anno 2029. Qualora dall'atto aggiuntivo alle concessioni con cui si provvede al riequilibrio dei relativi piani economico-finanziari derivino oneri minori rispetto all'ammontare dei contributi di cui al presente comma, le eventuali risorse eccedenti l'effettivo fabbisogno sono versate all'entrata del bilancio dello Stato e rimangono acquisite all'erario.

483. Al fine di allineare il target previsto dal Piano « Italia a 1 Giga » - Missione 1, Componente 2, Investimento 3 « Connessioni internet veloci (banda ultra-larga e 5G) » del PNRR a quanto stabilito dalla decisione di esecuzione del Consiglio ECOFIN dell'8 dicembre 2023, il soggetto attuatore provvede, mediante la sottoscrizione di appositi atti aggiuntivi alle convenzioni in essere con i beneficiari, ad adeguare il numero dei civici da collegare ivi previsto in misura proporzionale ai civici oggetto di intervento tra i medesimi beneficiari. Tale adeguamento è operato dal soggetto attuatore su ogni lotto di spettanza per ciascun beneficiario in misura proporzionale al totale dei civici che risulteranno da collegare in ciascun lotto alla data di entrata in vigore della presente disposizione, fermi restando il termine finale di esecuzione del citato Piano, nonché l'onere complessivo dell'investimento assunto in sede di gara dai beneficiari.

484. Al fine di consentire il raggiungimento degli obiettivi del « Piano Italia a 1 giga » Missione 1, Componente 2, Investimento 3 « Connessioni internet veloci (banda ultra-larga e 5G) » del PNRR, il soggetto attuatore è autorizzato a erogare le quote di contributo previsto al raggiungimento di una soglia di abilitazione ai servizi per almeno l'80 per cento dei civici inclusi nel Piano per ciascun comune. Le spese residue possono essere riconosciute esclusivamente previa una seconda rendicontazione da presentarsi al momento del completamento dell'intervento di ciascun comune.

485. All'articolo 16 del decreto-legge 19 settembre 2023, n. 124, convertito, con modificazioni, dalla legge 13 novembre 2023, n. 162, sono apportate le seguenti modificazioni:

a) al comma 1, le parole: « Per l'anno 2024 » sono sostituite dalle seguenti: « Per gli anni 2024 e 2025 »;

b) al comma 4, primo periodo, dopo le parole: « 15 novembre 2024 » inserite le seguenti: « e dal 1° gennaio 2025 al 15 novembre 2025 »;

c) al comma 6, primo periodo, dopo le parole: « di 1.800 milioni di euro per l'anno 2024 » sono inserite le seguenti: « e di 2.200 milioni di euro per l'anno 2025 ».

486. Per l'anno 2025, ai fini della fruizione del credito d'imposta di cui all'articolo 16 del decreto-legge 19 settembre 2023, n. 124, convertito, con modificazioni, dalla legge 13 novembre 2023, n. 162, come modificato dal comma 485 del presente articolo, gli operatori economici comunicano all'Agenzia delle entrate, dal 31 marzo 2025 al 30 maggio 2025, l'ammontare delle spese ammissibili sostenute dal 16 novembre 2024 e quelle che prevedono di sostenere fino al 15 novembre 2025. A pena di decadenza dall'agevolazione, gli operatori economici che hanno presentato la comunicazione di cui al primo periodo inviano dal 18 novembre 2025 al 2 dicembre 2025 all'Agenzia delle entrate una comunicazione integrativa attestante l'avvenuta realizzazione entro il termine del 15 novembre 2025 degli investimenti indicati nella comunicazione presentata ai sensi del predetto primo periodo. La comunicazione integrativa, a pena del rigetto della comunicazione stessa, reca, altresì, l'indicazione dell'ammontare del credito d'imposta maturato in relazione agli investimenti effettivamente realizzati e delle relative fatture elettroniche e degli estremi della certificazione prevista dal decreto del Ministro per gli affari europei, il Sud, le politiche di coesione e il PNRR 17 maggio 2024, pubblicato nella Gazzetta Ufficiale n. 117 del 21 maggio 2024. La comunicazione integrativa indica un ammontare di investimenti effettivamente realizzati non superiore a quello riportato nella comunicazione inviata ai sensi del primo periodo del presente comma.

487. Con provvedimento adottato dal direttore dell'Agenzia delle entrate, da emanare entro trenta giorni dalla data di entrata in vigore della presente legge, sono approvati i modelli di comunicazione da utilizzare per le finalità di cui al comma 486, primo e secondo periodo, e sono definite le relative modalità di trasmissione telematica.

488. Ai fini del rispetto del limite di spesa per l'anno 2025 di cui al comma 6 del citato articolo 16 del decreto-legge 19 settembre 2023, n. 124, convertito, con modificazioni, dalla legge 13 novembre 2023, n. 162, come modificato dal comma 485 del presente articolo, l'ammontare massimo del credito d'imposta fruibile da ciascun beneficiario è pari all'importo del credito d'imposta risultante dalla comunicazione integrativa di cui al comma 486, secondo periodo, del presente articolo moltiplicato per la percentuale resa nota con provvedimento del direttore dell'Agenzia delle entrate, da emanare entro dieci giorni dalla scadenza del termine di presentazione delle comunicazioni integrative. Detta percentuale è ottenuta rapportando il limite di spesa all'ammontare complessivo dei crediti d'imposta indicati nelle comunicazioni integrative di cui al citato comma 486, secondo periodo, del presente articolo.

489. Con il medesimo provvedimento del direttore dell'Agenzia delle entrate di cui al comma 488 sono altresì resi noti, per ciascuna regione della Zona economica speciale per il Mezzogiorno – ZES unica e in modo distinto per ciascuna delle categorie di microimprese, di piccole imprese, di medie imprese e di grandi imprese come definite dalla Carta degli aiuti a finalità regionale 2022-2027:

a) il numero delle comunicazioni inviate entro i termini previsti dal comma 486, secondo periodo;

b) la tipologia di investimenti realizzati entro la data del 15 novembre 2025;

c) l'ammontare complessivo del credito d'imposta complessivamente richiesto.

490. Fermo restando quanto previsto dal comma 5, secondo periodo, del citato articolo 16 del decreto-legge 19 settembre 2023, n. 124, convertito, con modificazioni, dalla legge 13 novembre 2023, n. 162, qualora il provvedimento di cui al comma 488 del presente articolo indichi un credito d'imposta inferiore a quello massimo riconoscibile nelle zone assistite delle regioni Campania, Puglia, Basilicata, Calabria, Sicilia, Sardegna e Molise, ammissibili alla deroga prevista dall'articolo 107, paragrafo 3, lettera a), del Trattato sul funzionamento dell'Unione europea e nelle zone assistite della regione Abruzzo, ammissibili alla deroga prevista dall'articolo 107, paragrafo 3, lettera c), del Trattato sul funzionamento dell'Unione europea, come individuate dalla Carta degli aiuti a finalità regionale 2022-2027, il Ministero delle imprese e del made in Italy e le regioni della Zona economica speciale per il Mezzogiorno – ZES unica rendono nota entro il 15 gennaio 2026, mediante apposita comunicazione inviata al Dipartimento per le politiche di coesione e il Sud della Presidenza del Consiglio dei ministri, la possibilità di agevolare i medesimi investimenti a valere sulle risorse dei programmi della politica di coesione europea relativi al periodo di programmazione 2021-2027 di loro titolarità, ove ne ricorrano i presupposti e nel rispetto delle procedure, dei vincoli territoriali, programmatici e finanziari previsti da detti programmi, indicando l'entità delle risorse finanziarie disponibili per il finanziamento della misura. Il Ministero delle imprese e del made in Italy e le regioni che intendono avvalersi della facoltà di cui al primo periodo definiscono con propri provvedimenti le modalità di riconoscimento dell'agevolazione e gli adempimenti richiesti agli operatori economici, anche tenendo conto di quanto previsto dal citato articolo 16 del decreto-legge n. 124 del 2023.

491. Per tutto quanto non espressamente previsto dai commi da 485 a 490 del presente articolo, si applicano le disposizioni di cui al citato decreto del Ministro per gli affari europei, il Sud, le politiche di coesione e il PNRR 17 maggio 2024.

492. Il Comitato di coordinamento di cui all'articolo 24-bis del decreto-legge 17 maggio 2022, n. 50, convertito, con modificazioni, dalla legge 15 luglio 2022, n. 91, può operare anche in maniera disgiunta in ragione delle specificità dei territori di Brindisi e Civitavecchia, ai fini dell'individuazione delle soluzioni per il rilancio delle attività imprenditoriali, per la salvaguardia dei livelli occupazionali e per il sostegno dei programmi di investimento e sviluppo imprenditoriale delle relative aree industriali.

493. Il Comitato di cui all'articolo 24-bis del decreto-legge 17 maggio 2022, n. 50, convertito, con modificazioni, dalla legge 15 luglio 2022, n. 91, in relazione sia al territorio di Brindisi sia a quello di Civitavecchia, può elaborare un programma di sviluppo territoriale da definire tramite un accordo di programma.

494. Nel caso di un accordo di programma elaborato ai sensi del comma 493, per lo sviluppo delle singole aree nonché per l'approvazione dei progetti pubblici e privati e per la realizzazione delle opere pubbliche è nominato, ai sensi dell'articolo 32 del decreto-legge 9 agosto 2022, n. 115, convertito, con modificazioni, dalla legge 21 settembre 2022, n. 142, un Commissario straordinario per gli anni 2025 e 2026, cui spetta un compenso annuo pari ad 80.000 euro, comprensivo degli oneri a carico dell'amministrazione, per ciascuno degli anni 2025 e 2026.

495. Agli oneri derivanti dall'attuazione dei commi da 492 a 494, pari a 80.000 euro per ciascuno degli anni 2025 e 2026, si provvede mediante corrispondente riduzione del Fondo di cui all'articolo 1, comma 200, della legge 23 dicembre 2014, n. 190, come rifinanziato ai sensi del comma 884 del presente articolo.

496. Al fine di contribuire al finanziamento dei costi connessi alle celebrazioni del Giubileo della Chiesa cattolica per il 2025 nella città di Roma è autorizzata la spesa complessiva di 88 milioni di euro per l'anno 2025 per le seguenti finalità:

a) quanto a 37 milioni di euro, per il finanziamento dei maggiori costi connessi all'organizzazione e all'allestimento dei grandi eventi giubilari a cura della società Giubileo 2025 Spa;

b) quanto a 16,5 milioni di euro, per l'organizzazione e l'allestimento di eventi minori a cura di Roma Capitale;

c) quanto a 34,5 milioni di euro, destinati alla regione Lazio, per il finanziamento dei maggiori costi connessi all'accoglienza dei pellegrini in relazione alle attività di competenza dell'ente.

497. Al fine di assicurare il completamento degli interventi di conto capitale connessi alle celebrazioni di cui al comma 496 del presente articolo, l'autorizzazione di spesa di cui all'articolo 1, comma 488, secondo periodo, della legge 30 dicembre 2023, n. 213, è incrementata di 7 milioni di euro per l'anno 2025. Al riparto delle risorse di cui al primo periodo si provvede con il provvedimento e secondo le modalità di cui all'articolo 1, comma 422, della legge 30 dicembre 2021, n. 234.

498. In considerazione dell'eccezionale presenza di visitatori nel territorio della città metropolitana di Roma Capitale, dovuta anche alle celebrazioni del Giubileo della Chiesa cattolica per il 2025, al fine di ridurre i flussi di traffico veicolare, è attribuito, in via straordinaria e temporanea, a favore della città metropolitana di Roma Capitale un contributo pari a 1 milione di euro per l'anno 2025, volto a favorire l'adozione di misure che agevolino forme di lavoro agile e incrementino la flessibilità organizzativa necessaria.

499. Al fine di potenziare i servizi di prevenzione e di controllo del territorio e di tutela della sicurezza pubblica, connessi anche alle celebrazioni del Giubileo della Chiesa cattolica per il 2025, è autorizzata la spesa di 0,5 milioni di euro per l'anno 2025 e di 2 milioni di euro per l'anno 2026 per l'acquisto di sistemi di videosorveglianza ambientale da installare prioritariamente nei quartieri adiacenti alla stazione ferroviaria di Roma Termini.

500. Agli oneri derivanti dai commi 498 e 499, pari a 1,5 milioni di euro per l'anno 2025 e a 2 milioni di euro per l'anno 2026, si provvede mediante corrispondente riduzione del Fondo di cui all'articolo 1, comma 200, della legge 23 dicembre 2014, n. 190, come rifinanziato ai sensi del comma 884 del presente articolo.

501. Per gli interventi per la salvaguardia di Venezia e della sua laguna, di cui alla legge 16 aprile 1973, n. 171, sono stanziate ulteriori risorse pari a 5 milioni di euro annui a decorrere dall'anno 2025.

502. Al fine di sostenere lo sviluppo dell'offerta turistica nel territorio nazionale, anche attraverso interventi in grado di favorire la destagionalizzazione dei flussi turistici, la digitalizzazione dell'ecosistema turistico, le filiere turistiche, gli investimenti per il rispetto dei criteri ambientali, sociali e di governance (ESG) e il turismo sostenibile, con decreto di natura non regolamentare adottato dal Ministro del turismo, di concerto con il Ministro dell'economia e delle finanze, previa intesa in sede di Conferenza permanente per i rapporti tra lo Stato, le regioni e le province autonome di Trento e di Bolzano, sentite le organizzazioni sindacali nazionali comparativamente più rappresentative delle imprese del settore, entro sessanta giorni dalla data di entrata in vigore della presente legge, sono stabiliti i criteri, le condizioni e le modalità per la concessione di agevolazioni finanziarie a sostegno degli investimenti privati e per la realizzazione di interventi ad essi complementari e funzionali.

503. Per le finalità di cui al comma 502 nonché al fine di favorire gli investimenti nel settore turistico, al punto 8, lettera a), dell'allegato IV alla parte seconda del decreto legislativo 3 aprile 2006, n. 152, sono aggiunte, in fine, le seguenti parole: « o inseriti in lotti interclusi, dotati delle opere di urbanizzazione previste dagli strumenti urbanistici ».

504. Con il decreto di cui al comma 502 sono definite:

a) le attività, le iniziative, le categorie di imprese, il valore minimo degli investimenti e le spese ammissibili all'agevolazione, la misura e la natura finanziaria delle agevolazioni concedibili nei limiti consentiti dalla vigente normativa dell'Unione europea, i criteri di valutazione dell'istanza di ammissione all'agevolazione;

b) le modalità di accesso alle agevolazioni, anche prevedendo specifiche procedure dirette al sostegno di programmi di particolare rilevanza strategica per lo sviluppo dell'offerta turistica;

c) le modalità di cooperazione con le regioni e gli enti locali interessati, ai fini della gestione degli interventi di cui al comma 502, anche per quanto attiene all'apporto di eventuali risorse aggiuntive da parte delle regioni, nonché con riferimento alla programmazione e realizzazione delle eventuali opere infrastrutturali pubbliche complementari e funzionali all'investimento privato, nonché la possibile integrazione con misure di intervento proprie o azioni e provvedimenti in grado di semplificare e accelerare la realizzazione dei programmi di investimento.

505. Le funzioni relative alla gestione degli interventi di cui al comma 502, comprese quelle relative alla ricezione, alla valutazione e all'approvazione delle domande di agevolazione, alla concessione ed erogazione delle agevolazioni, al controllo, al monitoraggio e all'eventuale rafforzamento della capacità amministrativa connessa all'attuazione degli interventi medesimi, possono essere affidate, con le modalità stabilite da apposita convenzione, all'Agenzia nazionale per l'attrazione degli investimenti e lo sviluppo d'impresa Spa – Invitalia, che può avvalersi della società Enit Spa.

506. Per le finalità di cui al comma 505 è autorizzata, a valere sulle risorse di cui al comma 508, la spesa di 1 milione di euro per l'anno 2025.

507. Il Ministero del turismo vigila sull'esercizio delle funzioni affidate ai sensi del comma 505 e può definire con apposite direttive gli indirizzi operativi per la gestione degli interventi di cui al comma 502.

508. Per le finalità di cui ai commi da 502 a 507 è autorizzata la spesa di 110 milioni di euro per l'anno 2025.

509. Fino al 31 dicembre 2026, al fine di promuovere il traffico ferroviario delle merci in ambito portuale, ciascuna Autorità di sistema portuale può assegnare, nel limite di 1 milione di euro, nell'ambito delle risorse disponibili a legislazione vigente, nel rispetto degli equilibri di bilancio e senza utilizzo dell'avanzo di amministrazione, un contributo in favore degli operatori dei servizi di manovra ferroviaria che operano al servizio dell'area portuale, sulla base degli obiettivi di traffico ferroviario definiti dall'Autorità di sistema portuale interessata.

510. I beneficiari sono tenuti a conferire il contributo di cui al comma 509, in misura non inferiore al 50 per cento, a favore dei propri clienti che hanno usufruito dei servizi di manovra ferroviaria oggetto del contributo medesimo.

511. Con decreto del Ministro delle infrastrutture e dei trasporti, di concerto con il Ministro dell'economia e delle finanze, da adottare entro trenta giorni dalla data di entrata in vigore della presente legge, sono definiti i criteri e le modalità di assegnazione dei contributi di cui al comma 509, nonché i termini e le modalità del conferimento di cui al comma 510.

512. Dall'attuazione dei commi da 509 a 511 del presente articolo non devono derivare nuovi o maggiori oneri per la finanza pubblica. Le amministrazioni competenti provvedono agli adempimenti previsti dai commi da 509 a 511 del presente articolo con le risorse umane, strumentali e finanziarie disponibili a legislazione vigente.

513. Al fine di garantire il conseguimento degli obiettivi previsti in relazione all'Investimento 17 – Strumento finanziario per l'efficientamento dell'edilizia pubblica, anche residenziale (ERP), e delle abitazioni di famiglie a basso reddito e vulnerabili della Missione 7 – REPowerEU del PNRR, con decreto del Ministro per gli affari europei, il PNRR e le politiche di coesione, di concerto con il Ministro dell'economia e delle finanze, sono individuati:

a) la tipologia degli investimenti agevolabili;

b) la tipologia del sostegno finanziario concedibile in relazione agli investimenti di cui alla lettera a);

c) i soggetti destinatari del sostegno finanziario;

d) la società Gestore dei servizi energetici – GSE Spa come soggetto attuatore dell'Investimento 17 di cui all'alinea;

e) le società SACE Spa e Cassa depositi e prestiti Spa come partner finanziari dell'Investimento 17 di cui all'alinea, con l'attribuzione alla società Cassa depositi e prestiti Spa della gestione di una linea finanziaria su fondi di terzi a valere sulle somme assegnate al citato Investimento 17;

f) il contenuto essenziale e i termini di sottoscrizione dell'atto convenzionale tra il soggetto attuatore, i partner finanziari e la Struttura di missione PNRR della Presidenza del Consiglio dei ministri, di cui all'articolo 2 del decreto-legge 24 febbraio 2023, n. 13, convertito, con modificazioni, dalla legge 21 aprile 2023, n. 41, recante la specificazione dei compiti e degli obblighi del soggetto attuatore e dei partner finanziari, come individuati ai sensi della lettera h);

g) il contenuto, le modalità e i termini di presentazione dei progetti di investimento agevolabili;

h) i criteri e le modalità di selezione dei progetti di investimento nonché gli obblighi del soggetto attuatore di cui alla lettera d) e dei partner finanziari di cui alla lettera e), i criteri di verifica del miglioramento dell'efficienza energetica degli edifici, da conseguire in misura non inferiore al 30 per cento a seguito dell'effettuazione degli interventi, nonché le modalità di trasmissione della relativa certificazione;

i) le modalità finalizzate ad assicurare il rispetto del limite di spesa di cui al comma 519;

l) le procedure di erogazione del sostegno finanziario ai soggetti destinatari nonché le procedure di controllo, di esclusione e di recupero del sostegno medesimo;

m) i controlli finalizzati alla verifica dei requisiti tecnici e dei presupposti occorrenti per la concessione del finanziamento;

n) le modalità con le quali è effettuato il monitoraggio in ordine al concorso della misura al raggiungimento degli obiettivi in materia di cambiamenti climatici, in conformità all'allegato VI al regolamento (UE) 2021/241 del Parlamento europeo e del Consiglio, del 12 febbraio 2021.

514. Al fine di garantire il rispetto del principio di non arrecare un danno significativo agli obiettivi ambientali, ai sensi dell'articolo 17 del regolamento (UE) 2020/852 del Parlamento europeo e del Consiglio, del 18 giugno 2020, non sono in alcun caso agevolabili gli investimenti destinati:

a) ad attività direttamente connesse ai combustibili fossili;

b) ad attività nell'ambito del sistema di scambio di quote di emissione dell'Unione europea che generano emissioni di gas a effetto serra che si prevedono essere non inferiori ai pertinenti parametri di riferimento;

c) ad attività connesse alle discariche di rifiuti, agli inceneritori e agli impianti di trattamento meccanico biologico.

515. Fermo restando quanto previsto dall'articolo 9 del regolamento (UE) 2021/241 del Parlamento europeo e del Consiglio, del 12 febbraio 2021, le misure di sostegno finanziario previste dai commi da 513 a 519 del presente articolo non sono cumulabili, in relazione ai medesimi costi ammissibili, con altri contributi, crediti di imposta o agevolazioni, comunque denominate, a valere su risorse dell'Unione europea. In caso di cumulo delle misure di sostegno finanziario previsto dai predetti commi da 513 a 519 con altre agevolazioni che abbiano a oggetto i medesimi costi e finanziate con risorse diverse da quelle previste dal primo periodo del presente comma, il cumulo è ammesso a condizione che lo stesso non porti al superamento del costo sostenuto.

516. Il soggetto attuatore e i partner finanziari sottoscrittori dell'atto convenzionale di cui al comma 513, lettera f), svolgono tutte le attività e adempiono tutti gli obblighi in esso indicati, con oneri posti a carico delle risorse di cui al comma 519, nel limite complessivo massimo dell'1 per cento.

517. Sulla base della documentazione tecnica nonché dell'eventuale ulteriore documentazione fornita dai soggetti destinatari, ivi compresa quella necessaria alla verifica della prevista riduzione dei consumi energetici, il soggetto attuatore effettua altresì, entro i termini indicati nell'atto convenzionale di cui al comma 513, lettera f), i controlli finalizzati alla verifica della sussistenza dei requisiti tecnici e dei presupposti previsti per la concessione del sostegno finanziario.

518. Entro i termini indicati nell'atto convenzionale di cui al comma 513, lettera f), le banche commerciali convenzionate con la società Cassa depositi e prestiti Spa effettuano le valutazioni relative al merito creditizio e il controllo degli ulteriori presupposti finanziari occorrenti per l'erogazione del sostegno finanziario.

519. Agli oneri derivanti dai commi 513 e 516, quantificati in complessivi 1.381 milioni di euro per l'anno 2025, si provvede a valere sulle risorse destinate all'Investimento 17 di cui al comma 513, finanziato dal fondo Next Generation EU Italia.

520. All'articolo 1 della legge 29 dicembre 2022, n. 197, sono apportate le seguenti modificazioni:

a) al comma 58, primo periodo, le parole: « del 25 per cento » sono sostituite dalle seguenti: « del 30 per cento »;

b) al comma 62, le parole: « euro 50.000 » sono sostituite dalle seguenti: « euro 75.000 ».

521. All'articolo 2 del decreto-legge 10 settembre 2021, n. 121, convertito, con modificazioni, dalla legge 9 novembre 2021, n. 156, dopo il comma 2-decies è inserito il seguente:

« 2-decies.1. Il Ministero delle infrastrutture e dei trasporti è autorizzato a sottoscrivere con la società ANAS Spa una nuova convenzione unica, da approvare con decreto del Ministro delle infrastrutture e dei trasporti, di concerto con il Ministro dell'economia e delle finanze. In occasione della sottoscrizione della convenzione di cui al primo periodo, la durata della relativa concessione è adeguata al termine massimo stabilito dall'articolo 7, comma 3, lettera d), del decreto-legge 8 luglio 2002, n. 138, convertito, con modificazioni, dalla legge 8 agosto 2002, n. 178. L'efficacia delle disposizioni del presente comma è subordinata alla notificazione preventiva alla Commissione europea, ai sensi dell'articolo 108 del Trattato sul funzionamento dell'Unione europea ».

522. Il comma 6 dell'articolo 36 del decreto-legge 6 luglio 2011, n. 98, convertito, con modificazioni, dalla legge 15 luglio 2011, n. 111, è abrogato.

523. All'articolo 2 del regolamento di cui al decreto del Presidente della Repubblica 14 marzo 2001, n. 144, sono apportate le seguenti modificazioni:

a) al comma 1, dopo la lettera a) è inserita la seguente:

« a-bis) raccolta delle somme di denaro ricevute dagli istituti di moneta elettronica per l'emissione di moneta elettronica e dagli istituti di pagamento per la prestazione di servizi di pagamento di cui agli articoli 114-quinquies.1 e 114-duodecies del testo unico bancario, nel rispetto delle condizioni ivi previste »;

b) al comma 3, dopo la parola: « 114-ter » è inserita la seguente « , 114-octiesdecies ».

524. La società Stretto di Messina S.p.A. è autorizzata a sottoscrivere un accordo con il Consorzio per le autostrade siciliane finalizzato alla definizione di meccanismi di compensazione per la mancata possibilità di utilizzo da parte degli utenti dello svincolo autostradale denominato « Villafranca Tirrena » della A18 Messina-Palermo, nel limite delle risorse allo scopo disponibili. A tal fine, è autorizzata la spesa di 2,5 milioni di euro per ciascuno degli anni 2025 e 2026. Agli oneri derivanti dall'attuazione del presente comma, pari a 2,5 milioni di euro per ciascuno degli anni 2025 e 2026, si provvede mediante corrispondente riduzione del Fondo per interventi strutturali di politica economica, di cui all'articolo 10, comma 5, del decreto-legge 29 novembre 2004, n. 282, convertito, con modificazioni, dalla legge 27 dicembre 2004, n. 307.

525. Gli impianti di produzione di energia da fonti rinnovabili direttamente interconnessi alle infrastrutture di alimentazione della trazione ferroviaria rientrano tra le infrastrutture di supporto alle infrastrutture ferroviarie per la cui realizzazione si applicano le disposizioni dell'articolo 53-bis, comma 1, del decreto-legge 31 maggio 2021, n. 77, convertito, con modificazioni, dalla legge 29 luglio 2021, n. 108. Conseguentemente, agli interventi relativi a tali impianti non si applicano le disposizioni del capo I del titolo III del decreto legislativo 8 novembre 2021, n. 199.

526. Al fine di accelerare il rinnovo del parco degli autobus adibiti ai servizi di trasporto pubblico locale e regionale e di favorire la sostituzione degli autobus con caratteristiche antinquinamento antecedenti alla normativa Euro VI, qualora ciò non determini un ritardo nell'acquisizione dei mezzi rispetto alla programmazione, le regioni e le città metropolitane possono utilizzare le risorse alle stesse già assegnate, per ciascuno degli anni dal 2024 al 2028, nell'ambito del Piano strategico nazionale della mobilità sostenibile di cui all'articolo 1, commi da 613 a 615, della legge 11 dicembre 2016, n. 232, anche per il finanziamento di autobus ad uso extraurbano con alimentazione diesel o ibrida ad emissione di gas di scarico della normativa Euro più recente. Ciascuna regione o città metropolitana può utilizzare al predetto fine una quota non superiore al 25 per cento delle risorse complessivamente attribuitele per il quinquennio 2024-2028. Fermo restando il suddetto limite, ciascuna regione o città metropolitana interessata può utilizzare, per l'acquisto di autobus ad uso extraurbano con alimentazione diesel o ibrida, le risorse stanziate nel rispettivo programma di investimento, per gli investimenti in autobus ad uso extraurbano alimentati a metano nonché per la realizzazione delle relative infrastrutture di supporto.

527. Al comma 302 dell'articolo 1 della legge 30 dicembre 2023, n. 213, le parole: « con una dotazione di 7,5 milioni di euro per ciascuno degli anni 2024, 2025 e 2026 » sono sostituite dalle seguenti: « con una dotazione di 7,5 milioni di euro per l'anno 2024 e di 17,5 milioni di euro annui per ciascuno degli anni 2025 e 2026 ». Agli oneri derivanti dal presente comma, pari a 10 milioni di euro annui per ciascuno degli anni 2025 e 2026, si provvede mediante corrispondente riduzione dell'autorizzazione di spesa di cui all'articolo 1, comma 1076, della legge 27 dicembre 2017, n. 205.

528. All'articolo 1 della legge 30 dicembre 2023, n. 213, sono apportate le seguenti modificazioni:

a) il comma 272 è sostituito dal seguente:

« 272. Al fine di consentire l'approvazione da parte del CIPESS, entro l'anno 2024, del progetto definitivo del collegamento stabile tra la Sicilia e la Calabria ai sensi dell'articolo 3, commi 7 e 8, del decreto-legge 31 marzo 2023, n. 35, convertito, con modificazioni, dalla legge 26 maggio 2023, n. 58, nelle more dell'individuazione di fonti di finanziamento atte a ridurre l'onere a carico del bilancio dello Stato, è autorizzata la spesa complessiva di 6.962 milioni di euro, in ragione di 607 milioni di euro per l'anno 2024, 485 milioni di euro per l'anno 2025, 918 milioni di euro per l'anno 2026, 930 milioni di euro per l'anno 2028, 1.400 milioni di euro per l'anno 2029, 902 milioni di euro per l'anno 2030, 1.460 milioni di euro per l'anno 2031 e 260 milioni di euro per l'anno 2032 »;

b) al comma 273, dopo la lettera a) è inserita la seguente:

« a-bis) 3.882 milioni di euro a valere sulle risorse del Fondo per lo sviluppo e la coesione, periodo di programmazione 2021- 2027, di cui all'articolo 1, comma 177, della legge 30 dicembre 2020, n. 178 »;

c) dopo il comma 273 sono inseriti i seguenti:

« 273-bis. Con la deliberazione del CIPESS prevista dall'articolo 3, commi 7 e 8, del decreto-legge 31 marzo 2023, n. 35, convertito, con modificazioni, dalla legge 26 maggio 2023, n. 58, sono assegnate le risorse di cui al comma 273, lettera a-bis), e sono stabilite le rispettive annualità, in relazione al cronoprogramma procedurale e finanziario, nonché le modalità attuative per il trasferimento e l'utilizzo delle risorse. A seguito della deliberazione di cui al primo periodo, il Ministero delle infrastrutture e dei trasporti informa il CIPESS, entro il 31 marzo di ogni anno, fino all'entrata in esercizio dell'opera, circa il monitoraggio procedurale e finanziario, anche sulla base delle risultanze dei sistemi informativi, con aggiornamento delle previsioni di spesa. L'accordo per la coesione da definire tra il Ministro delle infrastrutture e dei trasporti e il Ministro per gli affari europei, il PNRR e le politiche di coesione, di cui all'articolo 1, comma 178, lettera c), della legge 30 dicembre 2020, n. 178, dà evidenza delle risorse annualmente destinate alla realizzazione dell'intervento ai sensi del presente comma.

273-ter. Per la realizzazione delle opere connesse alla realizzazione del collegamento stabile tra la Sicilia e la Calabria, come individuate dal CIPESS sulla base delle proposte trasmesse dal Ministero delle infrastrutture e dei trasporti all'esito della conferenza di servizi di cui all'articolo 3, comma 4, del decreto-legge 31 marzo 2023, n. 35, convertito, con modificazioni, dalla legge 26 maggio 2023, n. 58, è autorizzata la spesa complessiva di 500 milioni di euro, in ragione di 90 milioni di euro per l'anno 2027, 180 milioni di euro per l'anno 2028, 160 milioni di euro per l'anno 2029 e 70 milioni di euro per l'anno 2030 ».

529. Il comma 511 dell'articolo 1 della legge 29 dicembre 2022, n. 197, è sostituito dai seguenti:

« 511. Per la realizzazione di lotti funzionali del nuovo asse viario Sibari-Catanzaro della strada statale 106 Jonica è autorizzata la spesa complessiva di 2.150 milioni di euro, di cui 50 milioni di euro per ciascuno degli anni 2023 e 2024, 100 milioni di euro per l'anno 2027, 200 milioni di euro per l'anno 2031, 250 milioni di euro per l'anno 2032 e 300 milioni di euro per ciascuno degli anni dal 2033 al 2037.

511-bis. Per le finalità di cui al comma 511 è altresì autorizzata la spesa di 1.120,05 milioni di euro a valere sulle risorse del Fondo per lo sviluppo e la coesione, periodo di programmazione 2021-2027, di cui all'articolo 1, comma 177, della legge 30 dicembre 2020, n. 178. Con deliberazione del CIPESS, da adottare entro il 31 marzo 2025, sono assegnate le risorse di cui al primo periodo e stabilite le rispettive annualità in relazione al cronoprogramma procedurale e finanziario, nonché le modalità attuative per il trasferimento e l'utilizzo delle risorse. A seguito della deliberazione di cui al secondo periodo, il Ministero delle infrastrutture e dei trasporti informa il CIPESS, entro il 31 marzo di ogni anno, fino all'entrata in esercizio dell'opera, circa il monitoraggio procedurale e finanziario, anche sulla base delle risultanze dei sistemi informativi, con aggiornamento delle previsioni di spesa. L'accordo per la coesione da definire tra il Ministro delle infrastrutture e dei trasporti e il Ministro per gli affari europei, il PNRR e le politiche di coesione, di cui all'articolo 1, comma 178, lettera c), della legge 30 dicembre 2020, n. 178, dà evidenza delle risorse annualmente destinate alla realizzazione dell'intervento ai sensi del presente comma ».

530. Per il finanziamento dei fabbisogni residui e dei maggiori oneri derivanti dalla realizzazione degli interventi ferroviari previsti dal PNRR di competenza del Ministero delle infrastrutture e dei trasporti è autorizzata la spesa complessiva di 1.096 milioni di euro, di cui 482 milioni di euro per l'anno 2025 e 614 milioni di euro per l'anno 2026. Le risorse di cui al primo periodo sono inserite nel contratto di programma – parte investimenti stipulato tra la società Rete ferroviaria italiana Spa e il Ministero delle infrastrutture e dei trasporti, con evidenza degli investimenti a cui sono finalizzate.

531. Per il finanziamento dei fabbisogni residui e dei maggiori oneri derivanti dalla realizzazione dell'intervento relativo alla diga di Campolattaro previsto dal PNRR, di competenza del Ministero delle infrastrutture e dei trasporti, è autorizzata la spesa complessiva di 36 milioni di euro, di cui 18 milioni di euro per l'anno 2025 e 18 milioni di euro per l'anno 2026.

532. All'articolo 26 del decreto-legge 17 maggio 2022, n. 50, convertito, con modificazioni, dalla legge 15 luglio 2022, n. 91, sono apportate le seguenti modificazioni:

a) al comma 6-bis:

1) al primo periodo, le parole: « dal 1° gennaio 2023 al 31 dicembre 2024 » sono sostituite dalle seguenti: « dal 1° gennaio 2023 al 31 dicembre 2025 » e dopo le parole: « del citato codice di cui al decreto legislativo n. 50 del 2016, applicando » sono inserite le seguenti: « , in aumento o in diminuzione rispetto ai prezzi posti a base di gara, al netto dei ribassi formulati in sede di offerta, »;

2) al secondo periodo, le parole: « quarto periodo » sono sostituite dalle seguenti: « quinto periodo » e le parole: « quinto periodo » sono sostituite dalle seguenti: « sesto periodo »;

3) dopo il terzo periodo è inserito il seguente: « Gli eventuali minori importi derivanti dall'applicazione dei prezzari di cui al primo periodo rimangono nella disponibilità della stazione appaltante fino a quando non siano stati eseguiti i relativi collaudi o emessi i certificati di regolare esecuzione, per essere utilizzati nell'ambito del medesimo intervento »;

4) al quarto periodo sono aggiunte, in fine, le seguenti parole: « ; le somme derivanti da eventuali rimodulazioni del quadro economico degli interventi nonché della programmazione triennale ovvero dell'elenco annuale »;

5) al quinto periodo, le parole: « per l'anno 2023 e l'anno 2024 » sono sostituite dalle seguenti: « per gli anni 2023, 2024 e 2025 »;

6) al sesto periodo, le parole: « ed entro il 31 gennaio 2024 per l'anno 2024 » sono sostituite dalle seguenti: « , entro il 31 gennaio 2024 per l'anno 2024 ed entro il 31 gennaio 2025 per l'anno 2025 »;

b) al comma 6-ter, primo periodo, le parole: « dal 1° gennaio 2023 al 31 dicembre 2024 » sono sostituite dalle seguenti: « dal 1° gennaio 2023 al 31 dicembre 2025 »;

c) al comma 6-quater, le parole: « e di 100 milioni per l'anno 2025 » sono sostituite dalle seguenti: « , di 300 milioni per l'anno 2025 e di 100 milioni per l'anno 2026 »;

d) al comma 8:

1) al primo periodo, le parole: « Fino al 31 dicembre 2024 » sono sostituite dalle seguenti « Fino al 31 dicembre 2025 »;

2) al terzo periodo, le parole: « dal 1° gennaio 2022 e fino al 31 dicembre 2024 » sono sostituite dalle seguenti: « dal 1° gennaio 2022 e fino al 31 dicembre 2025 »;

e) al comma 12, secondo periodo, le parole: « 31 dicembre 2024 » sono sostituite dalle seguenti: « 31 dicembre 2025 ».

533. Per la realizzazione degli interventi di cui al Piano nazionale di interventi infrastrutturali e per la sicurezza nel settore idrico, di cui all'articolo 1, comma 516, della legge 27 dicembre 2017, n. 205, è autorizzata la spesa complessiva di 708 milioni di euro, di cui 120 milioni di euro per l'anno 2028, 160 milioni di euro per l'anno 2029 e 428 milioni di euro per l'anno 2030.

534. L'autorizzazione di spesa in favore della società Rete ferroviaria italiana Spa di cui all'articolo 1, comma 395, della legge 30 dicembre 2021, n. 234, è incrementata di complessivi 1.158 milioni di euro, di cui 89,09 milioni di euro per l'anno 2027, 117,55 milioni di euro per l'anno 2028, 6,6 milioni di euro per l'anno 2029, 8,29 milioni di euro per l'anno 2030, 83,57 milioni di euro per l'anno 2031, 108,15 milioni di euro per l'anno 2032, 174,75 milioni di euro per l'anno 2033 e 190 milioni di euro per ciascuno degli anni dal 2034 al 2036. Le risorse di cui al primo periodo sono prioritariamente destinate, nell'ambito dell'aggiornamento del contratto di programma tra il Ministero delle infrastrutture e dei trasporti e la società Rete ferroviaria italiana Spa, alla copertura dei maggiori fabbisogni degli interventi in corso di realizzazione e alla prosecuzione delle opere in corso.

535. Per il completamento degli interventi relativi al nuovo collegamento ferroviario Torino-Lione – sezione internazionale è autorizzata la spesa complessiva di 1.000 milioni di euro, di cui 158,91 milioni di euro per l'anno 2027, 82,45 milioni di euro per l'anno 2028, 173,4 milioni di euro per l'anno 2029, 281,71 milioni di euro per l'anno 2030, 206,43 milioni di euro per l'anno 2031, 81,85 milioni di euro per l'anno 2032 e 15,25 milioni di euro per l'anno 2033.

536. L'autorizzazione di spesa in favore della società Rete ferroviaria italiana Spa di cui all'articolo 1, comma 396, della legge 30 dicembre 2021, n. 234, è incrementata di complessivi 1.334 milioni di euro, di cui 248 milioni di euro per l'anno 2027, 36 milioni di euro per l'anno 2028, 10 milioni di euro per l'anno 2029, 90 milioni di euro per ciascuno degli anni 2030 e 2031, 190 milioni di euro per ciascuno degli anni al 2032 al 2034, 90 milioni di euro per l'anno 2035 e 200 milioni di euro per l'anno 2036.

537. Le risorse destinate alla società ANAS Spa per il finanziamento del contratto di programma 2021-2025 di cui all'articolo 1, comma 397, della legge 30 dicembre 2021, n. 234, sono incrementate di complessivi 2.022 milioni di euro, di cui 428 milioni di euro per l'anno 2027, 300 milioni di euro per l'anno 2028, 10 milioni di euro per l'anno 2029, 171 milioni di euro per ciascuno degli anni dal 2030 al 2033, 170 milioni di euro per l'anno 2034, 270 milioni di euro per l'anno 2035 e 160 milioni di euro per l'anno 2036. Le risorse di cui al primo periodo sono prioritariamente destinate, nell'ambito dell'aggiornamento del contratto di programma di cui al medesimo periodo, agli interventi di manutenzione straordinaria e programmata della rete e alla copertura dei maggiori fabbisogni delle opere in corso di realizzazione.

538. L'autorizzazione di spesa di cui all'articolo 1, comma 392, della legge 30 dicembre 2021, n. 234, è ridotta di 114,8 milioni di euro per l'anno 2029.

539. L'autorizzazione di spesa di cui all'articolo 1, comma 405, della legge 30 dicembre 2021, n. 234, è ridotta di 170 milioni di euro per l'anno 2030, di 180 milioni di euro per l'anno 2031, di 70 milioni di euro per l'anno 2033, di 70,3 milioni di euro per l'anno 2034, di 102 milioni di euro per l'anno 2035 e di 50 milioni di euro per l'anno 2036.

540. L'autorizzazione di spesa di cui all'articolo 1, comma 1076, della legge 27 dicembre 2017, n. 205, è ridotta di 275 milioni di euro per l'anno 2029, di 93,5 milioni di euro per l'anno 2030, di 202,1 milioni di euro per l'anno 2031, di 98,5 milioni di euro per l'anno 2033 e di 79 milioni di euro per l'anno 2034.

541. Al fine di dare corretta attuazione alle procedure dell'Unione europea in materia di agevolazioni fiscali, il Ministero dell'agricoltura, della sovranità alimentare e delle foreste è autorizzato ad adempiere agli obblighi di registrazione degli aiuti non subordinati all'emanazione di provvedimenti di concessione previsti dall'articolo 10, comma 6, del regolamento di cui al decreto del Ministro dello sviluppo economico n. 115 del 31 maggio 2017, pubblicato nella Gazzetta Ufficiale n. 175 del 28 luglio 2017, concernenti il credito d'imposta per gli investimenti nel Mezzogiorno di cui all'articolo 1, commi da 98 a 108, della legge 28 dicembre 2015, n. 208, per gli anni dal 2018 al 2022.

542. L'Agenzia delle entrate, successivamente alla registrazione di cui al comma 541, provvede agli adempimenti di cui al comma 1 del citato articolo 10 del decreto del Ministro dello sviluppo economico n. 115 del 31 maggio 2017.

543. Conclusi gli adempimenti di registrazione di cui ai commi 541 e 542 del presente articolo, qualora il credito d'imposta sia stato usufruito nei limiti e alle condizioni previste dalla normativa dell'Unione europea in materia di aiuti di Stato nei settori agricolo, forestale e delle zone rurali e ittico, è esclusa l'adozione degli atti di recupero di cui all'articolo 1, commi da 31 a 36, della legge 30 dicembre 2021, n. 234, nonché degli atti di recupero e degli avvisi di accertamento di cui, rispettivamente, agli articoli 38-bis e 42 del decreto del Presidente della Repubblica 29 settembre 1973, n. 600.

544. All'articolo 16-bis del decreto-legge 19 settembre 2023, n. 124, convertito, con modificazioni, dalla legge 13 novembre 2023, n. 162, concernente il credito d'imposta per investimenti nella ZES unica per il settore della produzione primaria di prodotti agricoli, della pesca e dell'acquacoltura, sono apportate le seguenti modificazioni:

a) al comma 1:

1) le parole: « Per l'anno 2024 » sono sostituite dalle seguenti: « Per gli anni 2024 e 2025 »;

2) dopo le parole: « 40 milioni di euro per l'anno 2024 » sono aggiunte le seguenti: « e di 50 milioni di euro per l'anno 2025 »;

b) al comma 2, dopo le parole: « fino al 15 novembre 2024 » sono inserite le seguenti: « e dal 1° gennaio 2025 al 15 novembre 2025 »;

c) dopo il comma 2 sono inseriti i seguenti:

« 2-bis. Per l'anno 2025, ai fini della fruizione del credito d'imposta di cui al presente articolo, i soggetti interessati comunicano all'Agenzia delle entrate, dal 31 marzo 2025 al 30 maggio 2025, l'ammontare delle spese ammissibili sostenute dal 1° gennaio 2025 e di quelle che prevedono di sostenere fino al 15 novembre 2025. A pena di decadenza dall'agevolazione, i soggetti interessati comunicano altresì, dal 20 novembre 2025 al 2 dicembre 2025, l'ammontare delle spese ammissibili sostenute dal 1° gennaio 2025 al 15 novembre 2025. Con provvedimento del direttore dell'Agenzia delle entrate, entro trenta giorni dalla data di entrata in vigore della presente disposizione, è approvato il modello di comunicazione da utilizzare per le finalità di cui al primo periodo e sono definite le relative modalità di trasmissione telematica. Per le finalità di cui al secondo periodo, i soggetti interessati si avvalgono del modello di comunicazione già approvato dal direttore dell'Agenzia delle entrate per l'anno 2024, con il contenuto e le modalità di trasmissione per esso previsti.

2-ter. Ai fini del rispetto del limite di spesa per l'anno 2025 di cui al comma 1, l'ammontare massimo del credito d'imposta fruibile da parte di ciascun beneficiario è pari all'importo del credito d'imposta richiesto moltiplicato per la percentuale comunicata con provvedimento del direttore dell'Agenzia delle entrate, da emanare entro dieci giorni dalla scadenza del termine di presentazione delle comunicazioni di cui al secondo periodo del comma 2-bis. La suddetta percentuale è ottenuta calcolando il rapporto tra il limite complessivo di spesa e l'ammontare complessivo dei crediti d'imposta richiesti. Nel caso in cui l'ammontare complessivo dei crediti d'imposta richiesti risulti inferiore al limite di spesa, la percentuale è pari al 100 per cento ».

545. Per quanto non espressamente previsto dall'articolo 16-bis del decreto-legge 19 settembre 2023, n. 124, convertito, con modificazioni, dalla legge 13 novembre 2023, n. 162, come modificato dal comma 544 del presente articolo, e dal comma 546, si applicano le disposizioni del decreto del Ministro dell'agricoltura, della sovranità alimentare e delle foreste 18 settembre 2024, pubblicato nella Gazzetta Ufficiale n. 264 dell'11 novembre 2024.

546. Il credito d'imposta di cui ai commi 544 e 545 è concesso nel rispetto dei limiti e delle condizioni, anche di comunicazione, pubblicazione e trasparenza, previsti dal regolamento (UE) 2022/2472 della Commissione, del 14 dicembre 2022, e dal regolamento (UE) 2022/2473 della Commissione, del 14 dicembre 2022, e in particolare dall'articolo 14 del regolamento (UE) 2022/2472 per le microimprese e le piccole e medie imprese operanti nella produzione primaria di prodotti agricoli, dagli articoli 41 e 42 del regolamento (UE) 2022/2472 per le imprese operanti nel settore forestale, dagli articoli 21, 24, 27, 29, 33, 36 del regolamento (UE) 2022/2473 per le imprese operanti nel settore della pesca e acquacoltura e dalla sezione 1.1.1.1 degli Orientamenti per gli aiuti di Stato nei settori agricolo e forestale e nelle zone rurali (2022/C 485/01) per le grandi imprese operanti nella produzione primaria di prodotti agricoli. Tali grandi imprese possono beneficiare del credito d'imposta di cui ai commi 544 e 545 del presente articolo, a valere sulle spese ammissibili effettuate nel periodo indicato al comma 2-bis dell'articolo 16-bis del decreto-legge 19 settembre 2023, n. 124, convertito, con modificazioni, dalla legge 13 novembre 2023, n. 162, introdotto dal comma 544 del presente articolo, a decorrere dalla data di notificazione della decisione di approvazione del regime di aiuto da parte della Commissione europea, alla quale è notificato ai sensi dell'articolo 108, paragrafo 3, del Trattato sul funzionamento dell'Unione europea. Il credito d'imposta è cumulabile con aiuti de minimis e con altri aiuti di Stato che abbiano ad oggetto i medesimi costi ammessi al beneficio, a condizione che tale cumulo non porti al superamento dell'intensità o dell'importo di aiuto più elevati consentiti dalle pertinenti discipline dell'Unione europea di riferimento.

547. Al fine di proseguire nelle attività di ricerca finalizzate alle sperimentazioni con tecniche di editing genomico mediante mutagenesi sito-diretta o di cisgenesi a fini sperimentali e scientifici, è concesso al Consiglio per la ricerca in agricoltura e l'analisi dell'economia agraria un contributo di 3 milioni di euro per ciascuno degli anni 2025, 2026 e 2027.

548. Al fine di assicurarne il funzionamento e la continuità nello svolgimento delle attività istituzionali e di servizio, è concesso al Consiglio per la ricerca in agricoltura e l'analisi dell'economia agraria un contributo di 6 milioni di euro per ciascuno degli anni 2025, 2026 e 2027.

549. Nelle more della realizzazione di un efficiente coordinamento informatico dei dati relativi al patrimonio zootecnico nazionale che garantisca l'operatività della Banca dati unica zootecnica (BDUZ) di cui all'articolo 4, comma 5, del decreto legislativo 11 maggio 2018, n. 52, al fine di assicurare la disponibilità, senza soluzione di continuità e in forma digitale e organizzata, dei dati di natura produttiva e riproduttiva, riconducibili all'ambito identificativo, di benessere animale, qualitativo, fisiologico e sanitario, è autorizzata la spesa di 3 milioni di euro per ciascuno degli anni 2025, 2026 e 2027 per la prosecuzione del Progetto LEO Livestock Environment Opendata.

550. All'articolo 1, comma 426, della legge 29 dicembre 2022, n. 197, dopo le parole: « alle cultivar IGP, » sono inserite le seguenti: « nonché della ricerca per la promozione della competitività dell'agricoltura italiana attraverso lo sviluppo di tecnologie digitali per la meccatronica in agricoltura e la modellizzazione dei sistemi agroalimentari, ».

551. All'articolo 18 della legge 11 febbraio 1992, n. 157, sono apportate le seguenti modificazioni:

a) al comma 1, alinea, è premesso il seguente periodo: « L'esercizio venatorio è legittimato e autorizzato dalla presente legge per ciascuna intera annata venatoria »;

b) al comma 2, primo periodo:

1) le parole: « e con l'indicazione, per ciascuna specie cacciabile, del » sono sostituite dalle seguenti: « , al fine di indicare, per ciascuna specie cacciabile, il »;

2) dopo le parole: « di cui è consentito il prelievo e » sono inserite le seguenti: « l'orario giornaliero dell'attività venatoria, nel rispetto dei limiti temporali di cui al comma 7, »;

c) al comma 3, le parole: « sentito l'Istituto nazionale per la fauna selvatica » sono sostituite dalle seguenti: « sentiti l'ISPRA e il Comitato tecnico faunistico-venatorio nazionale »;

d) il comma 4 è sostituito dal seguente:

« 4. Il termine di impugnazione dei calendari venatori è di trenta giorni decorrenti dalla data della loro pubblicazione nel Bollettino ufficiale della regione. In caso di impugnazione del calendario venatorio, le associazioni venatorie riconosciute sono parti necessarie del giudizio. Qualora sia proposta la domanda cautelare, si applica l'articolo 119, comma 3, del codice del processo amministrativo, di cui all'allegato 1 al decreto legislativo 2 luglio 2010, n. 104. Qualora la domanda cautelare sia accolta, fino alla pubblicazione della sentenza che definisce il merito, l'attività venatoria è consentita nei termini di cui ai commi 1 e 1-bis e riacquistano efficacia i limiti di prelievo e gli orari giornalieri fissati da ciascuna regione con l'ultimo calendario venatorio legittimamente applicato ».

552. Al testo unico delle imposte sui redditi, di cui al decreto del Presidente della Repubblica 22 dicembre 1986, n. 917, sono apportate le seguenti modificazioni:

a) all'articolo 50, comma 1, in materia di redditi assimilati a quelli di lavoro dipendente, è aggiunta, in fine, la seguente lettera:

« l-bis) i compensi corrisposti agli addetti al controllo e alla disciplina delle corse ippiche e delle manifestazioni del cavallo da sella autorizzate ai fini dell'esercizio di scommesse sportive, iscritti in apposito registro tenuto dall'autorità vigilante »;

b) all'articolo 52, comma 1, in materia di determinazione dei redditi assimilati a quelli di lavoro dipendente, è aggiunta, in fine, la seguente lettera:

« d-bis.1) i compensi di cui alla lettera l-bis) del comma 1 dell'articolo 50 costituiscono reddito per la parte che eccede complessivamente nel periodo d'imposta euro 15.000 ».

553. All'articolo 2 della legge 8 agosto 1995, n. 335, sono apportate le seguenti modificazioni:

a) al comma 26 è aggiunto, in fine, il seguente periodo: « A decorrere dal 1° gennaio 2025, sono tenuti all'iscrizione gli addetti al controllo e alla disciplina delle corse ippiche e delle manifestazioni del cavallo da sella sulle quali è autorizzato l'esercizio di scommesse sportive, iscritti in apposito registro tenuto dall'autorità vigilante »;

b) dopo il comma 29 è inserito il seguente:

« 29-bis. Per i soggetti di cui al terzo periodo del comma 26, il contributo alla Gestione separata di cui al medesimo comma è dovuto nella misura del 25 per cento ed è applicato sulla parte di reddito eccedente l'ammontare di 5.000 euro annui dei compensi percepiti per le attività considerate. Il versamento del contributo è posto a carico dell'iscritto per un terzo e a carico del Ministero dell'agricoltura, della sovranità alimentare e delle foreste per due terzi. Fino al 31 dicembre 2027, la contribuzione alla Gestione separata è dovuta nel limite del 50 per cento dell'imponibile contributivo. L'imponibile pensionistico è ridotto in misura equivalente. Sul medesimo imponibile sono applicate, inoltre, le aliquote aggiuntive ai fini delle prestazioni non pensionistiche. Per quanto non disciplinato dal presente comma, si applicano le disposizioni dei commi da 26 a 32 ».

554. Dopo l'articolo 10-bis del decreto-legge 13 giugno 2023, n. 69, convertito, con modificazioni, dalla legge 10 agosto 2023, n. 103, è inserito il seguente:

« Art. 10-ter. – (Organismo di composizione delle situazioni debitorie connesse al prelievo supplementare nel settore del latte e dei prodotti lattiero-caseari) – 1. Al fine di superare il contenzioso relativo al prelievo supplementare nel settore del latte e dei prodotti lattiero-caseari e di favorire la risoluzione definitiva delle controversie in atto, garantendo altresì l'adeguamento ai relativi obblighi derivanti dal quadro normativo europeo, presso il Ministero dell'agricoltura, della sovranità alimentare e delle foreste è istituito un organismo collegiale, composto da un magistrato della Corte dei conti, anche in quiescenza, che svolge le funzioni di presidente, designato dal Presidente della Corte dei conti, da un avvocato dello Stato, anche in quiescenza, designato dall'Avvocato generale dello Stato, e da un dirigente dell'Agenzia per le erogazioni in agricoltura (AGEA), designato dal direttore dell'AGEA. I componenti sono nominati con decreto del Ministro dell'agricoltura, della sovranità alimentare e delle foreste e rimangono in carica per tre anni.

2. L'organismo di cui al comma 1 ha il potere di definire in via transattiva, su istanza di parte, nei limiti e con le modalità di cui al presente articolo, le posizioni debitorie pendenti e connesse al prelievo supplementare nel settore del latte e dei prodotti lattiero-caseari, relative alle campagne lattiere nei periodi dal 1995/1996 al 2008/2009, iscritte nel Registro nazionale dei debiti di cui all'articolo 8-ter del decreto-legge 10 febbraio 2009, n. 5, convertito, con modificazioni, dalla legge 9 aprile 2009, n. 33.

3. L'organismo di cui al comma 1 verifica i requisiti di ammissibilità dell'istanza e formula, avvalendosi dei competenti uffici dell'AGEA, una proposta transattiva e non novativa, secondo le seguenti modalità:

a) applicazione dei criteri di cui all'articolo 10-bis, commi 2 e 3;

b) applicazione di una riduzione del prelievo dovuto nella misura massima dello 0,3 per cento annuo a partire dall'anno successivo alla campagna lattiera di riferimento del debito, elevabile fino allo 0,5 per cento per i produttori in attività alla data di presentazione dell'istanza;

c) applicazione di una riduzione degli interessi dovuti ai sensi dell'articolo 10-bis nella misura massima del 50 per cento.

4. L'organismo di cui al comma 1, entro novanta giorni dalla data di presentazione dell'istanza, trasmette alla parte interessata la proposta transattiva, condizionandone l'efficacia alla rinuncia a tutti i contenziosi inerenti ai debiti oggetto della proposta, pendenti in ogni stato e grado dinanzi a qualsiasi autorità giurisdizionale, e all'espressa acquiescenza a eventuali sentenze per le quali, alla data della proposta, non sono ancora scaduti i termini di impugnazione.

5. L'istante, entro trenta giorni dalla ricezione della proposta transattiva, può comunicare l'accettazione o il rifiuto della proposta ovvero domandare di essere audito dall'organismo di cui al comma 1.

6. In caso di accettazione della proposta, l'organismo di cui al comma 1 redige un verbale, trasmesso all'istante per la firma digitale, nel quale è riprodotta, unitamente alla proposta transattiva, la dichiarazione di rinuncia ai contenziosi giurisdizionali pendenti e di acquiescenza a eventuali sentenze per le quali, alla data della proposta, non sono ancora scaduti i termini di impugnazione. Il verbale è sottoscritto digitalmente e restituito entro quindici giorni dalla ricezione. Entro centoventi giorni dalla data di ricezione del verbale sottoscritto, l'istante provvede al pagamento della somma quantificata in sede transattiva.

7. In caso di audizione dinanzi all'organismo di cui al comma 1, l'istante può rappresentare elementi ulteriori di valutazione che diano conto della riduzione della produzione, anche dovuta a calamità naturali, fattori economici imprevedibili, situazioni sanitarie eccezionali o circostanze di perdurante crisi internazionale incidenti sull'approvvigionamento delle risorse. Tenuto conto degli elementi forniti dall'istante, l'organismo di cui al comma 1 può formulare una nuova proposta transattiva applicando una riduzione nella misura massima del 10 per cento rispetto alla precedente proposta. L'istante, nei successivi dieci giorni, può accettare la nuova proposta transattiva. In caso di accettazione si applicano le disposizioni del comma 6.

8. Al rifiuto della proposta transattiva da parte dell'istante o all'inutile decorso del termine di trenta giorni di cui al comma 5 consegue la decadenza dalla possibilità di accedere alla transazione e ai benefìci previsti dal presente articolo. Restano dovute le somme iscritte nel Registro nazionale dei debiti di cui all'articolo 8-ter del decreto-legge 10 febbraio 2009, n. 5, convertito, con modificazioni, dalla legge 9 aprile 2009, n. 33.

9. Dalla data di presentazione dell'istanza fino al decorso del termine di centoventi giorni di cui al comma 6, sono sospese le procedure di riscossione e di recupero dei debiti per compensazione con gli aiuti dell'Unione europea. In caso di mancata conclusione della transazione, le medesime procedure di riscossione e di recupero sono riattivate a decorrere dalla data di ricezione del verbale di esito negativo della transazione. Ai fini del presente comma, l'AGEA trasmette tempestivamente per via telematica all'agente della riscossione i necessari provvedimenti di sospensione della riscossione e di eventuale revoca della stessa sospensione.

10. Il compenso dei componenti dell'organismo di cui al comma 1 è costituito da una parte fissa annua, onnicomprensiva e al lordo degli oneri a carico dell'amministrazione, pari a 20.000 euro per il presidente e a 10.000 euro per ciascun componente, per ciascuno degli anni 2025, 2026 e 2027, e da una parte variabile, determinata nella percentuale dello 0,5 per cento del valore di ciascuna transazione conclusa, complessivo per tutti i componenti. Nel verbale di transazione di cui al comma 6 è indicato l'ammontare delle somme dovute dall'istante destinate al compenso dei componenti dell'organismo. Le somme così individuate sono accantonate da parte del Ministero dell'agricoltura, della sovranità alimentare e delle foreste e liquidate trimestralmente con decreto del Ministro dell'agricoltura, della sovranità alimentare e delle foreste, di concerto con il Ministro dell'economia e delle finanze. Il compenso di cui al primo periodo, comprensivo della parte fissa e di quella variabile, non può essere superiore a 120.000 euro annui per il presidente e a 100.000 euro annui per i componenti e rientra nell'ambito applicativo delle disposizioni di cui agli articoli 23-ter, comma 1, del decreto-legge 6 dicembre 2011, n. 201, convertito, con modificazioni, dalla legge 22 dicembre 2011, n. 214, e 1, comma 489, della legge 27 dicembre 2013, n. 147 ».

555. Al fine di contrastare la diffusione della febbre catarrale degli ovini, malattia denominata « lingua blu », mediante l'adozione di misure di prevenzione e di profilassi nonché di ripristino del patrimonio zootecnico degli allevamenti, è concesso, per l'anno 2025, un contributo a fondo perduto, nel limite di spesa complessivo di 10 milioni di euro, in favore delle imprese zootecniche che abbiano subìto danni in conseguenza dell'abbattimento di capi infetti. Con decreto del Ministro dell'agricoltura, della sovranità alimentare e delle foreste, di concerto con il Ministro della salute, da adottare entro sessanta giorni dalla data di entrata in vigore della presente legge, sono definiti i criteri, le modalità e le procedure di erogazione dei contributi di cui al primo periodo.

556. Le disposizioni del comma 555 si applicano nel rispetto della normativa dell'Unione europea in materia di aiuti di Stato.

557. Agli oneri derivanti dai commi 555 e 556, pari a 10 milioni di euro per l'anno 2025, si provvede mediante corrispondente riduzione del Fondo di cui all'articolo 1, comma 443, della legge 30 dicembre 2023, n. 213.

558. Al fine di assicurare un sostegno alle aziende agricole che sottoscrivono polizze assicurative agricole finanziabili esclusivamente da misure di intervento nazionali, la dotazione del Fondo di solidarietà nazionale – incentivi assicurativi, di cui all'articolo 15, comma 2, primo periodo, del decreto legislativo 29 marzo 2004, n. 102, è incrementata di 15 milioni di euro per l'anno 2025.

559. Al fine di ottimizzare l'utilizzo delle risorse dell'Unione europea, le Autorità di gestione dei programmi di sviluppo rurale regionali possono ridurre la quota di cofinanziamento nazionale di ciascun programma relativo al periodo di programmazione 2014-2022, fino a concorrenza dei tassi massimi di partecipazione del Fondo europeo agricolo per lo sviluppo rurale (FEASR), di cui all'articolo 59, paragrafo 3, del regolamento (UE) n. 1305/2013 del Parlamento europeo e del Consiglio, del 17 dicembre 2013.

560. Le risorse a valere sui bilanci delle regioni e delle province autonome nonché le corrispondenti risorse a carico del fondo di rotazione di cui all'articolo 5 della legge 16 aprile 1987, n. 183, rivenienti dalla riduzione della quota di cofinanziamento di cui al comma 559 del presente articolo, restano assegnate, come stanziamenti aggiuntivi nazionali, ai medesimi programmi di sviluppo rurale relativi al periodo di programmazione 2014-2022, previa adozione da parte della Commissione europea delle rispettive decisioni di modifica dei medesimi programmi.

561. Le risorse nazionali aggiuntive di cui al comma 560, non ancora erogate al termine del periodo di programmazione 2014-2022, sono destinate alla liquidazione degli impegni residui di spesa assunti nel corso del medesimo periodo di programmazione. Fermo restando quanto previsto al primo periodo, le risorse di cui al presente comma che, a norma dell'articolo 155 del regolamento (UE) 2021/2115 del Parlamento europeo e del Consiglio, del 2 dicembre 2021, risultano ammissibili in relazione al periodo di programmazione 2023-2027 sono riallocate, come stanziamenti nazionali aggiuntivi, nel piano strategico della Politica agricola comune per il periodo 2023-2027, previa adozione da parte della Commissione europea della decisione di modifica del medesimo piano strategico.

562. I residui dello stanziamento di cui all'articolo 68-ter del decreto-legge 25 maggio 2021, n. 73, convertito, con modificazioni, dalla legge 23 luglio 2021, n. 106, sono destinati alle medesime finalità di cui al comma 561 del presente articolo.

563. La dotazione finanziaria del Programma nazionale triennale della pesca e dell'acquacoltura, di cui all'articolo 2, comma 5-decies, del decreto-legge 29 dicembre 2010, n. 225, convertito, con modificazioni, dalla legge 26 febbraio 2011, n. 10, da adottare entro il 30 gennaio 2025, è incrementata di 250.000 euro per l'anno 2025 e di 1 milione di euro per ciascuno degli anni 2026 e 2027. Agli oneri derivanti dal presente comma, pari a 250.000 euro per l'anno 2025 e a 1 milione di euro per ciascuno degli anni 2026 e 2027, si provvede mediante corrispondente riduzione del Fondo di cui all'articolo 1, comma 200, della legge 23 dicembre 2014, n. 190, come rifinanziato ai sensi del comma 884 del presente articolo.

564. Il Fondo di cui all'articolo 1, comma 757, della legge 30 dicembre 2020, n. 178, è incrementato di 0,5 milioni di euro per ciascuno degli anni 2025, 2026 e 2027. Agli oneri derivanti dal presente comma, pari a 0,5 milioni di euro per ciascuno degli anni 2025, 2026 e 2027, si provvede mediante corrispondente riduzione del Fondo di cui all'articolo 1, comma 200, della legge 23 dicembre 2014, n. 190, come rifinanziato ai sensi del comma 884 del presente articolo.

565. Nello stato di previsione del Ministero dell'istruzione e del merito è istituito un fondo per la valorizzazione del sistema scolastico, con una dotazione di 122 milioni di euro per l'anno 2025, di 189 milioni di euro per l'anno 2026 e di 75 milioni di euro annui a decorrere dall'anno 2027.

566. All'articolo 4 della legge 8 agosto 2024, n. 121, sono apportate le seguenti modificazioni:

a) al comma 1, le parole: « volta alla » sono sostituite dalle seguenti: « e per la » e le parole: « e 5 milioni di euro per ciascuno degli anni 2025 e 2026 » sono sostituite dalle seguenti: « , di 5 milioni di euro per l'anno 2025 e di 20 milioni di euro per l'anno 2026 »;

b) il comma 2 è sostituito dal seguente:

« 2. Ai fini dell'assegnazione delle risorse del Fondo di cui al comma 1, le candidature per la realizzazione di interventi infrastrutturali correlati agli accordi istitutivi dei campus di cui all'articolo 25-bis, comma 3, del decreto-legge 23 settembre 2022, n. 144, convertito, con modificazioni, dalla legge 17 novembre 2022, n. 175, devono prevedere la partecipazione a tali accordi degli Istituti tecnologici superiori (ITS Academy), delle università o delle istituzioni di alta formazione artistica, musicale e coreutica e di altri soggetti privati finanziatori e devono indicare la disponibilità dell'area ove realizzare i relativi interventi. Per la valutazione delle candidature di cui al primo periodo, da presentare entro il 31 marzo 2025, il Ministero dell'istruzione e del merito costituisce una commissione paritetica, composta da tre componenti designati dal Ministro dell'istruzione e del merito e da tre componenti designati dalla Conferenza delle regioni e delle province autonome. Ai componenti della commissione paritetica non spettano compensi, indennità, emolumenti, gettoni di presenza, rimborsi di spese o altre utilità, comunque denominate. Le risorse del Fondo di cui al comma 1 sono assegnate dal Ministero dell'istruzione e del merito alle regioni e sono destinate a sostenere i costi della progettazione di fattibilità tecnico-economica e a fornire un contributo statale all'avvio della realizzazione degli interventi infrastrutturali di cui al primo periodo ».

567. Allo scopo di garantire la continuità didattica per gli alunni con disabilità, la dotazione dell'organico dell'autonomia è incrementata di 1.866 posti di sostegno a decorrere dall'anno scolastico 2025/2026 e di 134 posti di sostegno a decorrere dall'anno scolastico 2026/2027. Ai relativi oneri, pari a 24,99 milioni di euro per l'anno 2025, a 87,5 milioni di euro per l'anno 2026, a 89,17 milioni di euro per l'anno 2027, a 88,98 milioni di euro per ciascuno degli anni dal 2028 al 2031, a 91,72 milioni di euro per l'anno 2032, a 92,97 milioni di euro per l'anno 2033 e a 93,05 milioni di euro annui a decorrere dall'anno 2034, si provvede, quanto a 24,99 milioni di euro per l'anno 2025 e a 75 milioni di euro annui a decorrere dall'anno 2026, mediante corrispondente riduzione delle risorse del fondo per la valorizzazione del sistema scolastico, di cui al comma 565, e, quanto a 12,5 milioni di euro per l'anno 2026, a 14,17 milioni di euro per l'anno 2027, a 13,98 milioni di euro annui per ciascuno degli anni dal 2028 al 2031, a 16,72 milioni di euro per l'anno 2032, a 17,97 milioni di euro per l'anno 2033 e a 18,05 milioni di euro annui a decorrere dal 2034, mediante corrispondente riduzione del Fondo per interventi strutturali di politica economica di cui all'articolo 10, comma 5, del decreto-legge 29 novembre 2004, n. 282, convertito, con modificazioni, dalla legge 27 dicembre 2004, n. 307.

568. Al fine di garantire, a decorrere dall'anno scolastico 2025/2026, il supporto alle istituzioni scolastiche nell'espletamento delle attività in materia di affidamento ed esecuzione dei contratti di lavori, servizi e forniture, anche mediante lo svolgimento delle attività disciplinate dall'articolo 62 del codice dei contratti pubblici, di cui al decreto legislativo 31 marzo 2023, n. 36, il Ministero dell'istruzione e del merito è autorizzato a bandire un concorso pubblico, per titoli ed esami, per l'assunzione a tempo indeterminato, a decorrere dall'anno 2025, di 101 unità di personale non dirigenziale da inquadrare nell'Area dei funzionari del contratto collettivo nazionale di lavoro 2019-2021 – Comparto funzioni centrali, da destinare agli uffici scolastici regionali. La procedura concorsuale di cui al primo periodo si svolge secondo le modalità previste dall'articolo 35-quater, comma 3-bis, del decreto legislativo 30 marzo 2001, n. 165.

569. Agli oneri derivanti dal comma 568, pari a 1.860.208 euro per l'anno 2025, di cui 200.000 euro per lo svolgimento della procedura concorsuale, e a 4.980.622 euro annui a decorrere dall'anno 2026, si provvede, quanto a euro 1.860.208 per l'anno 2025, mediante utilizzo delle risorse di cui all'articolo 2, comma 3, del decreto-legge 29 ottobre 2019, n. 126, convertito, con modificazioni, dalla legge 20 dicembre 2019, n. 159, quanto a euro 4.832.194 per l'anno 2027 e a euro 1.832.203 annui a decorrere dall'anno 2028, mediante corrispondente riduzione delle risorse del fondo di cui all'articolo 1, comma 202, della legge 13 luglio 2015, n. 107, e, quanto a euro 3.148.419 annui a decorrere dall'anno 2028, mediante corrispondente riduzione delle risorse del fondo di cui all'articolo 4 della legge 18 dicembre 1997, n. 440.

570. Il contributo di cui all'articolo 1-quinquies, comma 1, del decreto-legge 29 marzo 2016, n. 42, convertito, con modificazioni, dalla legge 26 maggio 2016, n. 89, è incrementato di 50 milioni di euro per l'anno 2025 e di 10 milioni di euro annui a decorrere dall'anno 2026.

571. Agli oneri derivanti dal comma 570, pari a 50 milioni di euro per l'anno 2025 e a 10 milioni di euro annui a decorrere dall'anno 2026, si provvede mediante corrispondente riduzione del Fondo per interventi strutturali di politica economica di cui all'articolo 10, comma 5, del decreto-legge 29 novembre 2004, n. 282, convertito, con modificazioni, dalla legge 27 dicembre 2004, n. 307.

572. All'articolo 1, comma 121, della legge 13 luglio 2015, n. 107, sono apportate le seguenti modificazioni:

a) al primo periodo, dopo le parole: « del docente di ruolo » sono inserite le seguenti: « e del docente con contratto di supplenza annuale su posto vacante e disponibile »;

b) al secondo periodo, le parole: « nominale di euro » sono sostituite dalle seguenti: « fino a euro »;

c) è aggiunto, in fine, il seguente periodo: « Con decreto del Ministro dell'istruzione e del merito, di concerto con il Ministro dell'economia e delle finanze, sono definiti i criteri e le modalità di assegnazione della Carta nonché annualmente l'importo nominale della stessa sulla base del numero dei docenti di cui al primo periodo e delle risorse di cui al comma 123 ».

573. L'autorizzazione di spesa di cui all'articolo 1, comma 123, della legge 13 luglio 2015, n. 107, è incrementata di 60 milioni di euro annui a decorrere dall'anno 2025.

574. All'articolo 1 della legge 13 luglio 2015, n. 107, dopo il comma 122 è inserito il seguente:

« 122-bis. Al fine di rafforzare la capacità di programmazione, monitoraggio e valutazione della spesa, in coerenza con quanto previsto nel Piano strutturale di bilancio di medio termine 2025-2029, entro il mese di settembre di ogni anno, il Ministero dell'istruzione e del merito trasmette al Ministero dell'economia e delle finanze una relazione sul monitoraggio dell'utilizzo della Carta di cui al comma 121 ».

575. Per le finalità di cui all'articolo 2 della legge 24 novembre 2023, n. 187, il Fondo per le politiche relative ai diritti e alle pari opportunità, di cui all'articolo 19, comma 3, del decreto-legge 4 luglio 2006, n. 223, convertito, con modificazioni, dalla legge 4 agosto 2006, n. 248, è incrementato di 2 milioni di euro annui a decorrere dall'anno 2025.

576. Agli oneri derivanti dall'attuazione del comma 575, pari a 2 milioni di euro annui a decorrere dall'anno 2025, si provvede mediante corrispondente riduzione del Fondo di cui all'articolo 1, comma 200, della legge 23 dicembre 2014, n. 190, come rifinanziato ai sensi del comma 884 del presente articolo.

577. Al fine di potenziare i servizi e le iniziative in favore degli studenti con disabilità di cui all'articolo 12 della legge 5 febbraio 1992, n. 104, degli studenti con invalidità superiore al 66 per cento nonché degli studenti con certificazione di disturbo specifico dell'apprendimento, l'autorizzazione di spesa di cui all'articolo 1, comma 584, della legge 29 dicembre 2022, n. 197, è incrementata di 500.000 euro annui a decorrere dall'anno 2025. Agli oneri derivanti dal presente comma, pari a 500.000 euro annui a decorrere dall'anno 2025, si provvede mediante corrispondente riduzione del Fondo di cui all'articolo 1, comma 200, della legge 23 dicembre 2014, n. 190, come rifinanziato ai sensi del comma 884 del presente articolo.

578. Il Fondo per le politiche relative ai diritti e alle pari opportunità di cui all'articolo 19, comma 3, del decreto-legge 4 luglio 2006, n. 223, convertito, con modificazioni, dalla legge 4 agosto 2006, n. 248, è incrementato di 500.000 euro per l'anno 2025 al fine di promuovere, nell'ambito dei piani triennali dell'offerta formativa, interventi educativi e corsi di informazione e prevenzione rivolti a studenti delle scuole secondarie di primo e di secondo grado, relativamente alle tematiche della salute sessuale e dell'educazione sessuale e affettiva.

579. Il Ministero dell'università e della ricerca sostiene le attività dei centri nazionali e dei partenariati estesi, nonché le iniziative di ricerca per tecnologie e percorsi innovativi in ambito sanitario e assistenziale del Piano nazionale per gli investimenti complementari al PNRR, al fine di consentirne il consolidamento nel tempo e la sostenibilità economico-finanziaria al termine del periodo di attuazione del PNRR. Il cofinanziamento è condizionato al rispetto degli obiettivi stabiliti dai seguenti indicatori chiave di prestazione:

a) affidabilità, intesa come la capacità di coordinare e realizzare progetti complessi secondo la tempistica e le modalità definite in fase di presentazione;

b) impatto economico e sostenibilità, intesa come la capacità di attrarre risorse dall'esterno, per rendere sostenibile, almeno in termini di cofinanziamento, l'attività anche al termine del periodo di attuazione del PNRR;

c) impatto sulla società, intesa come la capacità di avere impatto sulla comunità scientifica e sulle comunità socio-economiche di riferimento, anche mediante nuove forme organizzative e il coinvolgimento di attori pubblici e privati oltre quelli iniziali;

d) impatto sulle politiche di riferimento, intesa come la capacità di fornire indicazioni, attraverso la redazione di libri bianchi o l'elaborazione di proposte di politiche da adottare nei rispettivi ambiti, finalizzate al superamento delle criticità, tenuto conto della sostenibilità politica delle stesse;

e) impatto sulle strutture comuni (building capacity), intesa come la capacità di creare infrastrutture e laboratori ovvero servizi per la ricerca applicata in modalità partecipata, anche in sinergia con le imprese, nonché di creare valore mediante l'innovazione e la proprietà intellettuale.

580. Con decreto del Ministro dell'università e della ricerca, sentiti gli altri Ministri interessati, da adottare entro novanta giorni dalla data di entrata in vigore della presente legge, sono stabiliti gli indicatori chiave di prestazione di cui al comma 579 nonché le modalità per il monitoraggio del raggiungimento degli obiettivi previsti dagli indicatori stessi e la rendicontazione delle spese sostenute.

581. Per le finalità di cui al comma 579, nello stato di previsione del Ministero dell'università e della ricerca è istituto un apposito fondo con una dotazione di 150 milioni di euro per ciascuno degli anni 2027 e 2028.

582. Con decreto del Ministro dell'università e della ricerca, da adottare entro il 30 giugno di ogni anno, sono individuati i centri nazionali e i partenariati estesi, nonché le iniziative di ricerca per tecnologie e percorsi innovativi in ambito sanitario e assistenziale, in possesso dei requisiti di cui al comma 579, ammessi al riparto delle risorse di cui al comma 581.

583. All'articolo 1 della legge 30 dicembre 2021, n. 234, sono apportate le seguenti modificazioni:

a) al comma 947, secondo periodo, le parole: « tra i quali, in particolare, la Fondazione Toscana Life Sciences (TLS), » sono soppresse;

b) al comma 948 sono aggiunti, in fine, i seguenti periodi: « Alla Fondazione possono essere concessi in uso a titolo gratuito e con oneri di ordinaria e straordinaria manutenzione a carico della stessa Fondazione, beni immobili appartenenti al demanio e al patrimonio disponibile dello Stato. La concessione in uso di beni di particolare valore artistico e storico è effettuata d'intesa con il Ministero della cultura, nel rispetto della normativa vigente ».

584. L'autorizzazione di spesa di cui all'articolo 1, comma 2, lettera i), numero 1, del decreto-legge 6 maggio 2021, n. 59, convertito, con modificazioni, dalla legge 1° luglio 2021, n. 101, è incrementata di euro 90.475.000 per l'anno 2025.

585. Lo stanziamento iscritto nello stato di previsione della spesa del Ministero dell'università e della ricerca e destinato ai collegi di merito accreditati di cui al decreto legislativo 29 marzo 2012, n. 68, è incrementato di 2 milioni di euro annui a decorrere dall'anno 2025.

586. Possono accedere ai contributi finanziati con le risorse di cui al comma 585 soltanto gli enti che erogano un numero di borse di studio o di agevolazioni in favore degli studenti del collegio di merito per un importo complessivo superiore a un terzo della sommatoria delle rette percepite per l'anno accademico di riferimento. In sede di accertamento dei requisiti di accreditamento di cui all'articolo 6, comma 1, del decreto del Ministro dell'istruzione, dell'università e della ricerca n. 673 dell'8 settembre 2016, il Ministero dell'università e della ricerca verifica il rispetto dei requisiti di cui al primo periodo per l'accesso al contributo.

587. Agli oneri derivanti dal comma 585, pari a 2 milioni di euro annui a decorrere dall'anno 2025, si provvede mediante corrispondente riduzione del Fondo di cui all'articolo 1, comma 200, della legge 23 dicembre 2014, n. 190, come rifinanziato ai sensi del comma 884 del presente articolo.

588. È concesso un contributo di 1 milione di euro per l'anno 2025, di 2 milioni di euro per l'anno 2026 e di 1 milione di euro per l'anno 2027 in favore dell'Università degli studi Mediterranea di Reggio Calabria, per investimenti finalizzati all'acquisizione e alla ristrutturazione di immobili da destinare alla realizzazione del progetto « Campus universitario del Mediterraneo », quale luogo di scambio interdisciplinare e multifunzionale tra studenti, docenti, ricercatori e cittadini, con annessi alloggi universitari, destinato agli studenti meritevoli italiani e stranieri, con particolare riguardo a quelli provenienti dal bacino del Mediterraneo e da particolari aree di crisi umanitaria.

589. Le modalità di attuazione del comma 588 sono definite con decreto del Ministro dell'università e della ricerca, di concerto con il Ministro dell'economia e delle finanze, da adottare entro novanta giorni dalla data di entrata in vigore della presente legge. Il decreto di cui al primo periodo stabilisce i termini di realizzazione degli interventi e le modalità di revoca del contributo nel caso in cui tali termini non siano rispettati, prevedendo il versamento delle somme revocate all'entrata del bilancio dello Stato.

590. Agli oneri derivanti dal comma 588, pari a 1 milione di euro per l'anno 2025, a 2 milioni di euro per l'anno 2026 e a 1 milione di euro per l'anno 2027, si provvede mediante corrispondente riduzione del Fondo di cui all'articolo 1, comma 200, della legge 23 dicembre 2014, n. 190, come rifinanziato ai sensi del comma 884 del presente articolo.

591. Al fine di garantire lo sviluppo del sistema della ricerca italiano e di valorizzare il personale precario, al Consiglio nazionale delle ricerche è attribuito un contributo di 9 milioni di euro per l'anno 2025, di 12,5 milioni di euro per l'anno 2026 e di 10,5 milioni di euro annui a decorrere dall'anno 2027, per l'assunzione di ricercatori, tecnologi, tecnici e personale amministrativo in possesso dei requisiti di cui all'articolo 20, commi 1 e 2, del decreto legislativo 25 maggio 2017, n. 75. Agli oneri derivanti dal presente comma, pari a 9 milioni di euro per l'anno 2025, a 12,5 milioni di euro per l'anno 2026 e a 10,5 milioni di euro annui a decorrere dall'anno 2027, si provvede mediante corrispondente riduzione del Fondo di cui all'articolo 1, comma 200, della legge 23 dicembre 2014, n. 190, come rifinanziato ai sensi del comma 884 del presente articolo.

592. Al fine di sostenere la realizzazione di una campagna nazionale di scavi archeologici nei parchi archeologici nazionali, di interventi per la sicurezza e la conservazione nonché di attività finalizzate alla tutela delle aree e delle zone di interesse archeologico, l'autorizzazione di spesa di cui all'articolo 1, comma 333, della legge 30 dicembre 2023, n. 213, è incrementata di 3 milioni di euro annui a decorrere dal 2025.

593. All'articolo 65-bis del decreto-legge 25 maggio 2021, n. 73, convertito, con modificazioni, dalla legge 23 luglio 2021, n. 106, sono apportate le seguenti modificazioni:

a) al comma 1, le parole: « per ciascuno degli anni 2021 e 2022 » sono sostituite dalle seguenti: « per ciascuno degli anni 2021, 2022, 2025, 2026 e 2027 »;

b) al comma 3:

1) al primo periodo, dopo le parole: « risorse del Fondo » sono inserite le seguenti: « e nei limiti dello stesso »;

2) al primo periodo, le parole: « negli anni 2021 e 2022 » sono sostituite dalle seguenti: « negli anni 2021, 2022, 2025, 2026 e 2027 »;

3) è aggiunto, in fine, il seguente periodo: « Per ciascuno degli anni a decorrere dall'anno 2025, l'importo massimo complessivo del credito d'imposta è pari a 200.000 euro »;

c) il comma 5 è abrogato;

d) dopo il comma 6 è inserito il seguente:

« 6-bis. Gli immobili restaurati o sottoposti ad altri interventi conservativi con il concorso totale o parziale dello Stato nella spesa a valere sulle risorse del Fondo di cui al comma 1, costituenti beni culturali, sono resi accessibili al pubblico secondo le modalità previste ai sensi dell'articolo 38 del codice dei beni culturali e del paesaggio, di cui al decreto legislativo 22 gennaio 2004, n. 42 ».

594. Al fine di realizzare le attività e i servizi svolti in attuazione del piano nazionale straordinario di valorizzazione degli istituti e dei luoghi della cultura, a decorrere dall'anno 2025, il limite massimo di cui all'articolo 1, comma 316, della legge 27 dicembre 2017, n. 205, è incrementato di 2 milioni di euro annui.

595. È autorizzata la spesa di 600.000 euro per l'anno 2025 e di 3,2 milioni euro per l'anno 2026, per interventi urgenti di messa in sicurezza e riqualificazione di strade, immobili o edifici pubblici, anche di interesse storico-religioso, compresi nei comuni della Vallata del Gallico in provincia di Reggio Calabria.

596. Con decreto del Ministro delle infrastrutture e dei trasporti, di concerto con il Ministro dell'economia e delle finanze, da adottare entro centoventi giorni dalla data di entrata in vigore della presente legge, sono individuati gli interventi da finanziare ai sensi del comma 595, nonché le modalità di assegnazione, erogazione e revoca dei finanziamenti e di monitoraggio dei corrispondenti interventi, prevendo che gli stessi debbano essere identificati da un codice unico di progetto e corredati dei relativi cronoprogrammi procedurali e di realizzazione.

597. Agli oneri derivanti dall'attuazione del comma 595, pari a 600.000 euro per l'anno 2025, e a 3,2 milioni di euro per l'anno 2026, si provvede mediante corrispondente riduzione del Fondo di cui all'articolo 1, comma 200, della legge 23 dicembre 2014, n. 190, come rifinanziato ai sensi del comma 884 del presente articolo.

598. Al comma 1, primo periodo, dell'articolo 7 del decreto-legge 31 maggio 2014, n. 83, convertito, con modificazioni, dalla legge 29 luglio 2014, n. 106, sono apportate le seguenti modificazioni:

a) dopo le parole: « Con decreto del Ministro dei beni e delle attività culturali e del turismo, » sono inserite le seguenti: « di concerto con il Ministro dell'economia e delle finanze, »;

b) le parole: « , entro il 31 dicembre di ogni anno e, per il 2014, anche in data antecedente, » sono soppresse;

c) dopo le parole: « anche mediante acquisizione », sono inserite le seguenti: « ovvero assegnazione di contributo ad altre amministrazioni pubbliche ».

599. Al fine di consentire la promozione e lo svolgimento di iniziative per la celebrazione dell'ottantesimo anniversario della Resistenza e della guerra di liberazione, della Repubblica e del voto delle donne e della Costituzione è istituito, presso la Presidenza del Consiglio dei ministri, un fondo con una dotazione pari a 0,7 milioni di euro annui a decorrere dall'anno 2025.

600. Il fondo di cui al comma 599 è destinato a finanziare le iniziative promosse dalla Confederazione italiana fra le associazioni combattentistiche e partigiane per le finalità di cui al medesimo comma 599.

601. Nell'ambito delle iniziative di celebrazione della figura di Giacomo Matteotti, nella ricorrenza dei cento anni dalla sua morte, allo scopo di promuovere e valorizzare la conoscenza e lo studio della sua opera e del suo pensiero in ambito nazionale e internazionale è istituito, nello stato di previsione del Ministero della cultura, il « Fondo per la Casa Museo Matteotti nella provincia di Rovigo », con una dotazione di 300.000 euro annui a decorrere dall'anno 2025.

602. Con decreto del Ministro della cultura, di concerto con il Ministro dell'economia e delle finanze, da adottare entro novanta giorni dalla data di entrata in vigore della presente legge, sono stabiliti i criteri e le modalità di accesso al fondo di cui al comma 601, anche al fine del rispetto del limite di spesa autorizzato.

603. Agli oneri derivanti dai commi da 599 a 602, pari a 1 milione di euro annui a decorrere dall'anno 2025, si provvede mediante corrispondente riduzione del Fondo di cui all'articolo 1, comma 200, della legge 23 dicembre 2014, n. 190, come rifinanziato ai sensi del comma 884 del presente articolo.

604. Al fine di sostenere la tutela e la valorizzazione dei carnevali storici con riconosciuta identità culturale, nello stato di previsione del Ministero della cultura è istituito un fondo con una dotazione di 1,5 milioni di euro annui a decorrere dal 2025. Con decreto del Ministro della cultura, da adottare entro novanta giorni dalla data di entrata in vigore della presente legge, previa intesa in sede di Conferenza permanente per i rapporti tra lo Stato, le regioni e le province autonome di Trento e di Bolzano, sono stabiliti i criteri e le modalità di accesso al fondo di cui al primo periodo.

605. Al fine di sostenere il settore dei festival, dei cori e delle bande musicali, nello stato di previsione del Ministero della cultura è istituito un fondo con una dotazione di 1,5 milioni di euro annui a decorrere dal 2025. Con decreto del Ministro della cultura, da adottare entro novanta giorni dalla data di entrata in vigore della presente legge, previa intesa in sede di Conferenza permanente per i rapporti tra lo Stato, le regioni e le province autonome di Trento e di Bolzano, sono stabiliti i criteri e le modalità di accesso al fondo di cui al primo periodo.

606. Al fine di assicurare il rilancio e il potenziamento del settore lirico-sinfonico nonché garantire la stabilità del settore medesimo anche in ragione del rinnovo del contratto collettivo nazionale di lavoro del personale ivi impiegato, a decorrere dal 2025 una quota del Fondo nazionale per lo spettacolo dal vivo di cui alla legge 30 aprile 1985, n. 163, destinata alle fondazioni lirico-sinfoniche, in misura pari a 8 milioni di euro, è ripartita come segue:

a) quanto a 750.000 euro, in favore della Fondazione lirico-sinfonica Petruzzelli e Teatri di Bari, al fine di rafforzarne l'operatività istituzionale;

b) quanto a 7.250.000 euro, in favore delle quattordici fondazioni lirico-sinfoniche, sulla base della media delle percentuali stabilite per il triennio 2022-2024.

607. Fermo restando quanto previsto dal comma 606, nelle more della revisione della normativa di settore, la quota residua del Fondo nazionale per lo spettacolo dal vivo per le fondazioni lirico-sinfoniche, pari a 192 milioni di euro, è destinata, nel 2025, a tutte le fondazioni lirico-sinfoniche per la realizzazione delle attività istituzionali in considerazione della media delle percentuali individuate a valere sul Fondo nazionale per lo spettacolo dal vivo per il triennio 2022-2024. Le fondazioni lirico-sinfoniche, entro il 30 giugno 2025, inviano al Ministero della cultura una relazione sull'attività svolta nell'anno 2024.

608. Il Fondo nazionale per lo spettacolo dal vivo, di cui alla legge 30 aprile 1985, n. 163, è incrementato di 0,5 milioni di euro per l'anno 2025 e di 1 milione di euro per ciascuno degli anni 2026 e 2027.

609. Con decreto del Ministro della cultura, da adottare di concerto con il Ministro dell'economia e delle finanze, sono stabilite le modalità di utilizzo delle risorse di cui al comma 608, destinate al finanziamento di misure volte al sostegno, nel limite di spesa autorizzato ai sensi del medesimo comma 608, di soggetti che svolgono attività di promozione del teatro urbano e del teatro sociale o che organizzano manifestazioni, rassegne e festival con l'impiego esclusivo degli artisti di strada, quale momento di aggregazione sociale della collettività, di integrazione con il patrimonio architettonico e monumentale e di sviluppo del turismo culturale.

610. Agli oneri derivanti dal comma 608, pari a 0,5 milioni di euro per l'anno 2025 e a 1 milione di euro per ciascuno degli anni 2026 e 2027, si provvede mediante corrispondente riduzione del Fondo di cui all'articolo 1, comma 200, della legge 23 dicembre 2014, n. 190, come rifinanziato ai sensi del comma 884 del presente articolo.

611. A decorrere dal 1° gennaio 2025, al decreto legislativo 30 novembre 2023, n. 175, sono apportate le seguenti modificazioni:

a) al comma 1 dell'articolo 2:

1) alla lettera c), la parola: « 25.000 » è sostituita dalla seguente: « 30.000 »;

2) alla lettera d), la parola: « sessanta » è sostituta dalla seguente: « cinquantuno »;

b) all'articolo 3:

1) al comma 1, il secondo periodo è soppresso;

2) al comma 3, le parole: « 30 marzo » sono sostituite dalle seguenti « 30 aprile »;

c) l'articolo 5 è abrogato.

612. Al fine di incentivare la promozione e il sostegno delle attività teatrali negli istituti penitenziari, nello stato di previsione del Ministero della giustizia è istituito un fondo per la promozione e il sostegno delle attività teatrali negli istituti penitenziari, con una dotazione di 500.000 euro per ciascuno degli anni 2025, 2026 e 2027, da destinare al recupero e al reinserimento sociale e lavorativo dei detenuti, in modo da agevolare il loro reingresso nella società civile attraverso la promozione di percorsi formativi e culturali che favoriscano l'acquisizione di nuove competenze nell'ambito dei diversi mestieri del teatro.

613. Con decreto del Ministro della giustizia, di concerto con il Ministro dell'economia e delle finanze, da adottare entro sessanta giorni dalla data di entrata in vigore della presente legge, sono definite le modalità di attuazione e di ripartizione del fondo di cui al comma 612, nel rispetto del relativo limite di spesa.

614. Agli oneri derivanti dai commi 612 e 613, pari a 500.000 euro per ciascuno degli anni 2025, 2026 e 2027, si provvede mediante corrispondente riduzione del Fondo di cui all'articolo 1, comma 200, della legge 23 dicembre 2014, n. 190, come rifinanziato ai sensi del comma 884 del presente articolo.

615. Al fine dell'attuazione del Piano strategico di sviluppo della fotografia in Italia e all'estero, è autorizzata la spesa di 1,5 milioni di euro annui a decorrere dall'anno 2025.

616. La Repubblica, nell'ambito delle finalità di promozione dello sviluppo della cultura e della ricerca scientifica, di salvaguardia e di valorizzazione della tradizione culturale italiana nonché di tutela del patrimonio storico e artistico della Nazione, a essa attribuite dalla Costituzione, celebra la figura di Alessandro Volta nella ricorrenza del secondo centenario della sua morte, che cade nell'anno 2027.

617. Per le finalità di cui al comma 616 è istituito il Comitato nazionale per la celebrazione del bicentenario della morte di Alessandro Volta, di seguito denominato « Comitato nazionale », a cui è attribuito un contributo pari a 2 milioni di euro per ciascuno degli anni 2025, 2026 e 2027. Con decreto del Presidente del Consiglio dei ministri o dell'Autorità politica delegata in materia di innovazione tecnologica, di concerto con il Ministro della cultura e con l'Autorità politica delegata in materia di anniversari di interesse nazionale, sono stabiliti i criteri di assegnazione e di ripartizione annuale del contributo, nei limiti delle risorse autorizzate per ciascun anno e in ragione delle esigenze connesse alle attività programmate dal Comitato nazionale.

618. Con decreto del Presidente del Consiglio dei ministri o dell'Autorità politica delegata in materia di innovazione tecnologica, da adottare entro trenta giorni dalla data di entrata in vigore della presente legge, sentita l'Autorità politica delegata in materia di anniversari di interesse nazionale, è definita la composizione del Comitato e sono stabilite le modalità di funzionamento e di scioglimento dello stesso. Il Presidente del Consiglio dei ministri può integrare il Comitato nazionale con ulteriori soggetti pubblici e privati anche successivamente e può, altresì, ammettere integrazioni del contributo di cui al comma 617 da parte di soggetti pubblici e privati interessati alla promozione della figura di Alessandro Volta. Per lo svolgimento delle proprie attività, il Comitato si avvale della struttura di missione per gli anniversari nazionali ed eventi sportivi nazionali e internazionali, istituita presso la Presidenza del Consiglio dei Ministri e alle dirette dipendenze dell'Autorità politica delegata in materia di anniversari di interesse nazionale, nell'ambito delle risorse umane disponibili a legislazione vigente.

619. Con decreto da adottare entro sessanta giorni dalla data di entrata in vigore della presente legge, il Presidente del Consiglio dei ministri ovvero l'Autorità politica delegata in materia di innovazione tecnologica, nomina i membri del Comitato nazionale. Ai componenti del Comitato nazionale non spettano compensi, gettoni di presenza, rimborsi di spese o altri emolumenti comunque denominati.

620. Il Comitato nazionale è sottoposto alla vigilanza della Presidenza del Consiglio dei ministri. A tale fine, il Comitato elabora e trasmette alla struttura della Presidenza del Consiglio dei ministri competente in materia di innovazione tecnologica, con cadenza annuale, rendiconti sull'utilizzo del finanziamento ricevuto nonché l'ulteriore documentazione da essa eventualmente richiesta.

621. Il Comitato nazionale ha sede presso la struttura della Presidenza del Consiglio dei ministri competente in materia di innovazione tecnologica. La medesima struttura assicura la coerenza del programma culturale, con le attività della struttura di Missione anniversari nazionali ed eventi sportivi nazionali e internazionali istituita presso la Presidenza del Consiglio dei ministri.

622. Il Comitato nazionale opera a decorrere dalla data di adozione del decreto di nomina di cui al comma 619 e resta in carica fino alla data del 31 dicembre 2030.

623. Il Comitato nazionale ha il compito di elaborare un programma culturale relativo alla vita, all'opera e ai luoghi legati alla figura di Alessandro Volta, comprendente attività di restauro di cose mobili o immobili sottoposte a tutela ai sensi del codice dei beni culturali e del paesaggio, di cui al decreto legislativo 22 gennaio 2004, n. 42, nonché attività di ricerca, editoriali, formative, espositive e di organizzazione e gestione di manifestazioni in ambito culturale, storico e scientifico di elevato valore, in una prospettiva di internazionalizzazione e di innovazione tecnologica volta alla promozione dello sviluppo di ricerche, progetti e sperimentazioni di interventi innovativi sotto il profilo tecnologico nei settori energetico, delle comunicazioni, dell'informazione e altre materie di riferimento dell'iniziativa che costituiscono i più significativi ambiti applicativi legati alle scoperte voltiane, al fine di divulgare in Italia e all'estero, anche mediante piattaforme digitali, la conoscenza del pensiero, dell'opera e dell'eredità della figura di Alessandro Volta da trasmettere, in particolar modo, anche alle giovani generazioni.

624. Agli oneri derivanti dai commi da 616 a 623, pari a 2 milioni di euro annui per ciascuno degli anni 2025, 2026, 2027, si provvede mediante corrispondente riduzione del Fondo per l'innovazione tecnologica e la digitalizzazione, di cui all'articolo 239 del decreto-legge 19 maggio 2020, n. 34, convertito, con modificazioni, dalla legge 17 luglio 2020, n. 77.

625. Al fine di assicurare la prosecuzione del concorso delle Forze armate nel controllo del territorio, anche in relazione alle esigenze di prevenzione e contrasto della criminalità e del terrorismo, di cui all'articolo 24, commi 74 e 75, del decreto-legge 1° luglio 2009, n. 78, convertito, con modificazioni, dalla legge 3 agosto 2009, n. 102, nonché a quelle previste dall'articolo 3, comma 2, del decreto-legge 10 dicembre 2013, n. 136, convertito, con modificazioni, dalla legge 6 febbraio 2014, n. 6, è prorogato, limitatamente ai servizi di vigilanza di siti e obiettivi sensibili, l'impiego di un contingente di 6.000 unità di personale delle Forze armate fino al 31 dicembre 2027. Si applicano le disposizioni dell'articolo 7-bis, commi 1, 2 e 3, del decreto-legge 23 maggio 2008, n. 92, convertito, con modificazioni, dalla legge 24 luglio 2008, n. 125.

626. Per l'attuazione del comma 625 è autorizzata la spesa complessiva di euro 198.392.899 per ciascuno degli anni 2025, 2026 e 2027, con specifica destinazione, per ciascuno degli anni 2025, 2026 e 2027, di euro 193.502.811 e di euro 4.890.088, rispettivamente per il personale di cui al comma 74 e per il personale di cui al comma 75 dell'articolo 24 del decreto-legge 1° luglio 2009, n. 78, convertito, con modificazioni, dalla legge 3 agosto 2009, n. 102.

627. Al fine di garantire la prosecuzione dei dispositivi di controllo e sicurezza dei luoghi ove insistono le principali infrastrutture ferroviarie del Paese, il contingente di cui al comma 625 è incrementato di ulteriori 800 unità di personale delle Forze armate per ciascuno degli anni 2025, 2026 e 2027. Si applicano le disposizioni di cui all'articolo 7-bis, commi 1, 2 e 3, del decreto-legge 23 maggio 2008, n. 92, convertito, con modificazioni, dalla legge 24 luglio 2008, n. 125.

628. Per l'attuazione del comma 627, è autorizzata la spesa complessiva di euro 40.489.485 per ciascuno degli anni 2025, 2026 e 2027, con specifica destinazione di euro 37.970.985, di cui euro 18.047.870 per gli oneri connessi con il personale ed euro 19.923.115 per gli oneri connessi con il funzionamento, e di euro 2.518.500, rispettivamente per il personale di cui al comma 74 e per il personale di cui al comma 75 dell'articolo 24 del decreto-legge 1° luglio 2009, n. 78, convertito, con modificazioni, dalla legge 3 agosto 2009, n. 102.

629. Le spese inerenti al trattamento economico accessorio di cui ai commi da 625 a 628 del presente articolo si intendono in deroga ai limiti orari individuali di cui all'articolo 10, comma 3, della legge 8 agosto 1990, n. 231, e al limite di cui all'articolo 23, comma 2, del decreto legislativo 25 maggio 2017, n. 75.

630. Al fine di rafforzare le misure in materia di sicurezza informatica e intelligenza artificiale, la dotazione finanziaria del fondo di cui all'articolo 1, comma 899, lettera b), della legge 29 dicembre 2022, n. 197, è incrementata di 0,2 milioni di euro per l'anno 2025 e di 1 milione di euro per ciascuno degli anni 2026 e 2027. Agli oneri derivanti dal presente comma, pari a 0,2 milioni di euro per l'anno 2025 e a 1 milione di euro per ciascuno degli anni 2026 e 2027, si provvede mediante corrispondente riduzione del Fondo di cui all'articolo 1, comma 200, della legge 23 dicembre 2014, n. 190, come rifinanziato ai sensi del comma 884 del presente articolo.

631. Al fine di far fronte agli impegni urgenti connessi alla partecipazione al fondo multi-sovrano di venture capital denominato NATO Innovation Fund di cui all'articolo 1, comma 724, della legge 29 dicembre 2022, n. 197, è autorizzata la spesa di euro 7.726.500 per ciascuno degli anni dal 2025 al 2027. Restano ferme le linee di indirizzo e le modalità di gestione della partecipazione italiana al citato fondo stabilite con il decreto del Ministro della difesa di cui al medesimo comma 724 dell'articolo 1 della legge n. 197 del 2022.

632. Il fondo di cui all'articolo 4, comma 1, della legge 21 luglio 2016, n. 145, è incrementato di 120 milioni di euro per l'anno 2025.

633. A quota parte degli oneri di cui al comma 632, pari a 70 milioni di euro per l'anno 2025, si provvede mediante corrispondente utilizzo delle somme iscritte nello stato di previsione del Ministero degli affari esteri e della cooperazione internazionale ai sensi dell'articolo 1, comma 644, lettera d), della legge 30 dicembre 2020, n. 178.

634. Al fine di valorizzare i profili internazionali della celebrazione dei 2.500 anni della città di Napoli e di realizzare attività di promozione della città e del suo territorio, è autorizzata in favore del Ministero degli affari esteri e della cooperazione internazionale la spesa di 6 milioni di euro per l'anno 2025.

635. Al fine di dare piena attuazione alle misure previste dall'articolo 52, comma 1-bis, del decreto-legge 31 maggio 2021, n. 77, convertito, con modificazioni, dalla legge 29 luglio 2021, n. 108, il Commissario straordinario, nominato con decreto del Presidente del Consiglio dei ministri n. 1831 del 9 maggio 2022, per l'intervento relativo alla realizzazione del I lotto funzionale della nuova sede dei reparti di eccellenza dell'Arma dei carabinieri – CUP D51B21004330001, può avvalersi, per il supporto tecnico, di un numero massimo di cinque esperti o consulenti, scelti anche tra soggetti estranei alla pubblica amministrazione e anche in deroga a quanto previsto dall'articolo 7 del decreto legislativo 30 marzo 2001, n. 165, e dall'articolo 5, comma 9, del decreto-legge 6 luglio 2012, n. 95, convertito, con modificazioni, dalla legge 7 agosto 2012, n. 135. I compensi per il supporto tecnico prestato dai soggetti di cui al primo periodo sono definiti con provvedimento del Commissario straordinario, nel limite massimo di 50.000 euro annui per ogni esperto o consulente, e sono posti a carico del quadro economico dell'intervento da realizzare o completare nel limite massimo dello 0,7 per cento. Resta fermo quanto previsto dall'articolo 1, comma 489, della legge 27 dicembre 2013, n. 147, e dagli articoli 14, comma 3, e 14.1, comma 3, del decreto-legge 28 gennaio 2019, n. 4, convertito, con modificazioni, dalla legge 28 marzo 2019, n. 26.

636. I comuni possono assoggettare le domande di riconoscimento della cittadinanza italiana presentate ai sensi degli articoli 1, 2, 3 e 14 della legge 5 febbraio 1992, n. 91, o degli articoli 1, 2, 7, 10, 11 e 12 della legge 13 giugno 1912, n. 555, al pagamento di un contributo amministrativo in misura non superiore a euro 600 per ciascun richiedente maggiorenne. Il primo periodo non si applica alle domande presentate per il tramite degli uffici consolari, soggette esclusivamente ai diritti consolari di cui al decreto legislativo 3 febbraio 2011, n. 71.

637. I comuni possono assoggettare le richieste di certificati o di estratti di stato civile formati da oltre un secolo e relativi a persone diverse dal richiedente al pagamento di un contributo amministrativo in misura non superiore a euro 300 per ciascun atto. Per le richieste corredate dell'identificazione esatta dell'anno di formazione dell'atto e del nominativo della persona cui l'atto si riferisce, il contributo può essere ridotto. Non sono assoggettate al contributo di cui al presente comma le richieste presentate da pubbliche amministrazioni.

638. Le domande di cui ai commi 636 e 637 presentate ai comuni sono improcedibili in caso di mancato o inesatto pagamento dei contributi ivi previsti nei termini stabiliti dal comune conformemente al proprio ordinamento. I contributi riscossi ai sensi dei commi 636 e 637 sono integralmente acquisiti al bilancio del comune. Restano ferme le disposizioni vigenti in materia di imposta di bollo.

639. All'articolo 7-bis della sezione I della tabella dei diritti consolari da riscuotersi dagli uffici diplomatici e consolari, allegata al decreto legislativo 3 febbraio 2011, n. 71, le parole: « euro 300,00 » sono sostituite dalle seguenti: « euro 600,00 ».

640. I proventi derivanti dal contributo per la domanda di riconoscimento della cittadinanza italiana, di cui all'articolo 7-bis della sezione I della tabella dei diritti consolari da riscuotersi dagli uffici diplomatici e consolari, allegata al decreto legislativo 3 febbraio 2011, n. 71, sono versati all'entrata del bilancio dello Stato per essere riassegnati nella misura del 50 per cento, a decorrere dall'anno 2025, allo stato di previsione del Ministero degli affari esteri e della cooperazione internazionale, e destinati:

a) per il 50 per cento, agli uffici consolari in proporzione ai contributi riscossi, secondo la ripartizione determinata con decreto del Ministro degli affari esteri e della cooperazione internazionale. Le somme accreditate ai consolati sono destinate al rafforzamento dei servizi consolari per i cittadini italiani residenti o presenti all'estero, con priorità per la contrattualizzazione di personale locale reclutato da agenzie di somministrazione di lavoro con contratto a tempo determinato, da adibire, sotto le direttive e il controllo dei funzionari consolari, allo smaltimento dell'arretrato riguardante le pratiche di cittadinanza presentate presso i medesimi uffici consolari e all'erogazione di servizi consolari ai cittadini italiani;

b) per il 50 per cento al funzionamento degli uffici all'estero, di cui all'articolo 30 del decreto del Presidente della Repubblica 5 gennaio 1967, n. 18, e ad altre spese in conto capitale.

641. Il comma 429 dell'articolo 1 della legge 11 dicembre 2016, n. 232, è abrogato. Resta ferma l'applicazione della medesima disposizione alle entrate derivanti dai contributi riscossi dagli uffici consolari fino al 31 dicembre 2024.

642. Ai fini dell'organizzazione in Italia della Conferenza internazionale per la ricostruzione dell'Ucraina, è autorizzata la spesa di 6 milioni di euro per l'anno 2025.

643. Al fine di garantire il normale e corretto funzionamento dei Comitati degli italiani all'estero di cui alla legge 23 ottobre 2003, n. 286, è autorizzata la spesa di 600.000 euro per l'anno 2025. Agli oneri derivanti dall'attuazione del presente comma, pari a 600.000 euro per l'anno 2025, si provvede mediante corrispondente riduzione del Fondo di cui all'articolo 1, comma 200, della legge 23 dicembre 2014, n. 190, come rifinanziato ai sensi del comma 884 del presente articolo.

644. Nello stato di previsione del Ministero dell'economia e delle finanze è istituito un fondo destinato al finanziamento degli interventi di ricostruzione e delle esigenze connesse alla stessa, con una dotazione di 1.500 milioni di euro per l'anno 2027 e di 1.300 milioni di euro annui a decorrere dall'anno 2028.

645. Le risorse di cui al comma 644 sono ripartite con uno o più decreti del Presidente del Consiglio dei ministri, da adottare su proposta del capo del Dipartimento Casa Italia della Presidenza del Consiglio dei ministri, di concerto con il Ministro dell'economia e delle finanze, tenuto conto dei fabbisogni e dei relativi cronoprogrammi di spesa.

646. La ripartizione di cui al comma 645 è predisposta tenendo conto dei dati di monitoraggio sull'avanzamento dei processi di ricostruzione, a tal fine utilizzando, ove disponibili, anche le risultanze dei sistemi informativi del Ministero dell'economia e delle finanze.

647. Fino al 30 aprile 2025, al fine di sostenere l'accesso al credito da parte delle imprese colpite direttamente o indirettamente dagli eventi alluvionali verificatisi a partire dal 1° maggio 2023, in deroga alla normativa vigente, l'Istituto di servizi per il mercato agricolo alimentare (ISMEA) è autorizzato a concedere, nei limiti delle risorse allo scopo disponibili a legislazione vigente, le garanzie di cui all'articolo 17, comma 2, del decreto legislativo 29 marzo 2004, n. 102, anche a fronte di finanziamenti a breve, a medio e a lungo termine concessi da banche iscritte all'albo previsto dall'articolo 13 del testo unico delle leggi in materia bancaria e creditizia, di cui al decreto legislativo 1° settembre 1993, n. 385, o da intermediari finanziari iscritti all'albo previsto dall'articolo 106 del medesimo testo unico, autorizzati all'esercizio nei confronti del pubblico dell'attività di concessione di finanziamenti, in favore delle ditte sementiere registrate presso il Servizio fitosanitario nazionale nel Registro ufficiale degli operatori professionali ai sensi dell'articolo 6 del decreto legislativo 2 febbraio 2021, n. 20, con sede legale o sede operativa, ovvero esercenti la propria attività lavorativa o produttiva nelle province e nei comuni individuati dall'allegato 1 annesso al decreto-legge 1° giugno 2023, n. 61, convertito, con modificazioni, dalla legge 31 luglio 2023, n. 100.

648. A fronte delle garanzie rilasciate ai sensi del comma 647, l'ISMEA può concedere, nei limiti delle risorse allo scopo disponibili a legislazione vigente, contributi diretti alla riduzione del costo delle commissioni di garanzia nei limiti previsti dal regolamento (UE) 2023/2831 della Commissione, del 13 dicembre 2023.

649. Il termine di scadenza dello stato di emergenza conseguente agli eventi sismici del 20 e 29 maggio 2012 di cui all'articolo 1, comma 3, del decreto-legge 6 giugno 2012, n. 74, convertito, con modificazioni, dalla legge 1° agosto 2012, n. 122, è ulteriormente prorogato, per le regioni Emilia-Romagna e Lombardia, al 31 dicembre 2025, al fine di garantire la continuità delle procedure connesse con l'attività di ricostruzione.

650. È autorizzata la spesa di 8,6 milioni di euro per l'anno 2025 per le spese relative al funzionamento, all'assistenza tecnica, all'assistenza alla popolazione, al contributo di autonoma sistemazione e a interventi sostitutivi per gli eventi sismici che hanno colpito i territori dell'Emilia-Romagna nel 2012.

651. Per la regione Emilia-Romagna, le disposizioni di cui all'articolo 3-bis, comma 2, del decreto-legge 24 giugno 2016, n. 113, convertito, con modificazioni, dalla legge 7 agosto 2016, n. 160, si applicano fino all'anno 2025 nel limite di spesa di 4 milioni di euro per l'anno 2025. A tale fine è autorizzata la spesa di 4 milioni di euro per l'anno 2025.

652. Per la regione Lombardia le disposizioni di cui all'articolo 3-bis, comma 2, del decreto-legge 24 giugno 2016, n. 113, convertito, con modificazioni, dalla legge 7 agosto 2016, n. 160, si applicano fino all'anno 2025 nel limite di spesa di 100.000 euro per l'anno 2025. Agli oneri derivanti dal primo periodo, pari a 100.000 euro per l'anno 2025, si provvede mediante corrispondente riduzione del Fondo di cui all'articolo 1, comma 200, della legge 23 dicembre 2014, n. 190, come rifinanziato ai sensi del comma 884 del presente articolo.

653. Allo scopo di assicurare il proseguimento e l'accelerazione dei processi di ricostruzione, all'articolo 1, comma 990, primo periodo, della legge 30 dicembre 2018, n. 145, le parole: « 31 dicembre 2024 » sono sostituite dalle seguenti: « 31 dicembre 2025 » e le parole: « per l'anno 2023 » sono sostituite dalle seguenti: « per l'anno 2024 ». Ai fini di cui al presente comma è autorizzata la spesa di 71,8 milioni di euro per l'anno 2025.

654. Le risorse trasferite alle contabilità speciali dei Commissari straordinari destinate ad assunzioni a tempo determinato ai sensi dei commi 651 e 653 sono rese indisponibili in misura corrispondente alle risorse utilizzate per la stabilizzazione effettuata ai sensi del comma 3 dell'articolo 57 del decreto-legge 14 agosto 2020, n. 104, convertito, con modificazioni, dalla legge 13 ottobre 2020, n. 126, e restano a disposizione delle strutture commissariali nella medesima annualità per essere utilizzate per i processi di ricostruzione.

655. Per le spese di personale di cui all'articolo 50, comma 3, del decreto-legge 17 ottobre 2016, n. 189, convertito, con modificazioni, dalla legge 15 dicembre 2016, n. 229, è autorizzata la spesa di 470.000 euro per l'anno 2025.

656. Per le medesime finalità di cui all'articolo 50, comma 9-quater, del decreto-legge 17 ottobre 2016, n. 189, convertito, con modificazioni, dalla legge 15 dicembre 2016, n. 229, il Commissario straordinario di cui al medesimo decreto-legge n. 189 del 2016 può, con propri provvedimenti da adottare ai sensi dell'articolo 2, comma 2, del citato decreto-legge n. 189 del 2016, destinare ulteriori unità di personale agli Uffici speciali per la ricostruzione, agli enti locali e alla struttura commissariale, mediante ampliamento delle convenzioni di cui all'articolo 50, comma 3, lettere b) e c), del citato decreto-legge n. 189 del 2016, nel limite di spesa di 7,5 milioni di euro per l'anno 2025. A tale fine è autorizzata la spesa di 7,5 milioni di euro per l'anno 2025.

657. Le esenzioni previste dall'articolo 2-bis, comma 25, secondo periodo, del decreto-legge 16 ottobre 2017, n. 148, convertito, con modificazioni, dalla legge 4 dicembre 2017, n. 172, sono prorogate fino al 31 dicembre 2025.

658. All'articolo 8, comma 1-ter, terzo periodo, del decreto-legge 24 ottobre 2019, n. 123, convertito, con modificazioni, dalla legge 12 dicembre 2019, n. 156, le parole: « fino al 31 dicembre 2024 » sono sostituite dalle seguenti: « fino al 31 dicembre 2025 ».

659. All'articolo 44, comma 1, terzo periodo, del decreto-legge 17 ottobre 2016, n. 189, convertito, con modificazioni, dalla legge 15 dicembre 2016, n. 229, le parole: « , 2023 e 2024 » sono sostituite dalle seguenti: « , 2023, 2024 e 2025 » e le parole: « , al sesto e al settimo anno » sono sostituite dalle seguenti: « , al sesto, al settimo e all'ottavo anno ».

660. All'articolo 14, comma 6, del decreto-legge 30 dicembre 2016, n. 244, convertito, con modificazioni, dalla legge 27 febbraio 2017, n. 19, le parole: « 31 dicembre 2024 », ovunque ricorrono, sono sostituite dalle seguenti: « 31 dicembre 2025 ».

661. All'articolo 2-bis, comma 22, terzo periodo, del decreto-legge 16 ottobre 2017, n. 148, convertito, con modificazioni, dalla legge 4 dicembre 2017, n. 172, le parole: « 31 dicembre 2024 » sono sostituite dalle seguenti: « 31 dicembre 2025 ».

662. Lo Stato concorre, in tutto o in parte, agli oneri derivanti dai commi 660 e 661, nel limite di spesa di 1,5 milioni di euro per l'anno 2025.

663. All'articolo 48 del decreto-legge 17 ottobre 2016, n. 189, convertito, con modificazioni, dalla legge 15 dicembre 2016, n. 229, sono apportate le seguenti modificazioni:

a) al comma 7, primo periodo, le parole: « 31 dicembre 2024 » sono sostituite dalle seguenti: « 31 dicembre 2025 »;

b) al comma 16:

1) al primo periodo, le parole: « fino all'anno d'imposta 2023 » sono sostituite dalle seguenti: « fino all'anno d'imposta 2024 »;

2) al secondo periodo, le parole: « e comunque non oltre il 31 dicembre 2024 » sono sostituite dalle seguenti: « e comunque non oltre il 31 dicembre 2025 ».

664. All'articolo 28, commi 7 e 13-ter, del decreto-legge 17 ottobre 2016, n. 189, convertito, con modificazioni, dalla legge 15 dicembre 2016, n. 229, le parole: « 31 dicembre 2024 », ovunque ricorrono, sono sostituite dalle seguenti: « 31 dicembre 2025 ».

665. All'articolo 28-bis, comma 2, del decreto-legge 17 ottobre 2016, n. 189, convertito, con modificazioni, dalla legge 15 dicembre 2016, n. 229, le parole: « 31 dicembre 2024 » sono sostituite dalle seguenti: « 31 dicembre 2025 ».

666. Per l'anno 2025, con riferimento alle fattispecie individuate dall'articolo 1, comma 997, della legge 30 dicembre 2018, n. 145, non sono dovuti i canoni di cui all'articolo 1, commi da 816 a 847, della legge 27 dicembre 2019, n. 160. Per il ristoro ai comuni a fronte delle minori entrate derivanti dalla disposizione di cui al primo periodo del presente comma, il fondo di cui al comma 1 dell'articolo 17-ter del decreto-legge 31 dicembre 2020, n. 183, convertito, con modificazioni, dalla legge 26 febbraio 2021, n. 21, è incrementato di 5 milioni di euro per l'anno 2025.

667. All'articolo 1, comma 986, della legge 30 dicembre 2018, n. 145, le parole: « , 2022, 2023 e 2024 » sono sostituite dalle seguenti: « , 2022, 2023, 2024 e 2025 ».

668. Per garantire la continuità nello smaltimento dei rifiuti solidi urbani nei comuni di cui all'articolo 1 del decreto-legge 17 ottobre 2016, n. 189, convertito, con modificazioni, dalla legge 15 dicembre 2016, n. 229, è autorizzata la spesa di 10 milioni di euro per l'anno 2025.

669. Per i contratti di lavoro a tempo determinato stipulati con il personale in servizio presso gli Uffici speciali per la ricostruzione e presso gli altri enti compresi nel cratere del sisma del 2016, nonché per i contratti di lavoro a tempo determinato di cui alle convenzioni con le società indicate all'articolo 50, comma 3, lettere b) e c), del decreto-legge 17 ottobre 2016, n. 189, convertito, con modificazioni, dalla legge 15 dicembre 2016, n. 229, la proroga o il rinnovo fino al 31 dicembre 2025 sono effettuati in deroga, limitatamente alla predetta annualità, ai limiti previsti dal decreto legislativo 30 marzo 2001, n. 165, e dalla contrattazione collettiva nazionale di lavoro dei comparti del pubblico impiego e in deroga ai limiti di cui agli articoli 19, 21 e 23 del decreto legislativo 15 giugno 2015, n. 81.

670. Al fine di garantire senza soluzione di continuità il riconoscimento del contributo per il disagio abitativo finalizzato alla ricostruzione anche per l'anno 2025, nei territori delle regioni Abruzzo, Lazio, Marche e Umbria interessati dagli eventi sismici verificatisi a far data dal 24 agosto 2016, all'articolo 9-duodecies, comma 2, primo periodo, del decreto-legge 11 giugno 2024, n. 76, convertito, con modificazioni, dalla legge 8 agosto 2024, n. 111, le parole: « fino al 31 dicembre 2024 » sono sostituite dalle seguenti: « fino al 31 dicembre 2025 ». Ai fini di cui al presente comma è autorizzata la spesa nel limite di 92 milioni di euro per l'anno 2025.

671. Al fine di assicurare lo sviluppo, l'implementazione, la manutenzione e la funzionalità delle piattaforme informatiche di titolarità del Commissario straordinario del Governo per la riparazione, la ricostruzione, l'assistenza alla popolazione e la ripresa economica dei territori delle regioni Abruzzo, Lazio, Marche e Umbria interessati dagli eventi sismici verificatisi a far data dal 24 agosto 2016, all'articolo 1, comma 743, della legge 29 dicembre 2022, n. 197, dopo le parole: « per l'anno 2023 » sono inserite le seguenti: « e di 1 milione di euro per l'anno 2025 ».

672. Al fine di assicurare il supporto ai procedimenti amministrativi di attuazione degli interventi da realizzare tramite le risorse del Fondo complementare al PNRR nei territori interessati dagli eventi sismici del 2009 e del 2016, all'articolo 13-ter del decreto-legge 30 dicembre 2021, n. 228, convertito, con modificazioni, dalla legge 25 febbraio 2022, n. 15, sono apportate le seguenti modificazioni:

a) al comma 1, le parole: « fino al 31 dicembre 2024 » sono sostituite dalle seguenti: « fino al 31 dicembre 2025 » e le parole: « di 2,5 milioni di euro » sono sostituite dalle seguenti: « di 3,4 milioni di euro »;

b) al comma 2, le parole: « e 2024 » sono sostituite dalle seguenti: « , 2024 e 2025 »;

c) al comma 3, le parole: « 10 milioni di euro » sono sostituite dalle seguenti: « 13,4 milioni di euro ».

673. Allo scopo di assicurare il proseguimento e l'accelerazione dei processi di ricostruzione a seguito degli eventi sismici verificatisi a far data dal 24 agosto 2016, all'articolo 1 del decreto-legge 17 ottobre 2016, n. 189, convertito, con modificazioni, dalla legge 15 dicembre 2016, n. 229, dopo il comma 4-octies è inserito il seguente:

« 4-novies. Lo stato di emergenza di cui al comma 4-bis è prorogato fino al 31 dicembre 2025 ».

674. Al fine di consentire interventi di restauro e di consolidamento del patrimonio culturale danneggiato dal sisma del 6 aprile 2009, nello stato di previsione del Ministero della cultura è istituito un fondo con una dotazione di 0,5 milioni di euro per ciascuno degli anni 2025, 2026 e 2027. Le risorse di cui al presente comma sono destinate agli interventi sulle chiese fuori cratere finanziati con la delibera del CIPE n. 77/2015, pubblicata nella Gazzetta Ufficiale n. 268 del 17 novembre 2015, per i quali i progetti esecutivi risultino già affidati alla data di entrata in vigore della presente legge e in relazione a essi siano subentrate ulteriori criticità, accertate attraverso indagini propedeutiche alla progettazione esecutiva, che determinino un incremento dei costi per il completamento degli interventi medesimi.

675. Con decreto del Ministro della cultura, di concerto con il Ministro dell'economia e delle finanze e con il Ministro per la protezione civile e le politiche del mare, da adottare entro trenta giorni dalla data di entrata in vigore della presente legge, sono definiti i criteri di determinazione, le modalità di assegnazione e le procedure di erogazione delle risorse di cui al comma 674.

676. Agli oneri derivanti dal comma 674, pari a 0,5 milioni di euro per ciascuno degli anni 2025, 2026 e 2027, si provvede mediante corrispondente riduzione del Fondo di cui all'articolo 1, comma 200, della legge 23 dicembre 2014, n. 190, come rifinanziato ai sensi del comma 884 del presente articolo.

677. Al fine di avviare i processi di ricostruzione a seguito degli eventi sismici che hanno colpito il territorio della regione Marche il 9 novembre 2022 e il territorio della regione Umbria il 9 marzo 2023, per i quali è stato dichiarato lo stato di emergenza di rilievo nazionale, rispettivamente, con le deliberazioni del Consiglio dei ministri 11 aprile 2023, pubblicata nella Gazzetta Ufficiale n. 106 dell'8 maggio 2023, e 6 aprile 2023, pubblicata nella Gazzetta Ufficiale del 18 aprile 2023, è autorizzata la spesa nel limite di 5 milioni di euro per l'anno 2025 e di 7 milioni di euro per l'anno 2026 per le attività di progettazione, a seguito degli esiti della ricognizione dei fabbisogni di cui all'articolo 36, comma 2-ter, del decreto-legge 2 marzo 2024, n. 19, convertito, con modificazioni, dalla legge 29 aprile 2024, n. 56. Il Commissario straordinario di cui all'articolo 2, comma 2, del decreto-legge 11 gennaio 2023, n. 3, convertito, con modificazioni, dalla legge 10 marzo 2023, n. 21, provvede alle attività di progettazione di cui al primo periodo nell'ambito delle risorse umane, strumentali e finanziarie disponibili a legislazione vigente e, comunque, senza nuovi o maggiori oneri a carico della finanza pubblica. Le risorse di cui al primo periodo sono trasferite alla contabilità speciale intestata al medesimo Commissario ai sensi dell'articolo 4, comma 3, del decreto-legge 17 ottobre 2016, n. 189, convertito, con modificazioni, dalla legge 15 dicembre 2016, n. 229. Agli oneri derivanti dal presente comma, pari a 5 milioni di euro per l'anno 2025 e a 7 milioni di euro per l'anno 2026, si provvede mediante corrispondente riduzione del Fondo per interventi strutturali di politica economica, di cui all'articolo 10, comma 5, del decreto-legge 29 novembre 2004, n. 282, convertito, con modificazioni, dalla legge 27 dicembre 2004, n. 307.

678. Al finanziamento degli interventi di ricostruzione e delle esigenze connesse alla stessa si provvede ai sensi e con le modalità di cui ai commi da 644 a 646.

679. Dopo il comma 560 dell'articolo 1 della legge 30 dicembre 2023, n. 213, è inserito il seguente:

« 560-bis. Per l'anno 2025, ovvero fino alla definitiva ricostruzione o agibilità dei fabbricati nel caso in cui la ricostruzione o l'agibilità intervengano prima del 31 dicembre 2025, sono esenti dall'applicazione dell'imposta municipale propria di cui all'articolo 1, commi 738 e seguenti, della legge 27 dicembre 2019, n. 160, i fabbricati ad uso abitativo, ubicati nella regione Marche e nella regione Umbria, interessati dagli eventi sismici che hanno colpito il territorio della regione Marche il 9 novembre 2022 e il territorio della regione Umbria il 9 marzo 2023, per i quali è stato dichiarato lo stato di emergenza di rilievo nazionale, rispettivamente, con le deliberazioni del Consiglio dei ministri 11 aprile 2023, pubblicata nella Gazzetta Ufficiale n. 106 dell'8 maggio 2023, e 6 aprile 2023, pubblicata nella Gazzetta Ufficiale n. 91 del 18 aprile 2023, i cui effetti sono stati estesi dalla deliberazione del Consiglio dei ministri 31 maggio 2023, pubblicata nella Gazzetta Ufficiale n. 148 del 27 giugno 2023, purché distrutti od oggetto di ordinanze sindacali di sgombero, in quanto inagibili totalmente o parzialmente. Entro il 30 aprile 2025, con decreto del Ministro dell'interno, di concerto con il Ministro dell'economia e delle finanze, sentita la Conferenza Stato-città ed autonomie locali, sono stabiliti i criteri per il ristoro del minore gettito connesso all'esenzione di cui al presente comma, rispettivamente nel limite massimo di 110.000 euro per l'anno 2025 per la regione Umbria e di 86.400 euro per l'anno 2025 per la regione Marche ».

680. Agli oneri derivanti dal comma 679, pari a 196.400 euro per l'anno 2025, che costituisce limite di spesa, si provvede mediante corrispondente riduzione del Fondo di cui all'articolo 1, comma 200, della legge 23 dicembre 2014, n. 190, come rifinanziato ai sensi del comma 884 del presente articolo.

681. All'articolo 1 della legge 27 dicembre 2017, n. 205, sono apportate le seguenti modificazioni:

a) il comma 677 è abrogato;

b) il comma 678 è sostituito dal seguente:

« 678. Per il completamento del programma relativo alle iniziative di elevata utilità sociale di cui all'articolo 1, comma 317, della legge 23 dicembre 2014, n. 190, e al decreto del Presidente del Consiglio dei ministri 23 dicembre 2015, i canoni di locazione da corrispondere all'INAIL sono posti a carico dello Stato nella misura di 1,5 milioni di euro per ciascuno degli anni dal 2019 al 2024 e nella misura di 1 milione di euro annui a decorrere dall'anno 2025. Ai relativi oneri, pari a 1,5 milioni di euro per ciascuno degli anni dal 2019 al 2024 e a 1 milione di euro annui a decorrere dall'anno 2025, si provvede mediante corrispondente riduzione del Fondo per il funzionamento delle istituzioni scolastiche di cui all'articolo 1, comma 601, della legge 27 dicembre 2006, n. 296 ».

682. Il termine di cui all'articolo 17, comma 2, terzo periodo, del decreto-legge 28 settembre 2018, n. 109, convertito, con modificazioni, dalla legge 16 novembre 2018, n. 130, è prorogato al 31 dicembre 2025. Per le attività di cui all'articolo 18, comma 1, lettera i-bis), del citato decreto-legge n. 109 del 2018, è autorizzata la spesa di 4,5 milioni di euro per l'anno 2025, in favore dei soli nuclei familiari la cui abitazione principale, abituale e continuativa, abbia formato oggetto di domanda di contributo per gli interventi per il ripristino con miglioramento o adeguamento sismico ovvero per la ricostruzione. I criteri, le modalità, i termini e le condizioni per l'assegnazione del contributo di cui all'articolo 18, comma 1, lettera i-bis),del citato decreto-legge n. 109 del 2018, nonché le procedure per la relativa istruttoria, concessione ed erogazione sono disciplinati dal Commissario straordinario di cui all'articolo 17, comma 2, del decreto-legge n. 109 del 2018 con ordinanze adottate, ai sensi dell'articolo 18, comma 2, del medesimo decreto-legge.

683. È autorizzata la spesa di 5.050.000 euro per l'anno 2025, di cui:

a) 1.409.000 euro per le finalità di cui all'articolo 31 del decreto-legge 28 settembre 2018, n. 109, convertito, con modificazioni, dalla legge 16 novembre 2018, n. 130;

b) 641.000 euro per le finalità di cui all'articolo 5-septies del decreto-legge 3 dicembre 2022, n. 186, convertito, con modificazioni, dalla legge 27 gennaio 2023, n. 9;

c) 2 milioni di euro per le finalità di cui all'articolo 18, comma 5, del decreto-legge 28 settembre 2018, n. 109, convertito, con modificazioni, dalla legge 16 novembre 2018, n. 130;

d) 1 milione di euro per le finalità di cui all'articolo 30-ter del decreto-legge 22 marzo 2021, n. 41, convertito, con modificazioni, dalla legge 21 maggio 2021, n. 69.

684. A decorrere dalla scadenza dello stato di emergenza di cui alla delibera del Consiglio dei ministri 27 novembre 2022, pubblicata nella Gazzetta Ufficiale n. 283 del 3 dicembre 2022, dichiarato in conseguenza degli eccezionali eventi meteorologici verificatisi nel territorio del comune di Casamicciola, dell'isola di Ischia, il giorno 26 novembre 2022, prorogato da ultimo dall'articolo 9, comma 7, del decreto-legge 17 ottobre 2024, n. 153, convertito, con modificazioni, dalla legge 13 dicembre 2024, n. 191, fino al 31 dicembre 2024, il coordinamento degli interventi pianificati e non ancora ultimati e delle attività di assistenza alla popolazione previsti dal codice della protezione civile, di cui al decreto legislativo 2 gennaio 2018, n. 1, conseguenti agli eccezionali eventi verificatisi nel territorio dell'isola di Ischia a partire dal 26 novembre 2022, nonché le relative risorse finanziarie sono trasferiti al Commissario straordinario di cui all'articolo 17 del decreto-legge 28 settembre 2018, n. 109, convertito, con modificazioni, dalla legge 16 novembre 2018, n. 130. Conseguentemente, il medesimo Commissario straordinario di cui all'articolo 17 del citato decreto-legge n. 109 del 2018 subentra nella titolarità della contabilità speciale istituita per l'emergenza con ordinanza del capo del Dipartimento della protezione civile della Presidenza del Consiglio dei ministri n. 948 del 30 novembre 2022.

685. Per le attività di assistenza alla popolazione di cui al comma 684 è autorizzata la spesa di 2 milioni di euro per l'anno 2025. Le relative risorse sono erogate nel rispetto dei criteri, delle modalità e delle condizioni definiti con ordinanza del Commissario straordinario. Il medesimo Commissario straordinario di cui all'articolo 17 del decreto-legge 28 settembre 2018, n. 109, provvede altresì all'attuazione degli interventi di cui all'articolo 5-ter del decreto-legge 3 dicembre 2022, n. 186, convertito, con modificazioni, dalla legge 27 gennaio 2023, n. 9, per tutti i comuni dell'isola di Ischia. A tal fine, fino al 31 dicembre 2025, il Commissario straordinario individua, nei limiti delle risorse allo scopo disponibili, con propria ordinanza gli interventi di ricostruzione privata e le opere pubbliche urgenti e di particolare criticità e gli interventi di messa in sicurezza idrogeologica, per i quali i poteri di ordinanza di cui all'articolo 13, comma 4-bis, del decreto-legge 30 dicembre 2021, n. 228, convertito, con modificazioni, dalla legge 25 febbraio 2022, n. 15, sono esercitabili in deroga a ogni disposizione di legge diversa da quella penale, nel rispetto della Costituzione, dei princìpi generali dell'ordinamento giuridico e delle disposizioni del codice delle leggi antimafia e delle misure di prevenzione, di cui al decreto legislativo 6 settembre 2011, n. 159, nonché dei vincoli inderogabili derivanti dall'appartenenza all'Unione europea ivi compresi quelli derivanti dalle direttive 2014/24/UE e 2014/25/UE del Parlamento europeo e del Consiglio, del 26 febbraio 2014. L'elenco di tali interventi e opere è comunicato al Presidente del Consiglio dei ministri, che può impartire direttive.

686. Ai titolari di attività economiche che, a causa degli eventi calamitosi verificatisi nel territorio dell'isola di Ischia a partire dal 26 novembre 2022, abbiano subìto danni o limitazioni al proprio esercizio e che abbiano registrato una riduzione del fatturato annuo in misura non inferiore al 20 per cento rispetto a quello calcolato sulla media del triennio precedente agli eventi calamitosi, può essere riconosciuto un contributo per indennizzare i mancati ricavi nel rispetto dei criteri, delle procedure e delle modalità definiti con ordinanza del Commissario straordinario. Per le finalità di cui al primo periodo, è autorizzata la spesa nel limite massimo di 10 milioni di euro per l'anno 2025.

687. Per assicurare l'esercizio delle funzioni di cui al comma 684, la struttura del Commissario straordinario di cui all'articolo 31, comma 2, del decreto-legge 28 settembre 2018, n. 109, convertito, con modificazioni, dalla legge 16 novembre 2018, n. 130, è incrementata, secondo le disposizioni previste dal medesimo articolo 31, di cinque unità di personale non dirigenziale, nel limite complessivo di spesa di 228.668 euro per l'anno 2025, e di una figura di esperto, a cui spetta un compenso onnicomprensivo di importo lordo non superiore a 48.000 euro per l'anno 2025. Per il coordinamento delle attività di attuazione del piano degli interventi di cui all'articolo 5-ter del decreto-legge 3 dicembre 2022, n. 186, convertito con modificazioni dalla legge 27 gennaio 2023, n. 9, il Commissario straordinario può nominare un sub-commissario il cui compenso è determinato in misura non superiore ai limiti di cui all'articolo 15, comma 3, del decreto-legge 6 luglio 2011, n. 98, convertito, con modificazioni, dalla legge 15 luglio 2011, n. 111, pari a 132.700 euro per l'anno 2025, comprensivi degli oneri a carico dell'amministrazione. Ai fini di cui al presente comma è autorizzata la spesa di 409.368 euro per l'anno 2025.

688. Per le finalità di cui all'articolo 32, comma 3, del decreto-legge 28 settembre 2018, n. 109, convertito, con modificazioni, dalla legge 16 novembre 2018, n. 130, è autorizzata la spesa di 1,8 milioni di euro per l'anno 2025. Per i comuni dell'isola di Ischia colpiti dagli eccezionali eventi meteorologici del 26 novembre 2022, per le finalità di cui all'articolo 32, comma 3, del citato decreto-legge n. 109 del 2018, è autorizzata la spesa di 1 milione di euro per l'anno 2025.

689. I termini di cui all'articolo 6, comma 2, primo e secondo periodo, del decreto-legge 18 aprile 2019, n. 32, convertito, con modificazioni, dalla legge 14 giugno 2019, n. 55, sono prorogati al 31 dicembre 2025. Fino alla stessa data continuano ad applicarsi le disposizioni degli articoli 14-bis e 18 del citato decreto-legge n. 32 del 2019. A tale fine è autorizzata la spesa di 2,82 milioni di euro per l'anno 2025, di cui:

a) 1,82 milioni di euro, a copertura degli oneri derivanti dal citato articolo 14-bis del decreto-legge n. 32 del 2019;

b) 736.500 euro, a copertura degli oneri derivanti, per il Commissario straordinario per la ricostruzione nei territori dei comuni della città metropolitana di Catania, dal citato articolo 18 del decreto-legge n. 32 del 2019;

c) 263.500 euro, a copertura degli oneri derivanti, per il Commissario straordinario per la ricostruzione nei territori dei comuni della provincia di Campobasso, dal medesimo articolo 18 del decreto-legge n. 32 del 2019.

690. La proroga o il rinnovo fino al 31 dicembre 2025 dei contratti di lavoro del personale di cui all'articolo 14-bis, comma 1, del decreto-legge 18 aprile 2019, n. 32, convertito, con modificazioni, dalla legge 14 giugno 2019, n. 55, sono effettuati, limitatamente all'annualità 2025, in deroga ai limiti previsti dal decreto legislativo 30 marzo 2001, n. 165, e dalla contrattazione collettiva nazionale di lavoro dei comparti del pubblico impiego e in deroga ai limiti di cui agli articoli 19, 21 e 23 del decreto legislativo 15 giugno 2015, n. 81.

691. A decorrere dalla scadenza dello stato di emergenza di cui alla delibera del Consiglio dei ministri 28 dicembre 2018, pubblicata nella Gazzetta Ufficiale n. 1 del 2 gennaio 2019, dichiarato in conseguenza dell'evento sismico che ha colpito il territorio dei comuni di Aci Bonaccorsi, di Aci Catena, di Aci Sant'Antonio, di Acireale, di Milo, di Santa Venerina, di Trecastagni, di Viagrande e di Zafferana Etnea, in provincia di Catania, il giorno 26 dicembre 2018, prorogato da ultimo dall'articolo 17-bis del decreto-legge 30 dicembre 2023, n. 215, convertito, con modificazioni, dalla legge 23 febbraio 2024, n. 18, fino al 31 dicembre 2024, è disposta la cessazione del contributo per l'autonoma sistemazione di cui all'articolo 3 dell'ordinanza del capo del Dipartimento della protezione civile della Presidenza del Consiglio dei ministri n. 566 del 28 dicembre 2018.

692. A decorrere dalla cessazione del contributo per l'autonoma sistemazione di cui al comma 691 è riconosciuto, fino al 31 dicembre 2025, un contributo denominato « contributo per il disagio abitativo finalizzato alla ricostruzione » in favore dei nuclei familiari, già percettori del contributo per l'autonoma sistemazione, la cui abitazione principale, abituale e continuativa, sia stata distrutta in tutto o in parte o gravemente danneggiata ovvero sia stata sgomberata in esecuzione di provvedimenti delle competenti autorità in conseguenza dell'evento sismico del 26 dicembre 2018 e abbia formato oggetto di domanda di contributo per gli interventi per il ripristino con interventi locali, miglioramento o adeguamento sismico ovvero per la ricostruzione. Il contribuito è riconosciuto altresì, con la medesima decorrenza indicata nel primo periodo, ai nuclei familiari la cui abitazione principale, abituale e continuativa, deve essere sgomberata, in esecuzione di provvedimenti delle competenti autorità in conseguenza dell'evento sismico del 26 dicembre 2018, per l'esecuzione di interventi per il ripristino con interventi locali, miglioramento o adeguamento sismico degli edifici ovvero per la ricostruzione. Il contributo non è comunque riconosciuto ai soggetti che alla data dell'evento sismico di cui al presente comma dimoravano in modo abituale e continuativo in un'unità immobiliare condotta in locazione, con esclusione degli assegnatari di alloggi di edilizia residenziale pubblica. I criteri, le modalità e le condizioni per il riconoscimento del contributo per il disagio abitativo di cui al presente comma sono disciplinati, con propri atti, dal Commissario straordinario per la ricostruzione nei territori dei comuni della Città metropolitana di Catania colpiti dall'evento sismico del 26 dicembre 2018, di cui all'articolo 6 del decreto-legge 18 aprile 2019, n. 32, convertito, con modificazioni, dalla legge 14 giugno 2019, n. 55. Il contributo è concesso fino alla realizzazione delle condizioni per il rientro nell'abitazione, determinate con le ordinanze di cui al quarto periodo. Il beneficiario perde il diritto alla concessione del contributo quando provveda ad altra sistemazione avente carattere di stabilità. I comuni interessati curano l'istruttoria e concedono ed erogano il contributo per il disagio abitativo secondo i criteri e le modalità stabiliti dal Commissario straordinario. A decorrere dal 1° gennaio 2025, i nuclei familiari che alla data del 26 dicembre 2018 dimoravano in modo abituale e continuativo in un'unità immobiliare condotta in locazione e che risultano assegnatari di una soluzione abitativa in emergenza o di unità immobiliari reperite dalla pubblica amministrazione sono tenuti a corrispondere un contributo parametrato ai canoni stabiliti per l'assegnazione degli alloggi per l'edilizia residenziale pubblica decurtato del 30 per cento. Ai fini dell'attuazione del presente comma è autorizzata la spesa di 1,7 milioni di euro per l'anno 2025, che costituisce limite di spesa. Le relative risorse confluiscono nella contabilità speciale intestata al Commissario straordinario ai sensi dell'articolo 8 del citato decreto-legge n. 32 del 2019.

693. Allo scopo di assicurare il proseguimento e l'accelerazione dei processi di ricostruzione a seguito degli eventi alluvionali verificatisi a partire dal 1° maggio 2023, il termine di cui all'articolo 20-ter, comma 1, del decreto-legge 1° giugno 2023, n. 61, convertito, con modificazioni, dalla legge 31 luglio 2023, n. 100, è prorogato al 31 dicembre 2025. Per il compenso del Commissario straordinario e per il funzionamento della struttura di supporto di cui all'articolo 20-ter, commi 1 e 2, del citato decreto-legge n. 61 del 2023 è autorizzata la spesa nel limite massimo di 5 milioni di euro per l'anno 2025. Per le attività di cui all'articolo 20-ter, comma 8, del decreto-legge n. 61 del 2023 è autorizzata la spesa di 12,5 milioni di euro per l'anno 2025.

694. È autorizzata la spesa di 20 milioni di euro annui per ciascuno degli anni dal 2025 al 2029 al fine di favorire la riduzione della vulnerabilità sismica del patrimonio edilizio privato con destinazione d'uso residenziale, non oggetto dei contributi di cui all'articolo 9-novies del decreto-legge 11 giugno 2024, n. 76, convertito, con modificazioni, dalla legge 8 agosto 2024, n. 111, ubicato nella zona di intervento di cui all'articolo 2, comma 2, del decreto-legge 12 ottobre 2023, n. 140, convertito, con modificazioni, dalla legge 7 dicembre 2023, n. 183. Le risorse di cui al primo periodo del presente comma sono destinate alla concessione di contributi per la realizzazione degli interventi di riqualificazione sismica di cui al comma 695 in favore dei nuclei familiari la cui abitazione principale, abituale e continuativa, sia risultata di maggiore vulnerabilità sismica sulla base degli esiti dell'analisi della vulnerabilità sismica dell'edilizia privata di cui all'articolo 2, commi 1, lettera b), e 3, lettera b), del medesimo decreto-legge 12 ottobre 2023, n. 140, convertito, con modificazioni, dalla legge 7 dicembre 2023, n. 183, e in applicazione dei criteri stabiliti con il decreto di cui al comma 701.

695. Il contributo di cui al comma 694 è concesso per metro quadrato di superficie complessiva dell'edificio, come individuata ai sensi dell'articolo 3, comma 1, lettera ff), dell'allegato 1 all'ordinanza del Commissario straordinario del Governo n. 130 del 15 dicembre 2022 ai fini della ricostruzione nei territori interessati dagli eventi sismici verificatisi a far data dal 24 agosto 2016, pubblicata nella Gazzetta Ufficiale n. 20 del 25 gennaio 2023, al proprietario o all'usufruttuario dell'unità immobiliare interessata ovvero al conduttore a tal fine delegato dal proprietario o dall'usufruttuario dell'unità immobiliare; in tale ultimo caso il conduttore presenta, unitamente alla domanda di contributo, l'atto di delega alla riqualificazione sismica dell'immobile rilasciato dal proprietario o dall'usufruttuario. Per ogni unità immobiliare è ammissibile una sola domanda di contributo. Il contributo è concesso nel limite massimo del 50 per cento del costo da sostenere e ritenuto ammissibile in applicazione dei criteri stabiliti con il decreto di cui al comma 701.

696. Il contributo di cui al comma 694 non concorre alla formazione del reddito imponibile dei beneficiari ai fini dell'imposta sul reddito delle persone fisiche.

697. La domanda di contributo di cui al comma 694 è presentata dal soggetto legittimato ai sensi del comma 695 al comune nel cui territorio è ubicato l'immobile interessato dall'intervento di riqualificazione sismica. Alla domanda, che contiene anche la dichiarazione, ai sensi degli articoli 46 e 47 del testo unico delle disposizioni legislative e regolamentari in materia di documentazione amministrativa, di cui al decreto del Presidente della Repubblica 28 dicembre 2000, n. 445, in ordine all'eventuale spettanza di ulteriori contributi pubblici o di indennizzi assicurativi per la riqualificazione sismica del medesimo immobile, sono obbligatoriamente allegate, a pena di inammissibilità della stessa:

a) la documentazione necessaria per il rilascio del titolo edilizio;

b) la copia degli esiti dell'analisi di vulnerabilità di cui all'articolo 2, commi 1, lettera b), e 3, lettera b), del decreto-legge 12 ottobre 2023, n. 140, convertito, con modificazioni, dalla legge 7 dicembre 2023, n. 183, riferite all'edificio per cui è presentata la domanda di contributo;

c) la dichiarazione asseverata da parte di un professionista abilitato, che attesta i lavori da eseguire e la relativa valutazione economica mediante computo metrico estimativo e quadro economico dell'intervento, nonché la quantificazione delle prestazioni professionali determinata mediante le tabelle di cui al decreto del Ministro della giustizia 17 giugno 2016, pubblicato nella Gazzetta Ufficiale n. 174 del 27 luglio 2016;

d) la documentazione attestante lo stato legittimo dell'unità immobiliare ai sensi dell'articolo 9-bis del testo unico delle disposizioni legislative e regolamentari in materia edilizia, di cui al decreto del Presidente della Repubblica 6 giugno 2001, n. 380.

698. Per le finalità di cui ai commi da 694 a 699, nel caso di interventi relativi a edifici con più unità immobiliari, la concessione del contributo in favore degli aventi diritto è subordinata alla presentazione, unitamente alla domanda, di un progetto unitario per l'intero edificio, inteso come unità strutturale ai sensi delle norme tecniche per le costruzioni, di cui al decreto del Ministro delle infrastrutture e dei trasporti 17 gennaio 2018, pubblicato nel supplemento ordinario n. 8 alla Gazzetta Ufficiale n. 42 del 20 febbraio 2018. Il contributo, ai sensi del primo periodo, spetta anche qualora tra le unità immobiliari componenti l'edificio siano presenti, oltre alle unità immobiliari adibite ad abitazione principale ai sensi del comma 694, unità immobiliari adibite ad abitazione non principale o aventi destinazione d'uso diversa da quella residenziale.

699. I comuni istruiscono le domande e adottano il provvedimento decisorio espresso entro sessanta giorni dalla presentazione della domanda di contributo. Nel termine stabilito con il decreto di cui al comma 701, a pena di decadenza dal diritto al contributo, devono essere ultimati gli interventi di cui al comma 695 e deve essere redatto il certificato di regolare esecuzione o di collaudo.

700. I contributi di cui al comma 694 sono erogati al netto degli eventuali ulteriori contributi pubblici di riqualificazione sismica e degli eventuali contributi o indennizzi riconosciuti in relazione al medesimo edificio e per analoghe finalità da un'amministrazione pubblica, anche come credito d'imposta, o da istituti assicurativi, e sono concessi a condizione che gli immobili interessati siano muniti del prescritto titolo abilitativo e realizzati in conformità ad esso ovvero siano muniti di titolo in sanatoria conseguito alla data di presentazione della relativa domanda, in coerenza con quanto previsto dal comma 1 dell'articolo 9-octies del decreto-legge 11 giugno 2024, n. 76, convertito, con modificazioni, dalla legge 8 agosto 2024, n. 111.

701. Con decreto del Ministro per la protezione civile e le politiche del mare, adottato entro novanta giorni dalla data di entrata in vigore della presente legge, di concerto con il Ministro dell'economia e delle finanze, previa intesa con il Presidente della regione Campania, sono definiti:

a) i criteri di riparto delle risorse di cui al comma 694 tra i comuni interessati e le modalità di trasferimento agli stessi delle risorse assegnate;

b) le procedure e i criteri di priorità nell'assegnazione dei contributi, ivi compresi i criteri per la certificazione dell'abitazione abituale e continuativa, i criteri di determinazione del contributo concedibile per la realizzazione degli interventi di cui al comma 695 e le modalità di erogazione in favore dei beneficiari, con riferimento, altresì, alla percentuale di riduzione della vulnerabilità sismica, espressa dal rapporto ζE del paragrafo 8.3 delle norme tecniche per le costruzioni, di cui al citato decreto del Ministro delle infrastrutture e dei trasporti 17 ottobre 2018, in relazione alle tipologie di intervento previste, da conseguire all'esito dell'intervento di cui al comma 695 per il riconoscimento del contributo pubblico, nonché alla definizione dei costi convenzionali di intervento sulla base dei quali determinare il contributo per il singolo intervento, comprensivo delle spese tecniche per la progettazione;

c) le modalità di presentazione delle domande di contributo, anche mediante la predisposizione di modelli uniformi;

d) i termini di conclusione degli interventi e di redazione del certificato di regolare esecuzione o del collaudo degli stessi per le finalità di cui al comma 699, secondo periodo;

e) i tempi e le modalità di rendicontazione da parte dei comuni dei contributi erogati per la realizzazione degli interventi di cui al comma 695.

702. Agli oneri derivanti dall'attuazione dei commi da 694 a 701, pari a 20 milioni di euro per ciascuno degli anni dal 2025 al 2029, si provvede a valere sull'autorizzazione di spesa di cui all'articolo 1, comma 140, della legge 11 dicembre 2016, n. 232, relativamente alla quota affluita nello stato di previsione del Ministero dell'economia e delle finanze ai sensi del decreto del Presidente del Consiglio dei ministri 21 luglio 2017, pubblicato nella Gazzetta Ufficiale n. 226 del 27 settembre 2017, per gli interventi di prevenzione del rischio sismico di competenza del Dipartimento Casa Italia della Presidenza del Consiglio dei ministri.

703. All'articolo 9-quinquies, comma 2, del decreto-legge 11 giugno 2024, n. 76, convertito, con modificazioni, dalla legge 8 agosto 2024, n. 111, sono apportate le seguenti modificazioni:

a) al primo periodo, sono aggiunte, in fine, le seguenti parole: « e di euro 3.800.000 per l'anno 2025 »;

b) al terzo periodo, dopo le parole: « si provvede » sono inserite le seguenti: « , per l'anno 2024, » e dopo le parole: « decreto legislativo 2 gennaio 2018, n. 1, » sono inserite le seguenti: « e, per l'anno 2025, a valere sull'autorizzazione di spesa di cui all'articolo 1, comma 140, della legge 11 dicembre 2016, n. 232, relativamente alla quota affluita nello stato di previsione del Ministero dell'economia e delle finanze ai sensi del decreto del Presidente del Consiglio dei ministri 21 luglio 2017, pubblicato nella Gazzetta Ufficiale n. 226 del 27 settembre 2017, per gli interventi di prevenzione del rischio sismico di competenza del Dipartimento Casa Italia della Presidenza del Consiglio dei ministri »;

c) al quarto periodo, le parole: « 31 dicembre 2024 » sono sostituite dalle seguenti: « 31 dicembre 2025 ».

704. Ai fini del completamento della carta geologica ufficiale d'Italia alla scala 1:50.000, della sua informatizzazione e delle relative attività strumentali, l'autorizzazione di spesa di cui all'articolo 1, comma 702, della legge 29 dicembre 2022, n. 197, è rifinanziata per un importo di 1 milione di euro per ciascuno degli anni 2025, 2026 e 2027. Agli oneri derivanti dal presente comma, pari a 1 milione di euro per ciascuno degli anni 2025, 2026 e 2027, si provvede mediante corrispondente riduzione del Fondo di cui all'articolo 1, comma 200, della legge 23 dicembre 2014, n. 190, come rifinanziato ai sensi del comma 884 del presente articolo.

705. I commi 3 e 3-bis dell'articolo 57 del decreto-legge 14 agosto 2020, n. 104, convertito, con modificazioni, dalla legge 13 ottobre 2020, n. 126, si interpretano nel senso che le assunzioni a tempo indeterminato di personale ivi previste sono in deroga anche ai vincoli di contenimento della spesa di personale di cui all'articolo 1, commi 557 e 562, della legge 27 dicembre 2006, n. 296, e in caso di finanziamento parziale per la sola quota finanziata dal fondo istituito ai sensi del citato comma 3-bis.

706. All'articolo 58, comma 1, della legge 28 dicembre 2015, n. 221, sono aggiunti, in fine, i seguenti periodi: « Fermo restando quanto previsto dal comma 2, una quota del Fondo, fino a un massimo di 144 milioni di euro per l'anno 2025, può essere destinata a un piano stralcio, relativo al potenziamento delle infrastrutture idriche, approvato con decreto del Presidente del Consiglio dei ministri, su proposta del Ministro delle infrastrutture e dei trasporti, di concerto con il Ministro dell'economia e delle finanze, previa intesa in sede di Conferenza unificata di cui all'articolo 8 del decreto legislativo 28 agosto 1997, n. 281, sentita l'Autorità di regolazione per energia, reti e ambiente, da emanare entro sessanta giorni dalla data di entrata in vigore della presente disposizione. Una quota delle risorse di cui al quinto periodo è versata all'entrata del bilancio dello Stato e resta acquisita all'erario, nella misura di 35 milioni di euro per l'anno 2025 e di 15 milioni di euro per l'anno 2026. A tal fine è corrispondentemente autorizzata la spesa per la realizzazione del progetto di messa in sicurezza e di ammodernamento del sistema idrico del Peschiera ».

707. All'articolo 51, comma 1-quater, del decreto-legge 24 febbraio 2023, n. 13, convertito, con modificazioni, dalla legge 21 aprile 2023, n. 41, dopo le parole: « per il finanziamento, nei limiti delle relative risorse disponibili, » sono inserite le seguenti: « di investimenti per il potenziamento delle infrastrutture idriche, individuati con le modalità di cui all'articolo 58, comma 1, quinto periodo, della legge 28 dicembre 2015, n. 221, nonché ».

708. Il fondo di cui all'articolo 1, comma 416, della legge 30 dicembre 2021, n. 234, è rifinanziato per un importo di 1 milione di euro per ciascuno degli anni 2025 e 2026 e di 2 milioni di euro per l'anno 2027. Agli oneri derivanti dal presente comma, pari a 1 milione di euro per ciascuno degli anni 2025 e 2026 e a 2 milioni di euro per l'anno 2027, si provvede mediante corrispondente riduzione del Fondo di cui all'articolo 1, comma 200, della legge 23 dicembre 2014, n. 190, come rifinanziato ai sensi del comma 884 del presente articolo.

709. Per fare fronte agli effetti dei cambiamenti climatici sulla disponibilità delle risorse idriche e per la valorizzazione degli ambiti montani, alla regione Valle d'Aosta è assegnato un contributo straordinario di 1,5 milioni di euro per ciascuno degli anni 2025, 2026 e 2027. Agli oneri derivanti dal presente comma, pari a 1,5 milioni di euro per ciascuno degli anni 2025, 2026 e 2027, si provvede mediante corrispondente riduzione del Fondo di cui all'articolo 1, comma 200, della legge 23 dicembre 2014, n. 190, come rifinanziato ai sensi del comma 884 del presente articolo.

710. In attuazione del punto 1 dell'accordo tra il Ministro dell'economia e delle finanze e la regione Friuli Venezia Giulia in materia di finanza pubblica, sottoscritto il 19 ottobre 2024, ai sensi dell'articolo 2 del decreto legislativo 25 novembre 2019, n. 154, il sistema integrato degli enti territoriali del Friuli Venezia Giulia concorre alla finanza pubblica con un contributo annuo di euro 432.700.000 per ciascuno degli anni dal 2027 al 2033.

711. In attuazione del punto 2 dell'accordo tra il Ministro dell'economia e delle finanze e la regione Friuli Venezia Giulia in materia di finanza pubblica, sottoscritto il 19 ottobre 2024, la regione Friuli Venezia Giulia, entro il 31 marzo 2025, versa al bilancio dello Stato l'importo di euro 422.689.368 quantificato in via definitiva a titolo di restituzione delle risorse ricevute in eccesso rispetto alla perdita di gettito connessa all'emergenza epidemiologica da COVID-19 per il biennio 2020-2021, ai sensi dell'articolo 1, comma 823, della legge 30 dicembre 2020, n. 178. In mancanza di tale versamento all'entrata del bilancio dello Stato entro il 31 marzo 2025, il Ministero dell'economia e delle finanze è autorizzato a trattenere gli importi corrispondenti a valere sulle somme a qualsiasi titolo spettanti alla regione, anche avvalendosi dell'Agenzia delle entrate per le somme introitate per il tramite della struttura di gestione.

712. In attuazione del punto 3 dell'accordo tra il Ministro dell'economia e delle finanze e la regione Friuli Venezia Giulia in materia di finanza pubblica, sottoscritto il 19 ottobre 2024, e in attuazione delle regole della nuova governance economica europea, la regione Friuli Venezia Giulia, per conto del sistema integrato degli enti territoriali del Friuli Venezia Giulia, accantona un importo pari a 22 milioni di euro per l'anno 2025, a 62 milioni di euro per ciascuno degli anni dal 2026 al 2028 e a 96 milioni di euro per l'anno 2029, determinato considerando anche gli enti locali situati nel relativo territorio.

713. In attuazione del punto 1 dell'accordo tra il Ministro dell'economia e delle finanze e la regione Sardegna in materia di finanza pubblica, sottoscritto il 20 ottobre 2024, a decorrere dall'anno 2026 il contributo alla finanza pubblica della regione Sardegna, di cui all'articolo 1, comma 543, della legge 30 dicembre 2021, n. 234, è confermato in 306,4 milioni di euro annui.

714. In attuazione del punto 3 dell'accordo tra il Ministro dell'economia e delle finanze e la regione Sardegna in materia di finanza pubblica, sottoscritto il 20 ottobre 2024, la regione Sardegna versa al bilancio dello Stato euro 92.568.134 entro il 31 marzo 2025 a titolo di restituzione delle risorse ricevute in eccesso rispetto alla perdita di gettito connessa all'emergenza epidemiologica da COVID-19 per il biennio 2020-2021, ai sensi dell'articolo 1, comma 823, della legge 30 dicembre 2020, n. 178. In mancanza del versamento all'entrata del bilancio dello Stato entro il 31 marzo 2025 dell'importo di cui al primo periodo, il Ministero dell'economia e delle finanze è autorizzato a trattenere gli importi corrispondenti a valere sulle somme a qualsiasi titolo spettanti alla regione.

715. In attuazione del punto 4 dell'accordo tra il Ministro dell'economia e delle finanze e la regione Sardegna in materia di finanza pubblica, sottoscritto il 20 ottobre 2024 e in attuazione delle regole della nuova governance economica europea, la regione Sardegna accantona nel bilancio di previsione un importo pari a 27 milioni di euro per l'anno 2025, a 85 milioni di euro per ciascuno degli anni dal 2026 al 2028 e a 134 milioni di euro per l'anno 2029, secondo le modalità e nel rispetto degli ulteriori obblighi previsti al medesimo punto 4.

716. In attuazione del punto 1 dell'accordo tra il Ministro dell'economia e delle finanze e la regione Trentino-Alto Adige e le province autonome di Trento e di Bolzano in materia di finanza pubblica del 19 ottobre 2024, le province autonome di Trento e di Bolzano versano all'entrata del bilancio dello Stato, con imputazione sul capitolo 3465, articolo 1, capo X, entro il 31 marzo 2025, rispettivamente euro 154.943.007 ed euro 103.687.794, quantificati in via definitiva a titolo di restituzione delle risorse ricevute in eccesso rispetto alla perdita di gettito connessa all'emergenza epidemiologica da COVID-19 per il biennio 2020-2021, ai sensi dell'articolo 1, comma 823, della legge 30 dicembre 2020, n. 178. In mancanza di tale versamento all'entrata del bilancio dello Stato entro il 31 marzo 2025, il Ministero dell'economia e delle finanze è autorizzato a trattenere gli importi corrispondenti a valere sulle somme a qualsiasi titolo spettanti alle province autonome anche avvalendosi dell'Agenzia delle entrate per le somme introitate per il tramite della struttura di gestione.

717. All'articolo 79 del testo unico delle leggi costituzionali concernenti lo statuto speciale per il Trentino-Alto Adige, di cui al decreto del Presidente della Repubblica 31 agosto 1972, n. 670, dopo il comma 4-octies, è aggiunto il seguente:

« 4-novies. In attuazione delle regole della nuova governance economica europea e in spirito di leale collaborazione, la regione e le province autonome, per conto del sistema territoriale regionale integrato, accantonano un importo pari a 1 milione di euro per l'anno 2025, a 2 milioni di euro per ciascuno degli anni dal 2026 al 2028 e a 4 milioni di euro per l'anno 2029 sul bilancio della regione Trentino-Alto Adige, un importo pari a 16 milioni di euro per l'anno 2025, a 46 milioni di euro per ciascuno degli anni dal 2026 al 2028 e a 73 milioni di euro per l'anno 2029 sul bilancio della provincia autonoma di Trento e un importo pari a 19 milioni di euro per l'anno 2025, a 53 milioni di euro per ciascuno degli anni dal 2026 al 2028 e a 85 milioni di euro per l'anno 2029 sul bilancio della provincia autonoma di Bolzano. A tal fine, la regione e le province autonome, per conto del sistema integrato, iscrivono nella missione 20 della parte corrente di ciascuno degli esercizi del bilancio di previsione un fondo con stanziamento pari agli importi di cui al primo periodo. La costituzione del fondo è finanziata attraverso le risorse di parte corrente. Su tale fondo non è possibile disporre impegni. Il fondo è destinato al ripiano anticipato del disavanzo di amministrazione ulteriore rispetto a quello previsto nel bilancio di previsione, se in disavanzo, ovvero, se in avanzo di amministrazione, è vincolato agli investimenti, anche indiretti, per l'utilizzo nell'esercizio successivo in via prioritaria rispetto alla formazione di nuovo debito. Con riferimento al bilancio di previsione 2025-2027, il suddetto fondo è istituito entro il 31 gennaio 2025. Nel caso di mancato accantonamento del fondo ovvero di mancato rispetto, da parte della regione o delle province autonome, dell'equilibrio di bilancio di cui all'articolo 1, comma 821, della legge 30 dicembre 2018, n. 145, nell'esercizio successivo la quota accantonata è incrementata della sommatoria in valore assoluto del minore accantonamento e del saldo negativo registrato nell'esercizio precedente. Nel caso di mancato invio entro il 31 maggio alla banca dati delle amministrazioni pubbliche dei dati di consuntivo o di preconsuntivo della regione o delle province autonome relativi all'esercizio precedente, l'accantonamento è incrementato del 10 per cento ».

718. Le disposizioni recate dal comma 717 del presente articolo sono approvate ai sensi e per gli effetti dell'articolo 104 del testo unico di cui al decreto del Presidente della Repubblica 31 agosto 1972, n. 670.

719. In attuazione del punto 1 dell'accordo tra il Ministro dell'economia e delle finanze e la regione Valle d'Aosta in materia di finanza pubblica sottoscritto il 20 ottobre 2024, il contributo alla finanza pubblica della regione Valle d'Aosta, di cui all'articolo 1, comma 559, della legge 30 dicembre 2021, n. 234, a decorrere dall'anno 2026, è confermato in 82,246 milioni di euro annui, determinati con riferimento alla regione, ai relativi enti locali e ai rispettivi enti strumentali.

720. In attuazione del punto 4 dell'accordo tra il Ministro dell'economia e delle finanze e la regione Valle d'Aosta in materia di finanza pubblica, sottoscritto il 20 ottobre 2024, entro il 31 marzo 2025 la regione Valle d'Aosta versa al bilancio dello Stato l'importo di euro 8.081.183, quantificato in via definitiva a titolo di restituzione delle risorse ricevute in eccesso rispetto alla perdita di gettito connessa all'emergenza epidemiologica da COVID-19 per il biennio 2020-2021, ai sensi dell'articolo 1, comma 823, della legge 30 dicembre 2020, n. 178. In mancanza di tale versamento all'entrata del bilancio dello Stato entro il 31 marzo 2025, il Ministero dell'economia e delle finanze è autorizzato a trattenere gli importi corrispondenti a valere sulle somme a qualsiasi titolo spettanti alla regione.

721. In attuazione del punto 5 dell'accordo tra il Ministro dell'economia e delle finanze e la regione Valle d'Aosta in materia di finanza pubblica del 20 ottobre 2024 e in attuazione delle regole della nuova governance economica europea, la regione Valle d'Aosta, anche per conto degli enti locali del proprio territorio, accantona nel proprio bilancio un importo pari a 5 milioni di euro per l'anno 2025, a 13 milioni di euro per ciascuno degli anni dal 2026 al 2028 e a 20 milioni di euro per l'anno 2029, secondo le modalità e nel rispetto degli ulteriori obblighi previsti al medesimo punto 5.

722. In attuazione del punto 2 dell'accordo tra il Ministro dell'economia e delle finanze e la Regione Siciliana in materia di finanza pubblica del 19 ottobre 2024, a decorrere dall'anno 2026 il contributo alla finanza pubblica della Regione Siciliana di cui all'articolo 1, comma 545, della legge 30 dicembre 2021, n. 234, è confermato in 800,8 milioni di euro annui.

723. In attuazione del punto 3 dell'accordo tra il Ministro dell'economia e delle finanze e la Regione Siciliana in materia di finanza pubblica del 19 ottobre 2024, la Regione Siciliana versa al bilancio dello Stato l'importo di euro 451.363.715 entro il 31 marzo 2025 a titolo di restituzione delle risorse ricevute in eccesso rispetto alla perdita di gettito connessa all'emergenza epidemiologica da COVID-19 per il biennio 2020-2021, ai sensi dell'articolo 1, comma 823, della legge 30 dicembre 2020, n. 178. In mancanza di tale versamento all'entrata del bilancio dello Stato entro il 31 marzo 2025, il Ministero dell'economia e delle finanze è autorizzato a trattenere gli importi corrispondenti a valere sulle somme a qualsiasi titolo spettanti alla regione anche avvalendosi dell'Agenzia delle entrate per le somme introitate per il tramite della struttura di gestione.

724. In attuazione del punto 4 dell'accordo tra il Ministro dell'economia e delle finanze e la Regione Siciliana in materia di finanza pubblica del 19 ottobre 2024 e in attuazione delle regole della nuova governance economica europea, la Regione Siciliana accantona nel bilancio di previsione un importo pari a 60 milioni di euro per l'anno 2025, a 179 milioni di euro per ciascuno degli anni dal 2026 al 2028 e a 288 milioni di euro per l'anno 2029, secondo le modalità e nel rispetto degli ulteriori obblighi previsti al medesimo punto 4.

725. Al fine di promuovere un'economia e una crescita blu sostenibili, tenendo conto di tutte le componenti dell'economia marittima e avendo particolare riguardo alla valorizzazione dei mari, degli oceani, della biodiversità e dell'uso sostenibile delle risorse marine, nello stato di previsione del Ministero dell'economia e delle finanze, è istituito per il successivo trasferimento al bilancio autonomo della Presidenza del Consiglio dei ministri, un fondo con una dotazione di 3 milioni di euro per l'anno 2025 e di 5 milioni di euro annui a decorrere dall'anno 2026. Con uno o più decreti del Presidente del Consiglio dei ministri o, ove nominata, dell'Autorità politica delegata per le politiche del mare, di concerto con il Ministro dell'economia e delle finanze, sentito il Comitato interministeriale per le politiche del mare, di cui all'articolo 12 del decreto-legge 11 novembre 2022, n. 173, convertito, con modificazioni, dalla legge 16 dicembre 2022, n. 204, sono definiti i settori di intervento ammissibili al finanziamento del fondo di cui al presente comma nonché i criteri per la ripartizione delle risorse del medesimo fondo.

726. Al fine di garantire la coerenza della disciplina dell'addizionale regionale all'imposta sul reddito delle persone fisiche con la nuova articolazione degli scaglioni di reddito dell'imposta sul reddito delle persone fisiche prevista dall'articolo 11, comma 1, del testo unico delle imposte sui redditi, di cui al decreto del Presidente della Repubblica 22 dicembre 1986, n. 917, il termine stabilito dall'articolo 50, comma 3, secondo periodo, del decreto legislativo 15 dicembre 1997, n. 446, per modificare gli scaglioni e le aliquote applicabili per l'anno di imposta 2025, è differito al 15 aprile 2025.

727. Nelle more del riordino della fiscalità degli enti territoriali, le regioni e le province autonome di Trento e di Bolzano possono determinare, per i soli anni di imposta 2025, 2026 e 2027, aliquote differenziate dell'addizionale regionale all'imposta sul reddito delle persone fisiche sulla base degli scaglioni di reddito previsti dall'articolo 11, comma 1, del testo unico delle imposte sui redditi, di cui al decreto del Presidente della Repubblica 22 dicembre 1986, n. 917, vigenti fino alla data di entrata in vigore della presente legge. Per il solo anno di imposta 2025, il termine per approvare gli scaglioni di reddito e le aliquote di cui al primo periodo del presente comma è fissato al 15 aprile 2025.

728. Qualora le regioni e le province autonome di Trento e di Bolzano non approvino entro i termini stabiliti la legge modificativa degli scaglioni e delle aliquote, per gli anni di imposta 2025, 2026 e 2027, l'addizionale regionale all'imposta sul reddito delle persone fisiche si applica sulla base degli scaglioni di reddito e delle aliquote già vigenti in ciascun ente nell'anno precedente a quello di riferimento.

729. Le regioni e le province autonome di Trento e di Bolzano, entro il 15 maggio 2025, provvedono alla trasmissione dei dati rilevanti per la determinazione dell'addizionale regionale all'imposta sul reddito delle persone fisiche per l'anno 2025, prevista dall'articolo 50, comma 3, quarto periodo, del decreto legislativo 15 dicembre 1997, n. 446, ai fini della pubblicazione nel sito internet di cui all'articolo 1, comma 3, del decreto legislativo 28 settembre 1998, n. 360.

730. Il Fondo nazionale per il concorso finanziario dello Stato agli oneri del trasporto pubblico locale, anche ferroviario, nelle regioni a statuto ordinario, di cui all'articolo 16-bis, comma 1, del decreto-legge 6 luglio 2012, n. 95, convertito, con modificazioni, dalla legge 7 agosto 2012, n. 135, è incrementato di 120 milioni di euro per l'anno 2025. Le risorse derivanti dall'incremento di cui al primo periodo sono ripartite proporzionalmente tra le regioni che, in conseguenza dell'applicazione del criterio dei costi standard, ai sensi dell'articolo 27, comma 2, lettera a), del decreto-legge 24 aprile 2017, n. 50, convertito, con modificazioni, dalla legge 21 giugno 2017, n. 96, presentano imputazioni potenziali rispetto alle percentuali di accesso al Fondo di cui al primo periodo superiori alle rispettive percentuali assegnate nell'anno 2020.

731. All'articolo 27 del decreto-legge 24 aprile 2017, n. 50, convertito, con modificazioni, dalla legge 21 giugno 2017, n. 96, sono apportate le seguenti modificazioni:

a) al comma 2-quater, le parole: « Limitatamente agli anni 2023 e 2024 » sono sostituite dalle seguenti: « Limitatamente agli anni 2023, 2024 e 2025 »;

b) al comma 6, primo periodo, le parole: « entro il 31 luglio 2023 » sono sostituite dalle seguenti: « entro il 30 giugno 2025 », le parole: « previa intesa in sede di » sono sostituite dalle seguenti: « sentita la » e sono aggiunte, in fine, le seguenti parole: « a decorrere dall'anno 2026 ».

732. È assegnato un contributo di 1 milione di euro per l'anno 2025 e di 0,5 milioni di euro per ciascuno degli anni 2026 e 2027 in favore del comune di Brescia, da destinare a interventi infrastrutturali. Agli oneri derivanti dal presente comma, pari a 1 milione di euro per l'anno 2025 e a 0,5 milioni di euro per ciascuno degli anni 2026 e 2027, si provvede mediante corrispondente riduzione del Fondo di cui all'articolo 1, comma 200, della legge 23 dicembre 2014, n. 190, come rifinanziato ai sensi del comma 884 del presente articolo.

733. Al fine di prevenire l'uso fraudolento di apparecchiature di ricetrasmissione durante lo svolgimento degli esami di teoria per il conseguimento e il rinnovo dei titoli abilitativi alla guida e dei titoli professionali connessi, nonché di garantire elevati livelli di sicurezza informatica, assicurando il regolare svolgimento degli esami medesimi, il Dipartimento per i trasporti e la navigazione del Ministero delle infrastrutture e dei trasporti è autorizzato all'utilizzo di dispositivi atti all'analisi e all'inibizione delle frequenze. Per le finalità di cui al presente comma è autorizzata la spesa di euro 4.965.000 per l'anno 2025. Le modalità di erogazione delle risorse sono stabilite con decreto del Ministro delle infrastrutture e dei trasporti, da adottare di concerto con il Ministro delle imprese e del made in Italy. Agli oneri derivanti dalla manutenzione dei dispositivi di cui al presente comma a decorrere dall'anno 2026 si provvede a valere sulle risorse previste a legislazione vigente.

734. In considerazione dei criteri stabiliti dalla presente legge per l'applicazione della nuova governance economica europea agli enti territoriali, le disposizioni di cui all'articolo 6, comma 1-ter, del decreto-legge 29 settembre 2023, n. 132, convertito, con modificazioni, dalla legge 27 novembre 2023, n. 170, si applicano anche per gli anni 2025 e 2026, con riferimento al conseguimento, rispettivamente negli esercizi 2023 e 2024, dell'equilibrio definito ai sensi dell'articolo 1, comma 821, della legge 30 dicembre 2018, n. 145, riguardante il saldo del risultato di competenza al netto dell'importo determinato dal debito autorizzato e non contratto, risultante dai prospetti allegati al rendiconto della gestione trasmesso alla banca dati delle amministrazioni pubbliche, di cui all'articolo 13 della legge 31 dicembre 2009, n. 196. Al fine di adeguare, a decorrere dall'anno 2027, la metodologia di determinazione dell'indicatore di virtuosità di cui al terzo periodo del comma 20 dell'articolo 6 del decreto-legge 31 maggio 2010, n. 78, convertito, con modificazioni, dalla legge 30 luglio 2010, n. 122, alla luce della nuova governance europea, è istituito, senza nuovi o maggiori oneri a carico della finanza pubblica, con decreto del Ministro dell'economia e delle finanze, da adottare entro sessanta giorni dalla data di entrata in vigore della presente legge, un tavolo tecnico presso il Ministero dell'economia e delle finanze composto da due rappresentanti del Ministero dell'economia e delle finanze e da due rappresentanti della Conferenza delle regioni e delle province autonome. Ai componenti del tavolo non sono corrisposti compensi, gettoni di presenza, rimborsi di spese o altri emolumenti comunque denominati.

735. Per favorire la mobilità dei cittadini della Regione siciliana è autorizzata la spesa di 1 milione di euro per ciascuno degli anni 2025, 2026 e 2027, finalizzata alle esigenze infrastrutturali della linea ferroviaria Palermo-Agrigento-Porto Empedocle. Agli oneri derivanti dal presente comma, pari a 1 milione di euro per ciascuno degli anni 2025, 2026 e 2027, si provvede mediante corrispondente riduzione del Fondo di cui all'articolo 1, comma 200, della legge 23 dicembre 2014, n. 190, come rifinanziato ai sensi del comma 884 del presente articolo.

736. Al fine di rafforzare il coordinamento strategico e operativo, promuovere la digitalizzazione e la semplificazione dei processi, potenziare i servizi, ottimizzare il raccordo tra le strutture coinvolte e sviluppare servizi finalizzati all'erogazione e all'incremento dell'efficienza delle prestazioni istituzionali erogate dalle regioni a statuto ordinario in materia di politiche sociali e formazione professionale, è istituito nello stato di previsione del Ministero dell'economia e delle finanze un fondo con la dotazione di 45 milioni di euro per l'anno 2025. Il fondo è ripartito, sulla base di una proposta formulata dalle regioni in sede di coordinamento tra loro entro il 31 gennaio 2025, con decreto del Ministro dell'economia e delle finanze, previa intesa in sede di Conferenza permanente per i rapporti tra lo Stato, le regioni e le province autonome di Trento e di Bolzano.

737. Per gli anni 2025, 2026 e 2027, nel territorio della regione Abruzzo non si applica l'addizionale comunale sui diritti d'imbarco di passeggeri sugli aeromobili, di cui all'articolo 2, comma 11, della legge 24 dicembre 2003, n. 350. Ai comuni della regione Abruzzo, per le stesse annualità, non sono dovuti i trasferimenti di cui alla lettera a) del medesimo comma 11 e la regione Abruzzo provvede a ristorare, per ciascun anno dal 2025 al 2027, i comuni interessati.

738. In relazione a quanto previsto dal comma 737, per gli anni 2025, 2026 e 2027 la regione Abruzzo versa, entro il 30 aprile di ciascun anno, all'entrata del bilancio dello Stato, con oneri a carico della finanza regionale, la somma di 4.763.000 euro.

739. In relazione a quanto previsto dai commi 737 e 738, è trasferita all'Istituto nazionale della previdenza sociale, per gli anni 2025, 2026 e 2027, la somma di 3.663.000 euro annui ai fini della destinazione alle gestioni interessate.

740. Alle finalità di cui all'articolo 2, comma 11, lettere a) e b), della legge 24 dicembre 2003, n. 350, e di cui all'articolo 1, comma 1328, della legge 27 dicembre 2006, n. 296, per gli anni 2025, 2026 e 2027, è destinato l'importo complessivo di 1.100.000 euro annui.

741. Per effetto di quanto previsto dai commi da 737 a 740 del presente articolo, qualora la regione Abruzzo non disponga i versamenti entro i termini previsti, si applica l'articolo 1, comma 527, ultimo periodo, della legge 30 dicembre 2023, n. 213.

742. Per le compensazioni degli oneri di servizio pubblico sui servizi aerei di linea effettuati tra l'aeroporto di Ancona e i principali aeroporti nazionali, posti a carico dei vettori all'esito della relativa gara di appalto europea espletata secondo le disposizioni e le procedure di cui agli articoli 16 e 17 del regolamento (CE) n. 1008/2008 del Parlamento europeo e del Consiglio, del 24 settembre 2008, è autorizzata la spesa di 3 milioni di euro per l'anno 2025 e di 6 milioni di euro annui per ciascuno degli anni 2026 e 2027. Gli enti territoriali possono concorrere, mediante proprie risorse, al finanziamento degli oneri di cui al primo periodo, come definiti in apposita conferenza di servizi finalizzata a stabilire altresì, sulla base delle risorse individuate ai sensi del presente comma, il contenuto degli oneri di servizio pubblico da imporre ai collegamenti aerei da e per l'aeroporto di Ancona, in ottemperanza e nei limiti di quanto disposto dal citato regolamento (CE) n. 1008/2008.

743. Agli oneri derivanti dal comma 742, pari a 3 milioni di euro per l'anno 2025 e a 6 milioni di euro annui per ciascuno degli anni 2026 e 2027, si provvede mediante corrispondente riduzione del Fondo di cui all'articolo 1, comma 200, della legge 23 dicembre 2014, n. 190, come rifinanziato ai sensi del comma 884 del presente articolo.

744. All'articolo 2 della legge 24 dicembre 2003, n. 350, dopo il comma 11 sono inseriti i seguenti:

« 11-bis. L'Ente nazionale per l'aviazione civile comunica al Ministero delle infrastrutture e dei trasporti, entro il giorno 15 di ogni mese, i dati relativi al numero dei passeggeri registrati all'imbarco negli aeroporti nazionali nel mese precedente, suddiviso tra utenti di voli nazionali e utenti di voli internazionali, per singolo aeroporto e per singolo vettore.

11-ter. L'addizionale di cui al comma 11, nell'importo accertato, per ciascun aeroporto, in base ai dati di cui al comma 11-bis, è riscossa a cura dei gestori dei servizi aeroportuali, con le modalità in uso per la riscossione dei diritti d'imbarco. Le compagnie aeree eseguono il versamento entro tre mesi dalla fine del mese in cui sorge l'obbligo.

11-quater. L'ammontare delle somme riscosse è comunicato mensilmente al Ministero delle infrastrutture e dei trasporti da parte dei gestori di servizi aeroportuali ed è versato all'entrata del bilancio dello Stato entro la fine del mese successivo a quello di riscossione.

11-quinquies. Le comunicazioni di cui al comma 11-bis costituiscono accertamento del credito erariale nei confronti dei vettori obbligati all'applicazione dell'addizionale di cui al comma 11 e danno titolo, in caso di inadempimento, ad attivare la riscossione coattiva a cura del Ministero delle infrastrutture e dei trasporti nei confronti dei vettori inadempienti, secondo le modalità previste dall'articolo 29 del decreto- legge 31 maggio 2010, n. 78, convertito, con modificazioni, dalla legge 30 luglio 2010, n. 122, fermi restando gli obblighi previsti dall'articolo 610 del regolamento di cui al regio decreto 23 maggio 1924, n. 827.

11-sexies. In caso di violazione dell'obbligo di comunicazione di cui al comma 11-quater ovvero di violazioni concernenti il conseguente versamento, il Ministero delle infrastrutture e dei trasporti provvede all'accertamento dell'inadempimento e all'irrogazione di una sanzione amministrativa pari a 5.000 euro per ciascuna violazione riscontrata. Si applicano, in quanto compatibili, le disposizioni della legge 24 novembre 1981, n. 689. In caso di reiterate violazioni dell'obbligo di comunicazione di cui al comma 11-quater, la sanzione è raddoppiata ».

745. Dopo il comma 3-quater dell'articolo 6-quater del decreto-legge 31 gennaio 2005, n. 7, convertito, con modificazioni, dalla legge 31 marzo 2005, n. 43, sono aggiunti i seguenti:

« 3-quinquies. A decorrere dal 1° aprile 2025, l'addizionale comunale sui diritti di imbarco di passeggeri sugli aeromobili, di cui all'articolo 2, comma 11, della legge 24 dicembre 2003, n. 350, è incrementata di 0,5 euro per passeggero imbarcato su voli con destinazione al di fuori dell'Unione europea in partenza dagli aeroporti di cui al comma 3-sexies.

3-sexies. L'incremento dell'addizionale comunale di cui al comma 3-quinquies è destinato al comune o ai comuni nel cui territorio è situato il sedime aeroportuale di un aeroporto con volume di traffico pari o superiore a 10 milioni di passeggeri annui, calcolato con riferimento all'anno solare precedente. Nel caso in cui il comune interessato abbia popolazione inferiore a 15.000 abitanti, il relativo gettito è versato alla provincia o alla città metropolitana.

3-septies. Ai fini di cui al comma 3-sexies, l'Ente nazionale per l'aviazione civile comunica al Ministero delle infrastrutture e dei trasporti, entro il giorno 25 del primo mese dell'anno successivo a quello di rilevamento, i dati relativi al numero annuo dei passeggeri registrati all'imbarco negli aeroporti nazionali con destinazione al di fuori dell'Unione europea, suddiviso per singolo aeroporto e per vettore, e li pubblica nel proprio sito internet istituzionale. I gestori dei servizi aeroportuali provvedono alla riscossione dell'incremento di cui al comma 3-quinquies con le modalità previste per la riscossione dell'addizionale comunale sui diritti d'imbarco.

3-octies. Nel caso in cui il sedime dell'aeroporto sia situato nel territorio di più comuni, le somme derivanti dall'incremento dell'addizionale comunale di cui al comma 3-quinquies sono ripartite tra i medesimi comuni sulla base della percentuale di superficie del territorio comunale compresa nel perimetro aeroportuale sul totale del sedime, come risultante dai dati catastali.

3-novies. L'Ente nazionale per l'aviazione civile, sulla base dei dati di traffico comunicati ai sensi del comma 3-septies, pubblica nel proprio sito internet istituzionale, entro il primo trimestre di ciascun anno, l'elenco dei comuni e delle province o delle città metropolitane cui sono destinate le somme derivanti dall'incremento dell'addizionale comunale di cui al comma 3-quinquies, dandone altresì comunicazione agli enti interessati, unitamente alla percentuale spettante secondo le modalità determinate dal decreto di cui al comma 3-duodecies.

3-decies. Le somme derivanti dall'incremento dell'addizionale comunale di cui al comma 3-quinquies sono versate dai gestori dei servizi aeroportuali direttamente in favore dei comuni e delle province o delle città metropolitane beneficiari, secondo le modalità previste dal decreto di cui al comma 3-duodecies. La comunicazione di cui al comma 3-septies costituisce accertamento del credito nei confronti dei vettori obbligati all'applicazione dell'incremento. In caso di inadempimento, la riscossione coattiva è a carico dei comuni e delle province o delle città metropolitane beneficiari nei confronti dei vettori debitori.

3-undecies. I comuni e le province o le città metropolitane di cui al comma 3-sexies destinano le somme derivanti dall'incremento dell'addizionale comunale di cui al comma 3-quinquies alla realizzazione di opere di urbanizzazione primaria e secondaria e di nuove infrastrutture stradali o al potenziamento di quelle esistenti.

3-duodecies. Con decreto del Ministro delle infrastrutture e dei trasporti, di concerto con il Ministro dell'interno e con il Ministro dell'economia e delle finanze, sentita la Conferenza Stato-città ed autonomie locali, da emanare entro il 15 marzo 2025, sono stabilite le modalità di attuazione dei commi da 3-quinquies a 3-undecies, con particolare riferimento alla riscossione, al versamento e al riparto in favore degli enti interessati delle somme derivanti dall'incremento dell'addizionale comunale di cui al comma 3-quinquies ».

746. All'articolo 82, comma 1, della legge 27 dicembre 2002, n. 289, dopo le parole: « Trieste, Ancona, » è inserita la seguente: « Brindisi, ».

747. Per la compensazione degli oneri di servizio pubblico sui servizi aerei di linea da e per l'aeroporto di Brindisi, verso alcuni tra i principali aeroporti nazionali, accettati dai vettori selezionati mediante gara di appalto europea ai sensi degli articoli 16 e 17 del regolamento (CE) n. 1008/2008 del Parlamento europeo e del Consiglio, del 24 settembre 2008, è autorizzata la spesa di 1,5 milioni di euro per l'anno 2025, di 1,7 milioni di euro per l'anno 2026 e di 1,8 milioni di euro per l'anno 2027. Gli enti territoriali possono concorrere, mediante proprie risorse, al finanziamento degli oneri di cui al primo periodo, come definiti in apposita conferenza di servizi finalizzata a individuare altresì, sulla base delle risorse individuate ai sensi del presente comma, il contenuto degli oneri di servizio pubblico da imporre ai collegamenti aerei da e per l'aeroporto di Brindisi, in ottemperanza e nei limiti di quanto disposto dal citato regolamento (CE) n. 1008/2008.

748. Agli oneri derivanti dall'attuazione dei commi 746 e 747, pari a 1,5 milioni di euro per l'anno 2025, a 1,7 milioni di euro per l'anno 2026 e a 1,8 milioni di euro per l'anno 2027, si provvede mediante corrispondente riduzione del Fondo di cui all'articolo 1, comma 200, della legge 23 dicembre 2014, n. 190, come rifinanziato ai sensi del comma 884 del presente articolo.

749. L'autorizzazione di spesa di cui all'articolo 1, comma 521, della legge 29 dicembre 2022, n. 197, concernente un contributo straordinario alla regione Calabria per la realizzazione di opere pubbliche, è incrementata di 1 milione di euro per l'anno 2025, di 3,1 milioni di euro per l'anno 2026 e di 5 milioni di euro per ciascuno degli anni 2027, 2028 e 2029. Le risorse di cui al presente comma sono ripartite tra i comuni della regione Calabria. Con deliberazione della giunta regionale sono individuati i comuni destinatari delle risorse e gli interventi da finanziare. Agli oneri derivanti dall'attuazione del presente comma, pari a 1 milione di euro per l'anno 2025, a 3,1 milioni di euro per l'anno 2026 e a 5 milioni di euro per ciascuno degli anni 2027, 2028 e 2029, si provvede mediante corrispondente riduzione del Fondo di cui all'articolo 1, comma 200, della legge 23 dicembre 2014, n. 190, come rifinanziato ai sensi del comma 884 del presente articolo.

750. Al fine di garantire la coerenza della disciplina dell'addizionale comunale all'imposta sul reddito delle persone fisiche con la nuova articolazione degli scaglioni di reddito dell'imposta sul reddito delle persone fisiche prevista dall'articolo 11, comma 1, del testo unico delle imposte sui redditi, di cui al decreto del Presidente della Repubblica 22 dicembre 1986, n. 917, in deroga all'articolo 1, comma 169, primo periodo, della legge 27 dicembre 2006, n. 296, e all'articolo 172, comma 1, lettera c), del testo unico delle leggi sull'ordinamento degli enti locali, di cui al decreto legislativo 18 agosto 2000, n. 267, i comuni per l'anno 2025 modificano, con propria deliberazione, entro il 15 aprile 2025, gli scaglioni e le aliquote dell'addizionale comunale in conformità alla nuova articolazione prevista per l'imposta sul reddito delle persone fisiche.

751. Nelle more del riordino della fiscalità degli enti territoriali, i comuni possono determinare, per i soli anni di imposta 2025, 2026 e 2027, aliquote differenziate dell'addizionale comunale all'imposta sul reddito delle persone fisiche sulla base degli scaglioni di reddito previsti dall'articolo 11, comma 1, del testo unico di cui al decreto del Presidente della Repubblica 22 dicembre 1986, n. 917, vigenti fino alla data di entrata in vigore della presente legge. Per il solo anno di imposta 2025, il termine per approvare gli scaglioni di reddito e le aliquote di cui al primo periodo del presente comma è fissato al 15 aprile 2025, in deroga al citato articolo 1, comma 169, primo periodo, della legge n. 296 del 2006 e all'articolo 172, comma 1, lettera c), del testo unico di cui al decreto legislativo 18 agosto 2000, n. 267.

752. Qualora i comuni non adottino la deliberazione di cui ai commi 750 e 751 del presente articolo o non la trasmettano entro il termine stabilito dall'articolo 14, comma 8, del decreto legislativo 14 marzo 2011, n. 23, per gli anni di imposta 2025, 2026 e 2027, l'addizionale comunale all'imposta sul reddito delle persone fisiche si applica sulla base degli scaglioni di reddito e delle aliquote già vigenti in ciascun ente nell'anno precedente a quello di riferimento.

753. All'articolo 1 della legge 11 dicembre 2016, n. 232, sono apportate le seguenti modificazioni:

a) al comma 448, le parole da: « per ciascuno degli anni dal 2025 al 2028 » fino a: « dall'anno 2031 » sono sostituite dalle seguenti: « per l'anno 2025, in euro 6.872.590.365 per l'anno 2026, in euro 6.928.590.365 per l'anno 2027, in euro 6.984.590.365 per l'anno 2028, in euro 8.260.590.365 per l'anno 2029, in euro 8.214.594.113 per l'anno 2030 e in euro 8.978.517.113 annui a decorrere dall'anno 2031 »;

b) al comma 449:

1) alla lettera d-quater), le parole: « e 560 milioni di euro annui a decorrere dal 2024, » sono sostituite dalle seguenti: « , 560 milioni di euro in ciascuno degli anni 2024 e 2025, 672 milioni di euro nel 2026, 728 milioni di euro nel 2027, 784 milioni di euro nel 2028, 840 milioni di euro nel 2029 e 870 milioni di euro annui a decorrere dal 2030, »;

2) alla lettera d-duodecies), le parole: « pari a euro 71.982.000 » sono sostituite dalle seguenti: « pari a euro 75.996.252 ».

754. Nello stato di previsione del Ministero dell'interno è istituito un fondo, con una dotazione pari a 56 milioni di euro per l'anno 2025, per specifiche esigenze di correzione del riparto del Fondo di solidarietà comunale, destinato ai comuni delle regioni a statuto ordinario. L'elenco dei comuni beneficiari, nonché i criteri e le modalità di riparto delle risorse di cui al primo periodo sono determinati con decreto del Ministro dell'interno, di concerto con il Ministro dell'economia e delle finanze, da emanare entro il 30 gennaio 2025, previa intesa in sede di Conferenza Stato-città ed autonomie locali.

755. Il fondo di cui all'articolo 53, comma 1, del decreto-legge 14 agosto 2020, n. 104, convertito, con modificazioni, dalla legge 13 ottobre 2020, n. 126, è incrementato di 5 milioni di euro per l'anno 2025, da destinare ai comuni della Regione siciliana e della regione Sardegna con popolazione tra i 20.000 e i 35.000 abitanti che risultano avere il piano di riequilibrio finanziario, con durata dall'anno 2014 all'anno 2023, approvato dalla Corte dei conti nell'anno 2015 e tuttora soggetto al controllo della Corte dei conti. Con decreto del Ministro dell'interno, di concerto con il Ministro dell'economia e delle finanze, sentita la Conferenza Stato-città ed autonomie locali, da emanare entro trenta giorni dalla data di entrata in vigore della presente legge, sono ripartite le risorse stanziate sulla base della popolazione residente alla data del 31 dicembre 2023.

756. Agli oneri derivanti dal comma 755, pari a 5 milioni di euro per l'anno 2025, si provvede mediante corrispondente riduzione del Fondo di cui all'articolo 1, comma 200, della legge 23 dicembre 2014, n. 190, come rifinanziato ai sensi del comma 884 della presente legge.

757. All'articolo 1 della legge 27 dicembre 2019, n. 160, sono apportate le seguenti modificazioni:

a) al comma 817 sono aggiunte, in fine, le seguenti parole: « attuata secondo criteri di ragionevolezza e di gradualità in ragione dell'impatto ambientale e urbanistico delle occupazioni e delle esposizioni pubblicitarie oggetto del canone e della loro incidenza su elementi di arredo urbano o sui mezzi dei servizi di trasporto pubblico locale o dei servizi di mobilità sostenibile »;

b) al comma 821:

1) la lettera d) è sostituita dalla seguente:

« d) la superficie degli impianti destinati dal comune al servizio delle pubbliche affissioni, ove il comune continui a svolgere tale servizio »;

2) alla lettera f) è aggiunto, in fine, il seguente periodo: « Per gli impianti ubicati su suolo privato o comunque in aree private, il canone può essere ridotto fino alla metà »;

c) al comma 825:

1) al primo periodo, dopo le parole: « del mezzo pubblicitario, » sono inserite le seguenti: « esclusa quella relativa agli elementi privi di carattere pubblicitario, »;

2) sono aggiunti, in fine, i seguenti periodi: « In caso di installazione, su un unico impianto pubblicitario, di una pluralità di segnali turistici o di territorio o di frecce direzionali, anche riferiti a soggetti e ad aziende diversi, la superficie assoggettabile al canone unico patrimoniale è quella dell'intero impianto oggetto della concessione o dell'autorizzazione. Nell'ipotesi in cui i titolari del provvedimento di concessione o di autorizzazione all'installazione dell'impianto siano diversi, il canone è liquidato distintamente, in proporzione alla superficie del segnale o del gruppo segnaletico posto nella disponibilità di ciascuno di essi ».

758. Al fine di erogare un contributo ai proprietari delle unità immobiliari site nell'immobile noto come « Torre di via Antonini » nel comune di Milano, a seguito dell'incendio del 29 agosto 2021 e della conseguente dichiarazione di inagibilità dell'immobile, nello stato di previsione del Ministero dell'interno è istituito un fondo con una dotazione di 50.000 euro per l'anno 2025. Con decreto del Ministro dell'interno, adottato di concerto con il Ministro dell'economia e delle finanze, sono stabilite le disposizioni di attuazione del presente comma. Agli oneri derivanti dal presente comma, pari a 50.000 euro per l'anno 2025, si provvede mediante corrispondente riduzione del Fondo di cui all'articolo 1, comma 200, della legge 23 dicembre 2014, n. 190, come rifinanziato ai sensi del comma 884 della presente legge.

759. Al fine di contribuire alle spese sostenute dai comuni per l'assistenza ai minori per i quali sia stato disposto l'allontanamento dalla casa familiare con provvedimento dell'autorità giudiziaria, è istituito un fondo nello stato di previsione del Ministero dell'interno, con una dotazione di 100 milioni di euro annui per ciascuno degli anni dal 2025 al 2027.

760. Le risorse del fondo di cui al comma 759 sono destinate ai comuni che hanno un rapporto tra le spese di carattere sociale sostenute per provvedere all'attuazione dei provvedimenti del giudice minorile e il fabbisogno standard monetario per la funzione sociale superiore al 3 per cento.

761. I fabbisogni standard monetari dei comuni delle regioni a statuto ordinario nonché dei comuni della Regione Siciliana e della regione Sardegna sono contenuti, rispettivamente, nel decreto del Presidente del Consiglio dei ministri 22 febbraio 2024, pubblicato nel supplemento ordinario alla Gazzetta Ufficiale n. 85 dell'11 aprile 2024, e nel documento recante « Determinazione dei fabbisogni standard dei comuni della Regione Siciliana e della regione Sardegna per il settore sociale al netto del servizio di asili nido » approvato dalla Commissione tecnica per i fabbisogni standard nella seduta del 16 maggio 2023.

762. Il fondo di cui al comma 759 è ripartito annualmente con decreto del Ministro dell'interno, di concerto con il Ministro dell'economia e delle finanze, da adottare entro il 31 marzo di ciascun anno, previa intesa in sede di Conferenza Stato-città ed autonomie locali.

763. Ai fini del riparto di cui al comma 762, si tiene conto delle particolari esigenze dei comuni di piccola dimensione, delle spese sostenute dai comuni per provvedere all'attuazione dei provvedimenti del giudice minorile nonché dell'incidenza di tali spese sul fabbisogno standard monetario per la funzione sociale di cui al comma 761.

764. La spesa sostenuta per far fronte alle spese derivanti dall'attuazione dei provvedimenti del giudice minorile è comunicata dai comuni con una dichiarazione, da effettuare esclusivamente per via telematica, con modalità e nei termini stabiliti con decreto del Ministro dell'interno, sentita la Conferenza Stato-città e autonomie locali, da emanare entro il 15 febbraio 2025. Sulla base delle dichiarazioni degli enti, il Ministero dell'interno può applicare criteri di normalizzazione dei costi unitari per ciascuna persona presa in carico, rettificando d'ufficio le dichiarazioni da considerare anomale.

765. In caso di insufficienza dei fondi disponibili per soddisfare il fabbisogno risultante dalle dichiarazioni presentate, il riparto è calcolato in base al rapporto tra la spesa finanziabile dell'ente e il totale delle richieste di tutti i comuni aventi diritto ai sensi del comma 760.

766. Al fine di potenziare le attività in favore dei minori ammessi ai percorsi di reinserimento e rieducazione previsti dall'articolo 27-bis del decreto del Presidente della Repubblica 22 settembre 1988, n. 448, nello stato di previsione del Ministero dell'interno è istituito un apposito fondo, con una dotazione pari a 0,5 milioni di euro per l'anno 2025, a 1 milione di euro per l'anno 2026 e a 2 milioni di euro per l'anno 2027, che costituisce limite di spesa.

767. Con decreto del Ministro dell'interno, da adottare di concerto con il Ministro dell'economia e delle finanze, sentita la Conferenza Stato-città ed autonomie locali, sono stabilite le modalità di attuazione del comma 766 anche al fine di garantire il rispetto del limite di spesa autorizzato ai sensi del medesimo comma 766.

768. Agli oneri derivanti dal comma 766, pari a 0,5 milioni di euro per l'anno 2025, a 1 milione di euro per l'anno 2026 e a 2 milioni di euro per l'anno 2027, si provvede mediante corrispondente riduzione del Fondo di cui all'articolo 1, comma 200, della legge 23 dicembre 2014, n. 190, come rifinanziato ai sensi del comma 884 della presente legge.

769. Al fine di rafforzare, in via straordinaria e temporanea, l'offerta di servizi sociali da parte dei piccoli comuni in difficoltà finanziaria, è istituito, nello stato di previsione del Ministero dell'interno, un fondo con la dotazione di 5 milioni di euro per ciascuno degli anni 2025 e 2026.

770. I contributi erogati a valere sul fondo di cui al comma 769 sono destinati ai comuni che soddisfano cumulativamente i seguenti requisiti:

a) hanno una popolazione residente, come risultante dai dati dell'Istituto nazionale di statistica relativi al penultimo anno precedente, non superiore a 3.000 abitanti;

b) hanno subìto una variazione percentuale negativa della popolazione residente nell'anno 2023 in misura superiore al 5 per cento del dato relativo alla popolazione residente risultante nell'anno 2011;

c) sono classificati come comuni totalmente montani;

d) sono in stato di dissesto o in procedura di riequilibrio finanziario pluriennale, ai sensi degli articoli 244 e 243-bis del testo unico delle leggi sull'ordinamento degli enti locali, di cui al decreto legislativo 18 agosto 2000, n. 267.

771. Il fondo di cui al comma 769 è ripartito, in proporzione alle spese risultanti per la Missione 12 nell'ultimo rendiconto approvato dall'ente, con decreto del Ministro dell'interno, di concerto con il Ministro dell'economia e delle finanze, sentita la Conferenza Stato-città ed autonomie locali, da adottare entro sessanta giorni dalla data di entrata in vigore della presente legge.

772. Al fine di consentire agli enti locali di incrementare l'adozione di iniziative per la promozione della legalità nei propri territori, nonché di rinforzare le misure di ristoro del patrimonio dell'ente o in favore degli amministratori locali che hanno subìto episodi di intimidazione connessi all'esercizio delle funzioni istituzionali esercitate, il fondo di cui all'articolo 1, comma 589, della legge 30 dicembre 2021, n. 234, è incrementato di 5 milioni di euro per ciascuno degli anni 2025 e 2026.

773. Le risorse di cui all'articolo 1, comma 784, della legge 30 dicembre 2020, n. 178, iscritte nello stato di previsione del Ministero dell'interno sui fondi di cui all'articolo 1, comma 783, della medesima legge, sono incrementate di 50 milioni di euro annui dal 2025 al 2030.

774. Le risorse aggiuntive di cui al comma 773 relative alle annualità dal 2025 al 2027 sono ripartite tra le province e le città metropolitane sulla base dei fabbisogni standard e delle capacità fiscali approvati dalla Commissione tecnica per i fabbisogni standard di cui all'articolo 1, comma 29, della legge 28 dicembre 2015, n. 208. Il riparto è operato con decreto del Ministro dell'interno, di concerto con il Ministro dell'economia e delle finanze, previa intesa in sede di Conferenza Stato-città ed autonomie locali, su proposta della medesima Commissione tecnica per i fabbisogni standard, da adottare entro il 31 marzo 2025.

775. Ai comuni con popolazione inferiore a 1.000 abitanti, calcolata alla fine del penultimo anno precedente alla dichiarazione di dissesto, che hanno deliberato il dissesto finanziario a decorrere dal 1° gennaio 2017 e aderito alla procedura semplificata prevista dall'articolo 258 del testo unico delle leggi sull'ordinamento degli enti locali, di cui al decreto legislativo 18 agosto 2000, n. 267, per i quali l'organo straordinario di liquidazione, alla data di entrata in vigore della presente legge, non ha ancora approvato il rendiconto della gestione di cui all'articolo 256, comma 11, del predetto testo unico, è attribuita, previa apposita istanza dell'ente interessato, fino a concorrenza della massa passiva censita, un'anticipazione, fino all'importo massimo di 25 milioni di euro per ciascuno degli anni 2025 e 2026, da destinare all'incremento della massa attiva della gestione liquidatoria per il pagamento dei debiti ammessi, con le modalità di cui al predetto articolo 258 e nei limiti dell'anticipazione erogata. L'anticipazione di cui al primo periodo è assegnata a seguito della ricognizione del fabbisogno effettivo e attuale di liquidità degli enti interessati, tenuto conto di altri eventuali anticipi o contributi già percepiti, ivi compresi quelli relativi alle risorse di cui all'articolo 21 del decreto-legge 10 agosto 2023, n. 104, convertito, con modificazioni, dalla legge 9 ottobre 2023, n. 136.

776. L'anticipazione di cui al comma 775 è ripartita, nei limiti della massa passiva censita, in base a una quota pro capite determinata tenendo conto della popolazione residente, calcolata alla fine del penultimo anno precedente alla dichiarazione di dissesto, secondo i dati forniti dall'Istituto nazionale di statistica, ed è concessa annualmente con decreto del Ministero dell'interno, nel limite di 25 milioni di euro per ciascuno degli anni 2025 e 2026, a valere sul Fondo di rotazione di cui all'articolo 243-ter del testo unico di cui al decreto legislativo 18 agosto 2000, n. 267. L'importo attribuito è erogato all'ente locale, che è tenuto a metterlo a disposizione dell'organo straordinario di liquidazione entro trenta giorni. L'organo straordinario di liquidazione provvede al pagamento dei debiti ammessi, nei limiti dell'anticipazione erogata, entro novanta giorni dalla data in cui le risorse sono disponibili.

777. La restituzione dell'anticipazione di cui al comma 775 è effettuata, con piano di ammortamento a rate costanti, comprensive degli interessi, in un periodo massimo di dieci anni a decorrere dall'anno successivo a quello in cui è erogata la medesima anticipazione, mediante operazione di giro fondi sull'apposita contabilità speciale intestata al Ministero dell'interno. Il tasso di interesse da applicare alle suddette anticipazioni è determinato, sulla base del rendimento di mercato dei buoni poliennali del tesoro a cinque anni in corso di emissione, con comunicato del Direttore generale del tesoro, da pubblicare nel sito internet istituzionale del Ministero dell'economia e delle finanze.

778. In caso di mancata restituzione delle rate entro i termini previsti, le somme sono recuperate a valere sulle risorse a qualunque titolo dovute dal Ministero dell'interno, con relativo versamento sulla contabilità speciale di cui al comma 777. Per quanto non previsto dal presente comma si applica il decreto del Ministro dell'interno 11 gennaio 2013, pubblicato nella Gazzetta Ufficiale n. 33 dell'8 febbraio 2013, adottato in attuazione dell'articolo 243-ter, comma 2, del testo unico di cui al decreto legislativo 18 agosto 2000, n. 267.

779. All'articolo 1 della legge 30 dicembre 2018, n. 145, dopo il comma 1091 è aggiunto il seguente:

« 1091-bis. Per maggiore gettito accertato e riscosso, ai fini di cui al comma 1091, si intende l'ammontare complessivamente incassato a seguito dell'attività di recupero tributario posta in essere dal comune, nelle varie modalità in cui tale attività può realizzarsi, che genera un aumento di risorse disponibili nel bilancio comunale rispetto all'adempimento spontaneo del contribuente. Per adempimento spontaneo si intende il versamento dell'imposta municipale propria e della TARI effettuato dal contribuente alle scadenze di legge e regolamentari, non indotto da azioni dell'amministrazione comunale. Devono pertanto essere computate tutte le entrate effettivamente incassate nell'anno di riferimento, in conto competenza e in conto residui, risultanti dal conto consuntivo approvato ».

780. Al fine di favorire il rispetto delle nuove regole della governance economica europea, l'articolo 7 del decreto legislativo 7 agosto 1997, n. 279, e l'articolo 35, comma 8, del decreto-legge 24 gennaio 2012, n. 1, convertito, con modificazioni, dalla legge 24 marzo 2012, n. 27, sono abrogati.

781. Per le esigenze di potenziamento degli interventi infrastrutturali in favore dei comuni costieri capoluogo di provincia della Regione siciliana e della regione Calabria con popolazione inferiore a 50.000 abitanti, con particolare riferimento alla messa in sicurezza di ponti e viadotti, ai lavori su opere infrastrutturali relativi a edifici pubblici, con particolare riguardo a scuole e asili nido, nonché al potenziamento delle infrastrutture idriche, è autorizzata la spesa di 0,5 milioni di euro per l'anno 2025 e di 1 milione di euro per ciascuno degli anni 2026 e 2027.

782. Le risorse di cui al comma 781 sono ripartite con decreto del Ministro delle infrastrutture e dei trasporti, di concerto con i Ministri dell'economia e delle finanze e dell'interno, da adottare entro sessanta giorni dalla data di entrata in vigore della presente legge, che stabilisce altresì i criteri e le modalità per l'utilizzo delle risorse medesime nonché i termini e le modalità per il monitoraggio e la rendicontazione.

783. Agli oneri derivanti dal comma 781, pari a 0,5 milioni di euro per l'anno 2025 e a 1 milione di euro per ciascuno degli anni 2026 e 2027, si provvede mediante corrispondente riduzione del Fondo di cui all'articolo 1, comma 200, della legge 23 dicembre 2014, n. 190, come rifinanziato ai sensi del comma 884 del presente articolo.

784. Ai fini della tutela dell'unità economica della Repubblica, le regioni, le province autonome di Trento e di Bolzano, le città metropolitane, le province e i comuni partecipano al raggiungimento degli obiettivi di finanza pubblica e all'osservanza dei vincoli economici e finanziari derivanti dalle nuove regole della governance economica europea secondo le modalità previste dai commi da 785 a 794, che costituiscono princìpi fondamentali di coordinamento della finanza pubblica, ai sensi degli articoli 117, terzo comma, e 119, secondo comma, della Costituzione. Sono esclusi dal versamento del contributo di cui al comma 788 gli enti in dissesto finanziario, ai sensi dell'articolo 244 del testo unico delle leggi sull'ordinamento degli enti locali, di cui al decreto legislativo 18 agosto 2000, n. 267, o sottoposti a procedura di riequilibrio finanziario, ai sensi dell'articolo 243-bis del medesimo testo unico di cui al decreto legislativo 18 agosto 2000, n. 267, alla data del 1° gennaio 2025 o che abbiano sottoscritto gli accordi di cui all'articolo 1, comma 572, della legge 30 dicembre 2021, n. 234, e di cui all'articolo 43, comma 2, del decreto-legge 17 maggio 2022, n. 50, convertito, con modificazioni, dalla legge 15 luglio 2022, n. 91. Le regioni a statuto speciale e le province autonome di Trento e di Bolzano partecipano al raggiungimento degli obiettivi di finanza pubblica e all'osservanza dei vincoli economici e finanziari derivanti dalle nuove regole della governance economica europea secondo quanto previsto dai commi da 710 a 724.

785. A decorrere dall'anno 2025, per gli enti di cui al primo periodo del comma 784, l'equilibrio di cui all'articolo 1, comma 821, della legge 30 dicembre 2018, n. 145, è rispettato in presenza di un saldo non negativo tra le entrate e le spese di competenza finanziaria del bilancio, comprensivo dell'utilizzo dell'avanzo di amministrazione e del recupero del disavanzo di amministrazione e degli utilizzi del fondo pluriennale vincolato, al netto delle entrate vincolate e accantonate non utilizzate nel corso dell'esercizio.

786. Le regioni a statuto ordinario assicurano un contributo alla finanza pubblica, aggiuntivo rispetto a quello previsto a legislazione vigente, pari a 280 milioni di euro per l'anno 2025, a 840 milioni di euro per ciascuno degli anni dal 2026 al 2028 e a 1.310 milioni di euro per l'anno 2029. Il riparto del concorso alla finanza pubblica di cui al primo periodo è effettuato, entro il 28 febbraio 2025, in sede di autocoordinamento tra le regioni, formalizzato con decreto del Ministro dell'economia e delle finanze, di concerto con il Ministro per gli affari regionali e le autonomie, sentita la Conferenza permanente per i rapporti tra lo Stato, le regioni e le province autonome di Trento e di Bolzano. In assenza di accordo in sede di autocoordinamento, il riparto è effettuato, entro il 20 marzo 2025, con decreto del Ministro dell'economia e delle finanze, di concerto con il Ministro per gli affari regionali e le autonomie, sentita la Conferenza permanente per i rapporti tra lo Stato, le regioni e le province autonome di Trento e di Bolzano, in proporzione, con riferimento al perimetro non sanitario, agli impegni di spesa corrente al netto degli impegni per gli interessi, per i trasferimenti al bilancio dello Stato per concorso alla finanza pubblica e per le spese della missione 12, Diritti sociali, politiche sociali e famiglia, come risultanti dall'ultimo rendiconto approvato, anche soltanto da parte della Giunta di ciascuna regione.

787. Le regioni a statuto speciale e le province autonome di Trento e di Bolzano assicurano un contributo alla finanza pubblica, aggiuntivo rispetto a quello previsto a legislazione vigente, pari a 150 milioni di euro per l'anno 2025, a 440 milioni di euro per ciascuno degli anni dal 2026 al 2028 e a 700 milioni di euro per l'anno 2029, nel rispetto delle norme dei rispettivi statuti e delle relative norme di attuazione, secondo le modalità previste dagli accordi di cui ai commi da 710 a 724. Il contributo alla finanza pubblica delle regioni Friuli-Venezia Giulia e Valle d'Aosta e delle province autonome di Trento e di Bolzano è determinato considerando anche gli enti locali dei rispettivi territori. Agli enti locali di cui al secondo periodo non si applicano le disposizioni di cui ai commi da 789 a 793 del presente articolo.

788. I comuni, le province e le città metropolitane delle regioni a statuto ordinario, della Regione Siciliana e della regione Sardegna assicurano un contributo alla finanza pubblica, aggiuntivo rispetto a quello previsto a legislazione vigente, pari a 140 milioni di euro per l'anno 2025, a 290 milioni di euro per ciascuno degli anni dal 2026 al 2028 e a 490 milioni di euro per l'anno 2029, di cui 130 milioni di euro per l'anno 2025, 260 milioni di euro per ciascuno degli anni dal 2026 al 2028 e 440 milioni di euro per l'anno 2029 a carico dei comuni e 10 milioni di euro per l'anno 2025, 30 milioni di euro per ciascuno degli anni dal 2026 al 2028 e 50 milioni di euro per l'anno 2029 a carico delle province e città metropolitane. Gli importi del contributo a carico di ciascun ente sono determinati sulla base di criteri e modalità definiti con decreto del Ministro dell'economia e delle finanze, di concerto con il Ministro dell'interno, da emanare entro il 31 gennaio 2025, previa intesa in sede di Conferenza Stato-città ed autonomie locali, anche in proporzione agli impegni di spesa corrente al netto degli impegni per gli interessi, per la gestione ordinaria del servizio pubblico di raccolta, smaltimento, trattamento e conferimento in discarica dei rifiuti, per i trasferimenti al bilancio dello Stato per concorso alla finanza pubblica e per le spese della missione 12, Diritti sociali, politiche sociali e famiglia, come risultanti dal rendiconto 2023 o, in caso di mancanza, dall'ultimo rendiconto approvato. In caso di mancata intesa entro venti giorni dalla data di prima iscrizione all'ordine del giorno della Conferenza Stato-città ed autonomie locali della proposta di riparto delle riduzioni di cui al secondo periodo, il decreto è comunque adottato.

789. Per ciascuno degli anni dal 2025 al 2029 le regioni e le province autonome di Trento e di Bolzano, le città metropolitane, le province e i comuni iscrivono nella missione 20, Fondi e accantonamenti, della parte corrente di ciascuno degli esercizi del bilancio di previsione un fondo, con una dotazione pari al contributo annuale alla finanza pubblica di cui ai commi da 786 a 788, fermo restando il rispetto dell'equilibrio di bilancio di parte corrente di cui all'articolo 40 del decreto legislativo 23 giugno 2011, n. 118, e di cui all'articolo 162, comma 6, del testo unico delle leggi sull'ordinamento degli enti locali, di cui al decreto legislativo 18 agosto 2000, n. 267. Con riferimento al bilancio di previsione 2025-2027, il fondo di cui al primo periodo del presente comma è iscritto entro trenta giorni dal riparto dei contributi alla finanza pubblica con variazione di bilancio approvata con atto del consiglio, per gli enti locali, e con legge regionale, per le regioni a statuto ordinario. Le autonomie speciali iscrivono il fondo nel bilancio di previsione 2025-2027, entro il 31 gennaio 2025, con legge regionale o provinciale. La costituzione del fondo, su cui non è possibile disporre impegni, è finanziata attraverso le risorse di parte corrente.

790. Alla fine di ciascun esercizio, il fondo di cui al comma 789, per gli enti in situazione di disavanzo di amministrazione alla fine dell'esercizio precedente, costituisce un'economia che concorre al ripiano anticipato del disavanzo di amministrazione, in misura aggiuntiva rispetto a quanto previsto nel bilancio di previsione. Per gli enti con un risultato di amministrazione pari a zero o positivo alla fine dell'esercizio precedente, il fondo confluisce nella parte accantonata del risultato di amministrazione destinata al finanziamento di investimenti, anche indiretti, nell'esercizio successivo, prioritariamente rispetto alla formazione di nuovo debito. Ai fini del presente comma, le regioni e le province autonome considerano il disavanzo di amministrazione al netto della quota derivante da debito autorizzato e non contratto.

791. Qualora, nel corso di ciascuno degli anni dal 2025 al 2029, risultino andamenti di spesa corrente degli enti territoriali non coerenti con gli obiettivi di finanza pubblica, possono essere previsti ulteriori obblighi di concorso alla finanza pubblica a carico dei medesimi enti di cui al comma 784. Per le regioni a statuto speciale e le province autonome di Trento e di Bolzano eventuali ulteriori obblighi possono essere previsti nel rispetto del principio dell'accordo, degli statuti e delle relative norme di attuazione.

792. Entro il 30 giugno di ciascuno degli esercizi dal 2026 al 2030, con decreto del Ministro dell'economia e delle finanze, sulla base dei rendiconti trasmessi alla banca dati delle amministrazioni pubbliche, ai sensi dell'articolo 18, comma 2, del decreto legislativo 23 giugno 2011, n. 118, è verificato il rispetto a livello di comparto degli enti territoriali dell'equilibrio di cui al comma 785 del presente articolo e dell'accantonamento di cui al comma 789 del presente articolo. Nel caso di mancato rispetto degli obiettivi di cui al primo periodo, determinato come somma algebrica del saldo di cui al comma 785 e dei mancati accantonamenti di cui al comma 789, sono individuati gli enti che nell'esercizio precedente non hanno rispettato l'equilibrio di bilancio di cui al comma 785 o non hanno accantonato il fondo di cui al comma 789. Per gli enti di cui al secondo periodo è determinato l'incremento del fondo di cui al comma 789, che, entro i successivi trenta giorni, tali enti sono tenuti a iscrivere nel bilancio di previsione con riferimento all'esercizio in corso di gestione, pari alla sommatoria in valore assoluto:

a) del saldo di cui al comma 785 registrato nell'esercizio precedente se negativo;

b) del minore accantonamento del fondo di cui al comma 789 rispetto al contributo annuale alla finanza pubblica di cui ai commi da 785 a 788.

793. Per gli enti che non trasmettono entro il 31 maggio alla banca dati delle amministrazioni pubbliche i dati di consuntivo o preconsuntivo relativi all'esercizio precedente il contributo alla finanza pubblica è incrementato del 10 per cento con le modalità previste dal comma 792. Nel caso di enti per i quali sono sospesi per legge i termini di approvazione del rendiconto di gestione a decorrere dal 2 gennaio 2025, le sanzioni di cui al primo periodo non sono applicate.

794. Entro sessanta giorni dalla data di entrata in vigore della presente legge, con decreto del Ragioniere generale dello Stato, di concerto con il capo del Dipartimento per gli affari interni e territoriali del Ministero dell'interno e con il capo del Dipartimento per gli affari regionali e le autonomie della Presidenza del Consiglio dei ministri, gli schemi del rendiconto generale della gestione e del bilancio di previsione degli enti territoriali sono adeguati al fine di consentire le verifiche di cui al comma 792, a decorrere dal rendiconto della gestione 2025 e dal bilancio di previsione 2026-2028.

795. Con decreto del Ministro dell'economia e delle finanze, entro sessanta giorni dalla data di entrata in vigore della presente legge, è istituito, senza nuovi o maggiori oneri a carico della finanza pubblica, un tavolo tecnico presso il Ministero dell'economia e delle finanze composto da due rappresentanti del medesimo Ministero, da un rappresentante del Ministero dell'interno, da due rappresentanti dell'Associazione nazionale dei comuni italiani (ANCI), di cui uno in rappresentanza delle città metropolitane, e da un rappresentante dell'Unione delle province d'Italia (UPI). Il tavolo ha il compito di osservare le grandezze finanziarie dei comuni, delle città metropolitane e delle province interessate dalle nuove regole della governance economica europea, nonché di definire percorsi di miglioramento dei processi rilevanti per la gestione finanziaria e contabile, riguardanti la riscossione delle entrate, la valorizzazione del patrimonio, la gestione del fondo anticipazione di liquidità, il limite all'utilizzo dei risultati di amministrazione degli enti in disavanzo e la più efficiente allocazione delle risorse disponibili. Ai componenti del tavolo non sono corrisposti compensi, gettoni di presenza, rimborsi di spese o altri emolumenti comunque denominati.

796. L'autorizzazione di spesa di cui all'articolo 1, comma 139, della legge 30 dicembre 2018, n. 145, è ridotta di 200 milioni di euro per ciascuno degli anni dal 2028 al 2030.

797. All'articolo 1 della legge 30 dicembre 2018, n. 145, sono apportate le seguenti modificazioni:

a) al comma 134, le parole: « per il periodo 2021-2034 » sono sostituite dalle seguenti: « per il periodo 2021-2026 » e le parole: « di 304,5 milioni di euro per ciascuno degli anni dal 2027 al 2032, di 349,5 milioni di euro per l'anno 2033 e di 200 milioni di euro per l'anno 2034 » sono soppresse;

b) il comma 136-bis è sostituito dal seguente:

« 136-bis. Nel caso di mancato rispetto del termine di affidamento dei lavori o delle forniture di cui al comma 136 o di parziale utilizzo del contributo, verificato attraverso il sistema di cui al comma 138, il medesimo contributo è revocato, in tutto o in parte, entro il 31 gennaio dell'anno successivo a quello di riferimento del contributo stesso. Le somme revocate sono riassegnate, per le stesse finalità previste dal comma 135, con il medesimo provvedimento di revoca ovvero con autonomo provvedimento da adottare entro il termine di cui al primo periodo, ai comuni ovvero, anche in deroga al vincolo del 70 per cento di cui al citato comma 135, alla regione per investimenti diretti. Gli enti beneficiari del contributo di cui al secondo periodo sono tenuti ad affidare i lavori o le forniture entro il 31 maggio del medesimo anno e sono tenuti agli obblighi di monitoraggio di cui al comma 138. Nel caso di mancato rispetto del termine di cui al terzo periodo, verificato attraverso il sistema di cui al comma 138, le somme sono revocate e versate dalle regioni ad apposito capitolo del bilancio dello Stato »;

c) dopo il comma 136-ter è inserito il seguente:

« 136-quater. Nel caso in cui il comune beneficiario del contributo di cui al comma 135 comunichi la rinuncia al contributo medesimo entro il termine per l'affidamento dei lavori o delle forniture previsto dal comma 136 ovvero, decorso tale termine e avvenuto l'affidamento dei lavori o delle forniture, entro il 30 novembre di ciascun anno di riferimento del contributo, si applicano le disposizioni di cui al comma 136-bis »;

d) la tabella 1 è sostituita dalla tabella 1 di cui all'allegato II annesso alla presente legge.

798. L'autorizzazione di spesa di cui all'articolo 30, comma 14-bis del decreto- legge 30 aprile 2019, n. 34, convertito, con modificazioni, dalla legge 28 giugno 2019, n. 58, è ridotta di 115,5 milioni di euro per l'anno 2025, di 139,5 milioni di euro per l'anno 2026, di 113,5 milioni di euro per l'anno 2027, di 139,5 milioni di euro per ciascuno degli anni dal 2028 al 2030, di 132 milioni di euro per ciascuno degli anni dal 2031 al 2033 e di 160 milioni di euro annui a decorrere dall'anno 2034.

799. L'autorizzazione di spesa di cui all'articolo 1 della legge 27 dicembre 2019, n. 160, è ridotta con riferimento:

a) al comma 42, di 200 milioni di euro per ciascuno degli anni dal 2027 al 2030;

b) al comma 51, di 200 milioni di euro per l'anno 2025 e di 100 milioni di euro per ciascuno degli anni dal 2026 al 2031.

800. Il Fondo denominato « Programma innovativo nazionale per la qualità dell'abitare » di cui al comma 443 dell'articolo 1 della legge 27 dicembre 2019, n. 160, è ridotto di 53.036.470 euro per l'anno 2029, di 54.596.367 euro per l'anno 2030, di 54.635.365 euro per ciascuno degli anni 2031 e 2032 e di 51.281.588 euro per l'anno 2033.

801. All'articolo 1 della legge 27 dicembre 2019, n. 160, i commi da 44 a 46 sono abrogati.

802. L'autorizzazione di spesa di cui all'articolo 1 della legge 27 dicembre 2017, n. 205, è ridotta con riferimento:

a) al comma 277, di 5 milioni di euro annui a decorrere dall'anno 2025;

b) al comma 1079, primo periodo, di 29.927.137 euro per l'anno 2025, di 29.966.074 euro per l'anno 2026 e di 30 milioni di euro per l'anno 2027.

803. L'autorizzazione di spesa di cui all'articolo 1, comma 640, della legge 28 dicembre 2015, n. 208, è ridotta di 6.318.377 euro per l'anno 2029, di 6.504.212 euro per l'anno 2030, di 6.508.858 euro per ciascuno degli anni 2031 e 2032 e di 6.109.313 euro per l'anno 2033.

804. L'autorizzazione di spesa di cui all'articolo 1, comma 140, della legge 11 dicembre 2016, n. 232, relativamente alla quota affluita, con il decreto del Presidente del Consiglio dei ministri 21 luglio 2017, pubblicato nella Gazzetta Ufficiale n. 226 del 27 settembre 2017, allo stato di previsione del Ministero delle infrastrutture e dei trasporti destinato agli interventi finanziati con il Fondo per la progettazione di fattibilità delle infrastrutture e degli insediamenti prioritari per lo sviluppo del Paese, è ridotta di 20 milioni di euro per l'anno 2025, di 30 milioni di euro per l'anno 2026, di 23 milioni di euro per l'anno 2027, di 49,2 milioni di euro per l'anno 2028, di 45 milioni di euro per l'anno 2029, di 60 milioni di euro per l'anno 2030, di 65 milioni di euro per l'anno 2031 e di 80 milioni di euro per l'anno 2032.

805. All'articolo 1, comma 148-ter, terzo periodo, della legge 30 dicembre 2018, n. 145, le parole: « risulta stipulato il contratto di affidamento dei lavori » sono sostituite dalle seguenti: « abbia avuto luogo l'affidamento dei lavori che si considera coincidente con la data di pubblicazione del bando, ovvero con la data di invio della lettera di invito, in caso di procedura negoziata, ovvero con l'affidamento diretto ».

806. L'articolo 1, comma 539, della legge 30 dicembre 2021, n. 234, è sostituito dal seguente:

« 539. Nel caso di mancato rispetto dei termini di cui al comma 538, il contributo è revocato con decreto del Ministero dell'interno, di concerto con il Ministero dell'economia e delle finanze, da adottare entro il 15 maggio 2025. Non sono soggetti a revoca i contributi relativi a interventi per i quali alla data del 31 marzo 2025 risulta stipulato il contratto di affidamento dei lavori ».

807. All'articolo 1, comma 42-quater, della legge 27 dicembre 2019, n. 160, il terzo e il quarto periodo sono sostituiti dai seguenti: « I comuni, soggetti attuatori degli interventi individuati con il decreto di cui al secondo periodo stipulano il contratto di affidamento dei lavori entro il 31 marzo 2025 e concludono i lavori medesimi entro il 31 dicembre 2027. Con decreto del Ministero dell'interno, di concerto con il Ministero dell'economia e delle finanze, da adottare entro il 30 aprile 2025, si provvede alla revoca delle risorse assegnate ai comuni relative a interventi per i quali, alla data del 31 marzo 2025, non risulta stipulato il contratto di affidamento dei lavori ».

808. Agli oneri derivanti dal comma 806, pari a 2 milioni di euro per l'anno 2026, a 15 milioni di euro per l'anno 2027, a 9 milioni di euro per l'anno 2028 e a 2 milioni di euro per l'anno 2029, si provvede mediante corrispondente riduzione del Fondo per interventi strutturali di politica economica, di cui all'articolo 10, comma 5, del decreto-legge 29 novembre 2004, n. 282, convertito, con modificazioni, dalla legge 27 dicembre 2004, n. 307.

809. Al fine di promuovere il recupero di beni immobili confiscati alla criminalità e acquisiti al patrimonio indisponibile degli enti locali, ai comuni capoluogo di città metropolitana della Regione siciliana che, al 31 dicembre 2025, risultano in procedura di riequilibrio finanziario pluriennale ai sensi dell'articolo 243-bis del testo unico delle leggi sull'ordinamento degli enti locali, di cui al decreto legislativo 18 agosto 2000, n. 267, e hanno sottoscritto l'accordo di cui all'articolo 1, comma 572, della legge 30 dicembre 2021, n. 234, per il ripiano del disavanzo e per il rilancio degli investimenti, sono assegnati contributi per investimenti nel limite complessivo di 1 milione di euro per ciascuno degli anni 2026 e 2027.

810. L'ammontare del contributo attribuito a ciascun comune, nonché le modalità di attuazione delle disposizioni di cui al comma 809, sono determinati con decreto del Ministero dell'interno, di concerto con il Ministero dell'economia e delle finanze, da adottare entro il 31 gennaio 2026.

811. Agli oneri derivanti dal comma 809, pari a 1 milione di euro per ciascuno degli anni 2026 e 2027, si provvede mediante corrispondente riduzione del Fondo di cui all'articolo 1, comma 200, della legge 23 dicembre 2014, n. 190, come rifinanziato dal comma 884, della presente legge.

812. Al testo unico delle disposizioni legislative e regolamentari in materia di spese di giustizia, di cui al decreto del Presidente della Repubblica 30 maggio 2002, n. 115, sono apportate le seguenti modificazioni:

a) all'articolo 14:

1) al comma 1-bis, le parole: « primo comma » sono sostituite dalle seguenti: « secondo comma »;

2) dopo il comma 3 è inserito il seguente:

« 3.1. Fermi i casi di esenzione previsti dalla legge, nei procedimenti civili la causa non può essere iscritta a ruolo se non è versato l'importo determinato ai sensi dell'articolo 13, comma 1, lettera a), o il minor contributo dovuto per legge »;

b) all'articolo 248 è aggiunto, in fine, il seguente comma:

« 3-bis. Nei procedimenti civili, in deroga a quanto previsto dai commi 1, 2 e 3 del presente articolo, nei casi di cui all'articolo 16, in ipotesi di mancato pagamento entro trenta giorni dall'iscrizione a ruolo o dal diverso momento in cui sorge l'obbligo di pagamento, l'ufficio ovvero la società Equitalia Giustizia Spa, nel caso di stipulazione della convenzione prevista dall'articolo 1, comma 367, della legge 24 dicembre 2007, n. 244, procede all'iscrizione a ruolo dell'importo dovuto, con addebito degli interessi al saggio legale, e all'irrogazione della sanzione di cui all'articolo 16, comma 1-bis. L'ufficio ovvero la società Equitalia Giustizia Spa, nel caso di stipulazione della convenzione di cui al primo periodo del presente comma, procede alla riscossione spontanea a mezzo ruolo ai sensi dell'articolo 32 del decreto legislativo 26 febbraio 1999, n. 46. Si applica l'articolo 25, comma 2, del decreto del Presidente della Repubblica 29 settembre 1973, n. 602 »;

c) l'articolo 289 è abrogato.

813. Al fine di consentire lo spedito svolgimento del giudizio, il comma 5 dell'articolo 13-ter delle norme di attuazione del codice del processo amministrativo, di cui all'allegato 2 annesso al decreto legislativo 2 luglio 2010, n. 104, è sostituito dai seguenti:

« 5. Indipendentemente dall'esito del giudizio, la parte che in qualsiasi atto del processo superi, senza avere ottenuto una preventiva autorizzazione, i limiti dimensionali stabiliti ai sensi del presente articolo può essere tenuta al pagamento di una somma complessiva per l'intero grado del giudizio fino al doppio del contributo unificato previsto in relazione all'oggetto del giudizio medesimo e, ove occorra, in aggiunta al contributo già versato.

5-bis. Il giudice, con la decisione che definisce il giudizio, determina l'importo di cui al comma 5 tenendo conto dell'entità del superamento dei limiti dimensionali stabiliti ai sensi del presente articolo nonché della complessità ovvero della dimensione degli atti impugnati o della sentenza impugnata.

5-ter. Si applica l'articolo 15 ».

814. All'articolo 13 del testo unico delle disposizioni legislative e regolamentari in materia di spese di giustizia, di cui al decreto del Presidente della Repubblica 31 maggio 2002, n. 115, dopo il comma 1-quinquies è inserito il seguente:

« 1-sexies. Per le controversie in materia di accertamento della cittadinanza italiana il contributo dovuto è pari a 600 euro. Il contributo è dovuto per ciascuna parte ricorrente, anche se la domanda è proposta congiuntamente nel medesimo giudizio ».

815. Al testo unico delle disposizioni legislative e regolamentari in materia di spese di giustizia, di cui al decreto del Presidente della Repubblica 30 maggio 2002, n. 115, sono apportate le seguenti modificazioni:

a) all'articolo 269:

1) al comma 1, dopo le parole: « copie di » sono inserite le seguenti: « atti e »;

2) al comma 1-bis, dopo le parole: « è estratta » è inserita la seguente parola: « direttamente »;

b) dopo l'articolo 269 è inserito in seguente:

« Art. 269-bis. – (Diritto di trasmissione con modalità telematica di duplicati e copie informatiche nel procedimento penale) – 1. Per la trasmissione da parte della segreteria o della cancelleria del duplicato o della copia informatica di atti e documenti del procedimento penale è dovuto il diritto forfetizzato nella misura stabilita dalla tabella contenuta nell'allegato n. 8 al presente testo unico »;

c) l'allegato n. 8 è sostituito dal seguente:

« Allegato 8 (Artt. 269 e 269-bis)

Diritto forfetizzato di copia su supporto diverso da quello cartaceo e diritto di trasmissione con modalità telematica.

Modalità di rilascio
e tipo di supporto

Diritto forfetizzato

Riversamento su strumenti
di memorizzazione di massa fisici
(chiavette USB, CD, DVD)

Euro 25 per ogni
supporto di dati

Trasmissione con modalità telematica
(tramite posta elettronica, posta elettronica certificata o portali)

Euro 8 per ogni
trasmissione di dati

 ».

816. All'articolo 1, comma 294-bis, della legge 23 dicembre 2005, n. 266, sono aggiunte, in fine, le seguenti parole: « , nonché al pagamento di tasse e tributi ».

817. Al fine di razionalizzare i costi conseguenti alla violazione del termine di ragionevole durata dei processi, all'articolo 5-sexies della legge 24 marzo 2001, n. 89, sono apportate le seguenti modificazioni:

a) al comma 1, le parole: « , la modalità di riscossione prescelta ai sensi del comma 9 del presente articolo, nonché a trasmettere la documentazione necessaria a norma dei decreti di cui al comma 3 » sono sostituite dalle seguenti: « e la modalità di riscossione prescelta ai sensi del comma 9 del presente articolo » e dopo il primo periodo è aggiunto, in fine, il seguente: « Con la dichiarazione di cui al primo periodo, il creditore si impegna altresì a trasmettere la documentazione necessaria a norma dei decreti di cui ai commi 3 e 3-bis e a comunicare ogni mutamento dei dati trasmessi o della documentazione presentata »;

b) dopo il comma 1 è inserito il seguente:

« 1-bis. Le dichiarazioni di cui al comma 1 sono presentate, secondo le modalità di cui ai decreti previsti dai commi 3 e 3-bis, all'amministrazione entro un anno dalla pubblicazione del decreto che accoglie la domanda di equa riparazione. Decorso il termine di cui al primo periodo, fino alla presentazione della dichiarazione e fatto salvo quanto previsto dal comma 4, non decorrono gli interessi »;

c) il comma 2 è sostituito dal seguente:

« 2. La dichiarazione di cui al comma 1 ha validità biennale e deve essere rinnovata a richiesta della pubblica amministrazione. In caso di richiesta di rinnovo il creditore presenta la dichiarazione o la documentazione allegata con le modalità previste dai decreti di cui ai commi 3 e 3-bis »;

d) il comma 4 è sostituito dal seguente:

« 4. Nel caso di mancata, incompleta o irregolare trasmissione della dichiarazione o della documentazione di cui ai commi precedenti, l'ordine di pagamento non può essere emesso e, per il periodo necessario per integrare la dichiarazione o la relativa documentazione, non decorrono gli interessi »;

e) al comma 5, le parole: « al periodo precedente » sono sostituite dalle seguenti: « al primo periodo »;

f) al comma 6, le parole: « , ove possibile, » sono soppresse;

g) il comma 8 è sostituito dal seguente:

« 8. Qualora i creditori di somme liquidate a norma della presente legge propongano l'azione di ottemperanza di cui al titolo I del libro quarto del codice del processo amministrativo, di cui all'allegato 1 annesso al decreto legislativo 2 luglio 2010, n. 104, il giudice amministrativo nomina, ove occorra, commissario ad acta un funzionario dell'amministrazione soccombente, a cui è riconosciuto come compenso per l'attività svolta un importo non superiore a 150 euro lordi per ciascun incarico definito, nei limiti dello stanziamento previsto »;

h) il comma 9 è sostituito dal seguente:

« 9. Le operazioni di pagamento delle somme dovute a norma della presente legge si effettuano mediante accreditamento sui conti correnti o di pagamento dei creditori. Il creditore può delegare alla ricezione del pagamento un legale rappresentante con il rilascio di procura speciale »;

i) il comma 10 è abrogato;

l) al comma 12, le parole: « dei commi 9 e 10 » sono sostituite dalle seguenti: « del comma 9 »;

m) dopo il comma 12 è aggiunto il seguente:

« 12-bis. Per ottenere più celermente il pagamento dei propri crediti, i creditori di somme liquidate a norma della presente legge, fino al 31 dicembre 2021, possono rinnovare la domanda di pagamento utilizzando le modalità disciplinate dai commi 3 e 3-bis. Il Ministero della giustizia dà notizia della facoltà di rinnovo della domanda mediante avviso pubblicato nel proprio sito internet istituzionale. Decorsi venti giorni dalla data di entrata in vigore della presente disposizione, per i successivi due anni i creditori di cui al comma 1 non possono iniziare azioni esecutive o giudizi di ottemperanza e le azioni esecutive e i giudizi di ottemperanza in corso sono sospesi ».

818. Per l'attuazione delle disposizioni di cui al comma 817, lettera g), è autorizzata la spesa di 300.000 euro annui a decorrere dall'anno 2025.

819. Al fine di accelerare lo smaltimento delle istanze arretrate relative ai ricorsi di cui alla legge 24 marzo 2001, n. 89, conformemente ai parametri dettati dalla Corte europea dei diritti dell'uomo, il Ministero della giustizia si avvale, per gli anni 2025 e 2026, dell'associazione Formez PA mediante la stipulazione di un'apposita convenzione.

820. Ai fini di cui al comma 819 è autorizzata la spesa di 2,5 milioni di euro per ciascuno degli anni 2025 e 2026.

821. Il Ministero della giustizia provvede, anche sulla base dei dati acquisiti in modalità telematica, al monitoraggio e alla valutazione dell'incremento di efficienza delle procedure di pagamento e dei conseguenti risparmi di spesa.

822. Al fine di completare l'attuazione della riforma della pubblica amministrazione prevista dal PNRR, le amministrazioni pubbliche di cui ai commi da 823 a 834 procedono ad una revisione dei propri fabbisogni di personale, realizzando recuperi di efficienza dai processi di digitalizzazione, semplificazione e riorganizzazione individuati dal PNRR e applicano conseguentemente quanto previsto dai commi da 823 a 834.

823. All'articolo 3, comma 1, della legge 19 giugno 2019, n. 56, sono aggiunti, in fine, i seguenti periodi: « Per le amministrazioni di cui al primo periodo con più di 20 dipendenti in servizio con rapporto di lavoro a tempo indeterminato, la percentuale ivi prevista è pari al 75 per cento per l'anno 2025 e al 100 per cento a decorrere dall'anno 2026. Le disposizioni del terzo periodo non si applicano al personale togato delle magistrature e agli avvocati e procuratori dello Stato per i quali, a decorrere dall'anno 2025, le assunzioni sono consentite sino al 100 per cento delle unità cessate nell'anno precedente ».

824. All'articolo 584, comma 3-bis, del codice dell'ordinamento militare, di cui al decreto legislativo 15 marzo 2010, n. 66, sono apportate le seguenti modificazioni:

a) al primo periodo, le parole: « e del 12 per cento a decorrere dall'anno 2016 » sono sostituite dalle seguenti: « , del 12 per cento dall'anno 2016 all'anno 2024 e del 15,58 per cento a decorrere dall'anno 2025 »;

b) al secondo periodo, le parole: « a decorrere dall'anno 2018 » sono sostituite dalle seguenti: « dall'anno 2018 all'anno 2025 e di euro 4.657.573 a decorrere dall'anno 2026 ».

825. All'articolo 66 del decreto-legge 25 giugno 2008, n. 112, convertito, con modificazioni, dalla legge 6 agosto 2008, n. 133, sono apportate le seguenti modificazioni:

a) al comma 9-bis, secondo periodo, le parole: « del cento per cento a decorrere dall'anno 2016 » sono sostituite dalle seguenti: « del 100 per cento per gli anni dal 2016 al 2025, del 75 per cento per l'anno 2026 e del 100 per cento a decorrere dall'anno 2027 »;

b) al comma 13-bis, secondo periodo, le parole: « del 100 per cento a decorrere dall'anno 2018 » sono sostituite dalle seguenti: « del 100 per cento per gli anni dal 2018 al 2024, del 75 per cento per l'anno 2025 e del 100 per cento a decorrere dall'anno 2026. Per i ricercatori universitari la predetta facoltà è fissata nella misura del 100 per cento per l'anno 2025 e nella misura del 75 per cento per l'anno 2026 ».

826. All'articolo 9 del decreto legislativo 25 novembre 2016, n. 218, il comma 2 è sostituito dal seguente:

« 2. L'indicatore del limite massimo alle spese di personale è calcolato annualmente rapportando le spese complessive per il personale di competenza dell'anno di riferimento alla media delle entrate individuate, per gli Enti che adottano la contabilità finanziaria, dalle entrate correnti come risultanti dagli ultimi tre bilanci consuntivi approvati. Per gli Enti che adottano la contabilità civilistica si fa riferimento alle voci dei ricavi del conto economico corrispondenti. Negli Enti tale rapporto non può superare l'80 per cento. Per l'anno 2026 gli enti e gli istituti di ricerca possono procedere ad assunzioni di personale con rapporto di lavoro a tempo indeterminato nei limiti della spesa determinata sulla base dell'ordinamento vigente ridotta di un importo pari al 25 per cento di quella relativa al personale di ruolo cessato nell'anno precedente ».

827. Al comma 654 dell'articolo 1 della legge 27 dicembre 2017, n. 205, sono apportate le seguenti modificazioni:

a) il primo periodo è sostituito dal seguente: « Per gli anni accademici dal 2018/2019 al 2024/2025 il turn over del personale delle istituzioni di cui al comma 653 è pari al 100 per cento dei risparmi derivanti dalle cessazioni dal servizio dell'anno accademico precedente, a cui si aggiunge, per il triennio accademico 2018/2019, 2019/2020 e 2020/2021, un importo non superiore al 10 per cento della spesa sostenuta nell'anno accademico 2016/2017 per la copertura dei posti vacanti della dotazione organica con contratti a tempo determinato »;

b) dopo il secondo periodo sono inseriti i seguenti: « Per l'anno accademico 2025/2026, il turn over del personale delle istituzioni di cui al comma 653 è pari al 75 per cento dei risparmi derivanti dalle cessazioni dal servizio dell'anno accademico precedente. A decorrere dall'anno accademico 2026/2027 il turn over del personale delle istituzioni di cui al comma 653 è pari al 100 per cento dei risparmi derivanti dalle cessazioni dal servizio dell'anno accademico precedente ».

828. A decorrere dall'anno scolastico 2025/2026 la dotazione organica complessiva di cui all'articolo 1, commi 64 e 65, della legge 13 luglio 2015, n. 107, è ridotta di 5.660 posti dell'organico dell'autonomia. Conseguentemente, le consistenze dell'organico dell'autonomia del personale docente di cui all'articolo 16-ter, comma 5, del decreto legislativo 13 aprile 2017, n. 59, sono corrispondentemente ridotte. Ai sensi dell'articolo 10, comma 3-quinquies, del decreto-legge 31 maggio 2024, n. 71, convertito, con modificazioni, dalla legge 29 luglio 2024, n. 106, con decreto del Ministro dell'istruzione e del merito, di concerto con il Ministro dell'economia e delle finanze, sentita la Conferenza unificata di cui all'articolo 8 del decreto legislativo 28 agosto 1997, n. 281, da adottare entro il 15 febbraio 2025, si procede alla revisione dei criteri e dei parametri previsti per la definizione delle dotazioni organiche del personale amministrativo, tecnico e ausiliario della scuola, in modo da conseguire, a decorrere dall'anno scolastico 2026/2027, una riduzione nel numero dei posti pari a 2.174 unità. Con decreto del Presidente del Consiglio dei ministri, su proposta del Ministro dell'istruzione e del merito, di concerto con il Ministro dell'economia e delle finanze, le riduzioni riferite al personale docente possono essere rimodulate nell'ambito dell'organico triennale dell'autonomia di cui all'articolo 1, commi 64 e 65, della legge 13 luglio 2015, n. 107, ad invarianza finanziaria. Con il decreto di cui al quarto periodo, in deroga a quanto disposto dal presente comma, è possibile rimodulare le riduzioni dei posti dell'organico dell'autonomia e del personale amministrativo, tecnico e ausiliario, garantendo l'invarianza finanziaria.

829. L'Autorità garante della concorrenza e del mercato, la Commissione nazionale per le società e la borsa, l'Autorità di regolazione dei trasporti, l'Autorità di regolazione per energia, reti e ambiente, l'Autorità per le garanzie nelle comunicazioni, il Garante per la protezione dei dati personali, l'Autorità nazionale anticorruzione, la Commissione di vigilanza sui fondi pensione, la Commissione di garanzia dell'attuazione della legge sullo sciopero nei servizi pubblici essenziali, l'Istituto per la vigilanza sulle assicurazioni e l'Agenzia per la cybersicurezza nazionale, per l'anno 2025, possono procedere ad assunzioni di personale con rapporto di lavoro a tempo indeterminato nei limiti della spesa determinata sulla base dei rispettivi ordinamenti ridotta di un importo pari al 25 per cento di quella relativa al personale di ruolo cessato nell'anno precedente.

830. Per l'anno 2025 le agenzie fiscali, gli enti di regolazione dell'attività economica, gli enti produttori di servizi tecnici e economici, gli enti produttori di servizi assistenziali, ricreativi e culturali, le Autorità di bacino distrettuali, le fondazioni lirico-sinfoniche, i teatri nazionali e di rilevante interesse culturale e le altre amministrazioni locali, non comprese nei commi da 823 a 829, inserite nel conto economico consolidato e individuate ai sensi dell'articolo 1, comma 2, della legge 31 dicembre 2009, n. 196, nei rispettivi raggruppamenti istituzionali, possono procedere ad assunzioni con rapporto di lavoro a tempo indeterminato nei limiti della spesa determinata sulla base dei rispettivi ordinamenti ridotta di un importo pari al 25 per cento di quella relativa al personale cessato nell'anno precedente. La disposizione di cui al primo periodo non si applica ai soggetti costituiti in forma societaria, alle ONLUS e alle amministrazioni con un numero di dipendenti in servizio con rapporto di lavoro a tempo indeterminato non superiore a 20.

831. Con decreto del Presidente del Consiglio dei ministri, su proposta del Ministro per la pubblica amministrazione, di concerto con il Ministro dell'economia e delle finanze, al fine di soddisfare esigenze peculiari o consentire l'assunzione di specifiche professionalità, può derogarsi a quanto disposto dai commi da 822 a 830 del presente articolo mediante compensazione, fra amministrazioni soggette al medesimo regime assunzionale, delle facoltà assunzionali, garantendo comunque l'invarianza dei risparmi ascritti ai predetti commi.

832. Al fine di garantire maggiore efficienza ed efficacia dell'azione amministrativa, i risparmi permanenti conseguiti a seguito dell'effettuazione di assunzioni di personale a tempo indeterminato in misura inferiore a quella consentita dalla legislazione vigente in materia di turn over, asseverati dai rispettivi organi di controllo, possono essere destinati ad incrementare i fondi per il trattamento accessorio del personale delle amministrazioni destinatarie delle disposizioni dei commi da 822 a 830 del presente articolo per un importo, non superiore al 10 per cento del valore dei predetti fondi, determinato per l'anno 2016 ai sensi dell'articolo 23, comma 2, del decreto legislativo 25 maggio 2017, n. 75, e certificato ai sensi dell'articolo 40-bis del decreto legislativo 30 marzo 2001, n. 165, o delle analoghe disposizioni previste dai rispettivi ordinamenti, al netto delle eventuali risorse per lavoro straordinario ivi presenti.

833. Per effetto di quanto previsto dai commi da 822 a 830 del presente articolo, le amministrazioni, nell'ambito dei piani triennali dei fabbisogni di cui all'articolo 6 del decreto legislativo 30 marzo 2001, n. 165, provvedono ad adeguare la propria dotazione organica, anche in termini finanziari. Le amministrazioni non soggette alla adozione dei predetti piani provvedono ad adeguare la propria dotazione organica secondo i rispettivi ordinamenti. L'adeguamento della dotazione organica è asseverato dall'organo di controllo.

834. Entro il 30 aprile di ciascun anno le somme derivanti dall'applicazione dei commi da 823 a 829 e 830 sono versate, dalle amministrazioni interessate, su apposito capitolo dell'entrata del bilancio dello Stato e restano acquisite all'erario.

835. In attuazione di quanto disposto ai sensi dell'articolo 1, comma 459, della legge 27 dicembre 2013, n. 147, a partire dalla prima mensilità successiva alla data di entrata in vigore del medesimo comma 459 non sono dovuti trattamenti economici aggiuntivi o assegni personali nei confronti di dipendenti di amministrazioni pubbliche di cui all'articolo 1, comma 2, del decreto legislativo 30 marzo 2001, n. 165, eventualmente riconosciuti in ragione del superiore trattamento economico goduto nell'espletamento dell'incarico o ruolo provvisorio e, ove non già anteriormente disposto, entro trenta giorni dalla data di entrata in vigore della presente legge sono avviati i conseguenti adempimenti per il recupero degli importi eventualmente indebitamente corrisposti. Il mancato esercizio dell'azione di recupero costituisce danno erariale. In caso di passaggio di carriera o di definitivo trasferimento in altro ruolo di una pubblica amministrazione, si applica, a decorrere dalla data della sua entrata in vigore, l'articolo 1, comma 458, della legge 27 dicembre 2013, n. 147, con mantenimento, fino al completo riassorbimento, di eventuali trattamenti economici riconosciuti con assegno personale prima della predetta data di entrata in vigore del medesimo comma 458.

836. Al fine di consentire interventi urgenti e straordinari di conto capitale per il miglioramento del decoro urbano e dei servizi pubblici locali, in occasione degli eventi da svolgere nel comune di Agrigento, in relazione alla designazione quale Capitale italiana della cultura per l'anno 2025, finalizzati alla promozione dello stesso comune, è autorizzata la spesa delle quote di avanzo delle risorse assegnate in attuazione dell'articolo 54 della legge 28 dicembre 2001, n. 448, per gli anni 2002 e 2003 e riferite a interventi non avviati o conclusi o già finanziati negli anni precedenti con risorse proprie, nel rispetto dei limiti previsti dall'articolo 1, commi 897 e 898, della legge 30 dicembre 2018, n. 145.

837. Al fine di mantenere gli attuali livelli operativi, di efficienza e di efficacia del Corpo delle capitanerie di porto, al codice dell'ordinamento militare, di cui al decreto legislativo 15 marzo 2010, n. 66, sono apportate le seguenti modificazioni:

a) all'articolo 585, comma 1, le lettere da h-novies) a h-vicies-bis) sono sostituite dalle seguenti:

« h-novies) per l'anno 2025: 106.096.389,27;

h-decies) per l'anno 2026: 111.280.954,46;

h-undecies) per l'anno 2027: 115.270.142,94;

h-duodecies) per l'anno 2028: 117.930.173,98;

h-terdecies) per l'anno 2029: 118.460.976,13;

h-quaterdecies) per l'anno 2030: 118.986.677,33;

h-quinquiesdecies) per l'anno 2031: 119.875.431,92;

h-sexiesdecies) per l'anno 2032: 120.735.094,12;

h-septiesdecies) per l'anno 2033: 121.650.530,63;

h-duodevicies) per l'anno 2034: 122.812.631,53;

h-undevicies) per l'anno 2035: 123.878.731,64;

h-vicies) per l'anno 2036: 124.429.110,75;

h-vicies semel) per l'anno 2037: 124.824.322,26;

h-vicies bis) a decorrere dall'anno 2038: 125.108.190,75 »;

b) all'articolo 812-bis, comma 1:

1) alla lettera b), il numero: « 26 » è sostituito dal seguente: « 27 »;

2) alla lettera c), il numero: « 64 » è sostituito dal seguente: « 65 »;

3) alla lettera d), il numero: « 482 » è sostituito dal seguente: « 490 »;

c) all'articolo 814:

1) al comma 1, il numero: « 1019 » è sostituito dal seguente: « 1069 » e il numero: « 706 » è sostituito dal seguente: « 756 »;

2) al comma 1-bis:

2.1) alla lettera a), il numero: « 4 » è sostituito dal seguente: « 5 »;

2.2) alla lettera b), il numero: « 16 » è sostituito dal seguente: « 17 »;

2.3) alla lettera c), il numero: « 119 » è sostituito dal seguente: « 127 »;

d) all'articolo 815, la lettera b) è sostituita dalla seguente:

« b) 1.775 fino all'anno 2024, 1.800 per l'anno 2025, 1.825 per l'anno 2026 e 1.850 dall'anno 2027, in ferma ovvero in rafferma »;

e) il quadro V della tabella 2, di cui all'articolo 1136-bis, è sostituito dal quadro V di cui all'allegato III annesso alla presente legge.

838. Per l'attuazione delle disposizioni di cui al comma 837, lettere a), b), c) e d), è autorizzata la spesa di euro 4.923.734 per l'anno 2025, di euro 5.758.870 per l'anno 2026, di euro 6.594.006 per l'anno 2027, di euro 6.901.917 per l'anno 2028, di euro 7.209.827 per l'anno 2029, di euro 7.517.737 per l'anno 2030, di euro 7.672.979 per l'anno 2031 e di euro 7.828.221 annui a decorrere dall'anno 2032.

839. Per le spese di funzionamento connesse alle previsioni di cui ai commi 837 e 838, ivi comprese le spese di vettovagliamento, è autorizzata la spesa di euro 162.445 per l'anno 2025, di euro 240.638 per l'anno 2026, di euro 318.831 per l'anno 2027, di euro 446.819 per l'anno 2028, di euro 574.806 per l'anno 2029, di euro 702.794 per l'anno 2030, di euro 704.800 per l'anno 2031 e di euro 706.806 annui a decorrere dall'anno 2032.

840. Le risorse dell'autorizzazione di spesa di cui all'articolo 1, comma 37, della legge 27 dicembre 2013, n. 147, sono prioritariamente destinate, per un importo pari a 1 milione di euro per ciascuno degli anni dal 2025 a 2028, a 89 milioni di euro per l'anno 2029, a 120 milioni di euro per l'anno 2030, a 50 milioni di euro per l'anno 2031 e a 37 milioni di euro per l'anno 2032, al contrasto degli effetti negativi dell'inflazione e alla mitigazione degli effetti derivanti dall'eccezionale incremento dei prezzi delle materie prime nonché a sostenere l'adeguamento delle configurazioni dei sistemi di bordo, allo scopo di garantire il rispetto dei requisiti operativi e la risoluzione delle obsolescenze dei pattugliatori polivalenti d'altura per la Marina militare.

841. Al fine di potenziare l'apporto di competenze specialistiche del Corpo della guardia di finanza all'attività della rete diplomatico-consolare, al comma 3 dell'articolo 4 del decreto legislativo 19 marzo 2001, n. 68, la parola: « venticinque » è sostituita dalla seguente: « trenta ».

842. L'Agenzia delle dogane e dei monopoli, al fine di garantire la piena funzionalità e il rafforzamento dell'azione di contrasto delle frodi in settori di rilevante interesse strategico nazionale, per gli anni 2025 e 2026 è autorizzata ad assumere con contratto di lavoro subordinato a tempo indeterminato, nei limiti della dotazione organica vigente, in aggiunta alle ordinarie facoltà assunzionali, un contingente di personale pari a 105 unità, di cui 59 da inquadrare nell'Area dei funzionari e 46 da inquadrare nell'Area degli assistenti del vigente sistema di classificazione del contratto collettivo nazionale di lavoro 2019-2021 – Comparto funzioni centrali, mediante l'indizione di procedure concorsuali pubbliche, anche in deroga alle disposizioni in materia di concorso unico contenute nell'articolo 19, comma 1, del regolamento di cui al decreto del Presidente della Repubblica 9 maggio 1994, n. 487, nonché alle disposizioni in materia di mobilità tra le pubbliche amministrazioni contenute nell'articolo 30 del decreto legislativo 30 marzo 2001, n. 165.

843. Per l'attuazione del comma 842 è autorizzata la spesa di 2.975.084 euro per l'anno 2025 e di 5.950.168 euro annui a decorrere dall'anno 2026.

844. Agli oneri derivanti dal comma 843, pari a 2.975.084 euro per l'anno 2025 e a 5.950.168 euro annui a decorrere dall'anno 2026, si provvede:

a) quanto a 2.975.084 euro per l'anno 2025 e a 5.950.168 euro per ciascuno degli anni 2026 e 2027, a valere sulle risorse del bilancio dell'Agenzia delle dogane e dei monopoli;

b) quanto a 5.950.168 euro annui a decorrere dall'anno 2028, mediante corrispondente riduzione del Fondo di cui all'articolo 1, comma 200, della legge 23 dicembre 2014, n. 190, come rifinanziato ai sensi del comma 884 della presente legge.

845. Alla compensazione degli effetti finanziari, in termini di fabbisogno e di indebitamento netto, derivanti dall'attuazione del comma 844, pari a 1.532.168 euro per l'anno 2025 e a 3.064.337 euro per ciascuno degli anni 2026 e 2027, si provvede mediante corrispondente riduzione del fondo per la compensazione degli effetti finanziari non previsti a legislazione vigente conseguenti all'attualizzazione di contributi pluriennali, di cui all'articolo 6, comma 2, del decreto-legge 7 ottobre 2008, n. 154, convertito, con modificazioni, dalla legge 4 dicembre 2008, n. 189.

846. I compensi corrisposti agli organi amministrativi di vertice degli enti e degli organismi di cui all'articolo 1, comma 2, della legge 31 dicembre 2009, n. 196, individuati con decreto del Presidente del Consiglio dei ministri, su proposta del Ministro dell'economia e delle finanze, adottato entro centottanta giorni dalla data di entrata in vigore della presente legge, escluse le autorità amministrative indipendenti e le società per le quali la determinazione dei compensi degli organi di amministrazione avviene ai sensi dell'articolo 11, commi 6 e 7, del testo unico in materia di società a partecipazione pubblica, di cui al decreto legislativo 19 agosto 2016, n. 175, nonché degli enti, organismi e fondazioni che ricevono, anche in modo indiretto e sotto qualsiasi forma, contributi a carico della finanza pubblica, come definiti ai sensi dei commi da 856 a 859 della presente legge, la cui nomina è disposta a decorrere dal 1° gennaio 2025, non possono superare il limite dell'importo annuo corrispondente al 50 per cento del trattamento economico complessivo annuo lordo spettante al primo presidente della Corte di cassazione, come stabilito dall'articolo 13, comma 1, del decreto-legge 24 aprile 2014, n. 66, convertito, con modificazioni, dalla legge 23 giugno 2014, n. 89, con esclusione della rideterminazione di detto trattamento economico prevista dall'articolo 1, comma 68, della legge 30 dicembre 2021, n. 234. Con il medesimo decreto di cui al primo periodo è stabilita la percentuale di riduzione da applicare agli importi indicati nella tabella C di cui all'allegato 1 annesso al decreto del Presidente del Consiglio dei ministri 23 agosto 2022, n. 143, adottato ai sensi dell'articolo 1, comma 596, della legge 27 dicembre 2019, n. 160.

847. Per organi amministrativi di vertice si intendono quelli di amministrazione attiva e consultiva degli enti e degli organismi di cui al comma 1, comunque denominati dai rispettivi ordinamenti, organizzati anche in forma collegiale.

848. A decorrere dal 1° gennaio 2025, i titolari di cariche negli organi di vertice degli enti e degli organismi di cui all'articolo 1, comma 2, della legge 31 dicembre 2009, n. 196, nonché di quelli cui si applica il limite retributivo di cui al comma 846, che, con riferimento ai rispettivi ordinamenti, mantengono un trattamento retributivo di servizio da parte dell'amministrazione di appartenenza, anche se collocati fuori ruolo o in posizione di distacco o in aspettativa, non possono percepire per l'incarico ricoperto compensi di importo superiore al 25 per cento dell'ammontare complessivo del trattamento economico in godimento. A decorrere dalla data di cui al primo periodo, nel caso in cui i compensi per incarichi negli organi amministrativi di vertice di cui al comma 846 o negli organi di amministrazione delle società di cui all'elenco delle amministrazioni pubbliche inserite nel conto economico consolidato nella sezione Amministrazioni centrali, come individuate ai sensi dell'articolo 1, comma 3, della legge 31 dicembre 2009, n. 196, nonché delle società possedute, direttamente o indirettamente in misura totalitaria, dalle amministrazioni pubbliche, escluse le società quotate e le loro controllate, risultassero cumulabili con i compensi spettanti per le cariche ricoperte negli organi delle rispettive società partecipate o enti strumentali, ai titolari delle relative cariche non potranno essere erogate, per gli incarichi ricoperti in tali società partecipate o enti strumentali, compensi di importo complessivamente superiore al 25 per cento di quella spettante per l'incarico svolto in via principale. In caso di superamento dei limiti di cui al presente comma, i relativi compensi in corso di godimento sono automaticamente ridotti.

849. Le disposizioni di cui ai commi da 846 a 848 non si applicano:

a) agli organi costituzionali e a rilevanza costituzionale, alle regioni, alle province autonome di Trento e di Bolzano, agli enti locali e ai loro organismi ed enti strumentali come definiti dall'articolo 1, comma 2, del decreto legislativo 23 giugno 2011, n. 118, nonché ai loro enti strumentali in forma societaria e agli enti del Servizio sanitario nazionale;

b) agli enti di cui al decreto legislativo 30 giugno 1994, n. 509, e al decreto legislativo 10 febbraio 1996, n. 103, agli enti pubblici di ricerca, ai consorzi tra università ed enti pubblici di ricerca e alle fondazioni aventi finalità di ricerca scientifica, all'Istituto nazionale di statistica, all'Istituto nazionale della previdenza sociale, all'Istituto nazionale per l'assicurazione contro gli infortuni sul lavoro e alle agenzie fiscali di cui all'articolo 57 del decreto legislativo 30 luglio 1999, n. 300;

c) ai trattamenti economici e agli emolumenti comunque denominati per l'esercizio di funzioni direttive, dirigenziali o equiparate o in ragione di rapporti di lavoro subordinato, erogati dalle autorità amministrative indipendenti, dagli enti pubblici economici e dalle pubbliche amministrazioni di cui all'articolo 1, comma 2, del decreto legislativo 30 marzo 2001, n. 165, ivi compreso il personale in regime di diritto pubblico di cui all'articolo 3 del medesimo decreto legislativo.

850. Fermo restando quanto previsto dalla legge 20 luglio 2004, n. 215, i titolari di cariche di Governo, i Presidenti delle regioni e delle province autonome di Trento e di Bolzano nonché i parlamentari della Repubblica, fatta eccezione per i parlamentari che sono stati eletti all'estero, non possono accettare, durante il proprio mandato, contributi, prestazioni, controprestazioni o altre utilità erogati, direttamente o indirettamente, da parte di soggetti pubblici o privati, anche mediante interposizione di persona, di società o di enti, non aventi sede legale e operativa nell'Unione europea o nei Paesi aderenti allo Spazio economico europeo. Fatta eccezione per i titolari di cariche di Governo, il divieto di cui al primo periodo non si applica in caso di preventiva autorizzazione rilasciata dagli organi di appartenenza secondo le procedure stabilite dai rispettivi ordinamenti, esclusivamente nel caso in cui il compenso percepito non sia superiore a 100.000 euro annui.

851. In caso di inosservanza del divieto di cui al comma 850, ferma restando ogni altra responsabilità dei soggetti interessati, il compenso percepito deve essere versato, a cura del percettore, entro trenta giorni dall'erogazione, all'entrata del bilancio dello Stato per la successiva riassegnazione al Fondo per l'ammortamento dei titoli di Stato, di cui all'articolo 44 del testo unico delle disposizioni legislative e regolamentari in materia di debito pubblico, di cui al decreto del Presidente della Repubblica 30 dicembre 2003, n. 398.

852. In caso di mancato versamento nel termine prescritto, si applica una sanzione amministrativa pecuniaria di importo pari al compenso percepito e non versato.

853. Il divieto di cui al comma 850 si applica altresì ai membri del Parlamento europeo eletti in Italia, secondo le modalità e le procedure stabilite dal Parlamento europeo.

854. I ministri e i sottosegretari di Stato che non siano parlamentari e non siano residenti a Roma hanno diritto al rimborso delle spese di trasferta da e per il domicilio o la residenza per l'espletamento delle proprie funzioni. Ai fini di cui al primo periodo presso la Presidenza del Consiglio dei ministri è istituito un fondo con una dotazione di 500.000 euro annui a decorrere dall'anno 2025. Le risorse del fondo di cui al secondo periodo sono destinate alle amministrazioni interessate con decreto del Presidente del Consiglio dei ministri, su proposta del Ministro dell'economia e delle finanze.

855. Agli oneri di cui al comma 854, pari a 500.000 euro annui a decorrere dall'anno 2025, si provvede mediante corrispondente riduzione del Fondo di cui all'articolo 1, comma 200, della legge 23 dicembre 2014, n. 190, come rifinanziato ai sensi del comma 884 della presente legge.

856. I rappresentanti designati dai Ministeri sulla base delle proprie attribuzioni di competenza nei collegi dei revisori e sindacali delle amministrazioni pubbliche di cui all'articolo 1, comma 2, della legge 31 dicembre 2009, n. 196, nello svolgimento dei compiti ad essi demandati dalla normativa vigente, assicurano le necessarie attività di monitoraggio della spesa e di resoconto al Dipartimento della Ragioneria generale dello Stato delle risultanze delle verifiche effettuate, in conformità alle direttive individuate dal Ministero dell'economia e delle finanze, fornite al fine di garantire il conseguimento degli obiettivi di finanza pubblica stabiliti in accordo con l'ordinamento dell'Unione europea.

857. Gli organi di controllo, anche in forma monocratica, già costituiti o da costituire per il rispetto di quanto previsto dal presente comma, delle società, degli enti, degli organismi e delle fondazioni che ricevono, anche in modo indiretto e sotto qualsiasi forma, un contributo di entità significativa a carico dello Stato stabilito con decreto del Presidente del Consiglio dei ministri, su proposta del Ministro dell'economia e delle finanze, da adottare entro novanta giorni dalla data di entrata in vigore della presente legge, provvedono allo svolgimento dei compiti e secondo le responsabilità ad essi attribuiti in base alla normativa vigente ad effettuare apposite attività di verifica intese ad accertare che l'utilizzo dei predetti contributi sia avvenuto nel rispetto delle finalità per le quali i medesimi sono stati concessi e a inviare annualmente al Ministero dell'economia e delle finanze una relazione contenente le risultanze delle verifiche effettuate.

858. A decorrere dal 1° gennaio 2025, l'applicazione delle misure di contenimento della spesa di cui ai commi 591, 592, 593, 597, 598 e 599 dell'articolo 1 della legge 27 dicembre 2019, n. 160, è estesa alle società, agli enti, agli organismi e alle fondazioni di cui al comma 857 del presente articolo. Conseguentemente, tali soggetti, a decorrere dall'anno 2025, non possono effettuare spese per l'acquisto di beni e servizi per un importo superiore al valore medio sostenuto per le medesime finalità negli esercizi finanziari 2021, 2022 e 2023, come risultante dai relativi rendiconti o bilanci deliberati. Con esclusivo riferimento alle fondazioni lirico-sinfoniche e ai teatri di tradizione, gli esercizi finanziari di riferimento sono limitati agli anni 2022 e 2023.

859. Al fine di potenziare l'attività di controllo amministrativo-contabile da parte dei revisori dei conti e perseguire la migliore allocazione delle risorse disponibili presso le istituzioni scolastiche, i revisori dei conti svolgono ulteriori verifiche sulla base delle indicazioni predisposte dal Ministero dell'istruzione e del merito, d'intesa con il Ministero dell'economia e delle finanze. Per la finalità di cui al primo periodo, con decreto del Ministro dell'istruzione e del merito, di concerto con il Ministro dell'economia e delle finanze, è definito l'incremento dei compensi, a decorrere dall'anno 2025, dei revisori dei conti delle istituzioni scolastiche di cui all'articolo 1, comma 616, della legge 27 dicembre 2006, n. 296. Per l'attuazione del presente comma è autorizzata la spesa di 2,4 milioni di euro annui a decorrere dall'anno 2025.

860. All'articolo 5, comma 1, del decreto-legge 18 ottobre 2012, n. 179, convertito, con modificazioni, dalla legge 17 dicembre 2012, n. 221, sono aggiunte, in fine, le seguenti parole: « nonché agli amministratori di imprese costituite in forma societaria ».

861. Al fine di contribuire alla riduzione degli oneri di esercizio della società RAI–Radiotelevisione italiana Spa, la predetta società, nell'anno 2025, promuove l'adozione di misure di razionalizzazione dei costi per consulenze esterne, mantenendoli, nel complesso, a un livello non superiore a quello conseguito nell'anno 2023, con esclusione dei costi per consulenze relative a operazioni di carattere strategico. Per l'anno 2026, in relazione all'ammontare complessivo dei costi di cui al primo periodo, la predetta società è tenuta a realizzare una riduzione pari almeno al 2 per cento rispetto al corrispondente ammontare sostenuto nella media del triennio 2021-2023. Per l'anno 2027, la riduzione di cui al secondo periodo è elevata al 4 per cento. Per le medesime finalità di cui al primo periodo, la predetta società, coerentemente con gli obiettivi previsti dal piano industriale 2024-2026, nel corso dell'anno 2025, mette in atto misure di contenimento dei costi esterni tali da realizzare, negli anni 2026 e 2027, una riduzione dell'ammontare complessivo degli stessi, al netto dell'inflazione registrata nei medesimi anni, pari almeno al 2 per cento rispetto all'ammontare dei corrispondenti costi sostenuti nell'anno 2024. I risparmi derivanti dalle misure di cui al presente comma sono finalizzati al conseguimento degli obiettivi di cui all'articolo 3 del contratto nazionale di servizio per il periodo 2023-2028, di cui al comunicato pubblicato nella Gazzetta Ufficiale n. 121 del 25 maggio 2024. Gli amministratori della società RAI – Radiotelevisione italiana Spa danno conto delle misure adottate in attuazione del presente comma nella relazione sulla gestione allegata al bilancio degli esercizi 2025, 2026 e 2027.

862. All'articolo 95 del testo unico delle imposte sui redditi, di cui al decreto del Presidente della Repubblica 22 dicembre 1986, n. 917, dopo il comma 6 è aggiunto, in fine, il seguente:

« 6-bis. Per i soggetti che redigono il bilancio in base ai princìpi contabili internazionali di cui al regolamento (CE) n. 1606/2002 del Parlamento europeo e del Consiglio, del 19 luglio 2002, i componenti negativi imputati a conto economico in relazione alle operazioni con pagamento basato su azioni regolate con propri strumenti rappresentativi di capitale ovvero con azioni di altre società del gruppo sono deducibili al momento dell'assegnazione dei predetti strumenti; in tale momento sono altresì riconosciuti i maggiori valori delle partecipazioni iscritti in bilancio dalle società del gruppo i cui strumenti rappresentativi di capitale sono assegnati a seguito di tali operazioni ».

863. Le disposizioni di cui al comma 862 si applicano alle operazioni con pagamento basato su azioni i cui oneri sono rilevati per la prima volta nei bilanci relativi all'esercizio in corso alla data del 31 dicembre 2025 o nei successivi.

864. All'articolo 15 della legge 7 marzo 1996, n. 108, sono apportate le seguenti modificazioni:

a) al comma 1:

1) al secondo periodo:

1.1) la parola: « 70 » è sostituita dalla seguente: « 60 »;

1.2) le parole: « per l'erogazione di contributi » sono sostituite dalle seguenti: « per l'assegnazione in gestione di risorse »;

1.3) la parola: « confidi » è sostituita dalla seguente: « Confidi »;

1.4) le parole: « 30 per cento » sono sostituite dalle seguenti: « 40 per cento »;

1.5) le parole: « a favore delle » sono sostituite dalle seguenti « assegnato in gestione alle »;

1.6) sono aggiunte, in fine, le seguenti parole: « , per il rilascio delle garanzie disciplinate al comma 6 »;

2) dopo il secondo periodo sono aggiunti, in fine, i seguenti: « I contributi del Fondo devono essere accreditati su specifici conti, separati dai fondi propri dei Confidi e delle fondazioni e associazioni assegnatari, con vincolo di destinazione, aperti presso una o più banche. Tali conti costituiscono patrimoni distinti a tutti gli effetti di quelli dei Confidi e delle fondazioni e associazioni assegnatari »;

b) al comma 2:

1) all'alinea, sono apportate le seguenti modificazioni:

1.1) dopo le parole: « i contributi » sono aggiunte le seguenti: « ai Confidi »;

1.2) dopo le parole: « di cui al comma 1 » sono aggiunte le seguenti: « sono destinati alla concessione di una garanzia, a prima richiesta, esplicita, incondizionata e irrevocabile, fino all'80 per cento alle banche, agli intermediari finanziari e ai soggetti di cui all'articolo 111 del testo unico delle leggi in materia bancaria e creditizia, di cui al decreto legislativo 1° settembre 1993, n. 385, per operazioni finanziarie a favore delle piccole e medie imprese in situazione di elevato rischio finanziario. Detti contributi »;

2) le lettere a) e b) sono sostituite dalle seguenti:

« a) che si tratti di soggetti garanti autorizzati, ai sensi dell'articolo 1, comma 1, lettera ccc), del decreto del Ministro dello sviluppo economico 6 marzo 2017, pubblicato nella Gazzetta Ufficiale n. 157 del 7 luglio 2017, ad operare con il Fondo di garanzia per le piccole e medie imprese, di cui all'articolo 2, comma 100, lettera a), della legge 23 dicembre 1996, n. 662;

b) che essi costituiscano speciali fondi antiusura, separati dai fondi rischi ordinari, destinati alla concessione di una garanzia, a prima richiesta, esplicita, incondizionata e irrevocabile, fino all'80 per cento alle banche e agli istituti di credito che concedono finanziamenti a medio termine o effettuano operazioni di liquidità, compreso l'incremento di linee di credito a breve termine, a favore delle piccole e medie imprese in situazione di elevato rischio finanziario, individuata mediante un giudizio sintetico sulla probabilità di insolvenza, ad un anno, dell'impresa beneficiaria, in misura non inferiore al 3,6 per cento. La medesima garanzia può essere concessa alle micro e piccole imprese in situazione di elevato rischio finanziario per operazioni di rinegoziazione del debito o di allungamento del finanziamento o di sospensione delle rate su operazioni esistenti purché il nuovo finanziamento, se è concesso dalla stessa banca o da una banca appartenente allo stesso gruppo bancario, preveda l'erogazione al medesimo soggetto beneficiario di credito aggiuntivo in misura almeno pari al 20 per cento dell'importo del debito residuo in essere del finanziamento oggetto di rinegoziazione;

c) che i contributi di cui al comma 1 possano essere cumulati, nel rispetto della disciplina dell'Unione europea, con eventuali contributi concessi dalle camere di commercio, industria, artigianato e agricoltura, dalle regioni e da altri enti pubblici e privati »;

c) dopo il comma 2 è aggiunto il seguente:

« 2-bis. Nel rispetto della disciplina dell'Unione europea, una quota dei contributi di cui al comma 1 può essere utilizzata dai Confidi, entro il limite del 40 per cento dell'ammontare del loro speciale fondo antiusura al 31 dicembre dell'anno precedente, anche per erogare credito fino a un importo massimo per singola operazione di 40.000 euro a favore di micro, piccole e medie imprese in situazione di elevato rischio finanziario, come definita al comma 2, lettera b), a condizione che:

a) almeno il 20 per cento dell'importo del singolo finanziamento sia concesso facendo ricorso a risorse proprie, sulle quali il Confidi non può giovarsi di strumenti di mitigazione del rischio a valere su risorse pubbliche;

b) i tassi applicati al finanziamento siano adeguati a consentire il mero recupero dei costi sostenuti nonché la remunerazione del rischio limitatamente alla sola quota di risorse proprie impiegate dal Confidi »;

d) al comma 6:

1) al primo periodo, dopo le parole: « dell'usura » sono inserite le seguenti: « , a valere sulle risorse loro assegnate in gestione ai sensi del comma 1, », dopo le parole: « prestano garanzie » sono inserite le seguenti: « , a prima richiesta, esplicite, incondizionate e irrevocabili, » e dopo le parole: « alle banche ed agli intermediari finanziari » sono inserite le seguenti: « nonché ai soggetti di cui all'articolo 111 del testo unico delle leggi in materia bancaria e creditizia, di cui al decreto legislativo 1 settembre 1993, n. 385, nel rispetto della disciplina dell'Unione europea, »;

2) dopo il primo periodo è aggiunto il seguente: « I contributi alle fondazioni e associazioni di cui al comma 1 sono cumulabili, nel rispetto della disciplina dell'Unione europea, con eventuali contributi concessi dalle camere di commercio, industria, artigianato e agricoltura, dalle regioni e da altri enti pubblici e privati »;

e) dopo il comma 7 è aggiunto il seguente:

« 7-bis. Gli interventi di garanzia di cui al comma 2 e al comma 6 sono assistiti dalla garanzia dello Stato, quale garanzia di ultima istanza, secondo criteri, condizioni e modalità, ivi compresa la percentuale minima di accantonamento a titolo di coefficiente di rischio che i garanti dovranno porre in essere per ciascuna operazione, da stabilire con il decreto del Ministro dell'economia e delle finanze di cui al comma 10-bis. La garanzia dello Stato è inserita nell'elenco allegato allo stato di previsione del Ministero dell'economia e delle finanze, ai sensi dell'articolo 31 della legge 31 dicembre 2009, n. 196 »;

f) al comma 8, il quarto periodo è sostituito dal seguente: « Ai componenti della commissione non sono corrisposti compensi, gettoni di presenza, rimborsi di spese o altri emolumenti comunque denominati »;

g) dopo il comma 10 sono aggiunti i seguenti:

« 10-bis. Il Ministro dell'economia e delle finanze, con decreto di natura non regolamentare, emana disposizioni attuative del presente articolo.

10-ter. Gli organismi assegnatari dei contributi erogati a valere sulle risorse del Fondo di cui al comma 1, entro sei mesi dalla cessazione dell'attività, dallo scioglimento, dalla liquidazione o dalla cancellazione dagli elenchi, nonché nel caso di gravi irregolarità nella gestione dei contributi assegnati, ovvero nel caso di mancato utilizzo per le finalità previste dei contributi assegnati per due esercizi consecutivi e senza giustificato motivo, devono restituire il contributo non impegnato mediante versamento del relativo importo al bilancio dello Stato, per essere successivamente riassegnato al capitolo di gestione del medesimo Fondo per la prevenzione del fenomeno dell'usura per una successiva assegnazione in favore degli aventi diritto, in conformità alla disciplina vigente. Per le somme impegnate la restituzione deve avvenire entro sei mesi dal rimborso dei prestiti garantiti, al netto delle insolvenze. Anche dopo la scadenza di tale termine, devono essere restituite le somme eventualmente recuperate, dopo l'escussione delle garanzie.

10-quater. Per la gestione dell'intervento nonché per il monitoraggio e il controllo dei contributi concessi ai sensi del presente articolo, il Ministero dell'economia e delle finanze può avvalersi della società Consap SpA, ai sensi dell'articolo 19, comma 5, del decreto-legge 1° luglio 2009, n. 78, convertito, con modificazioni, dalla legge 3 agosto 2009, n. 102, con oneri posti a carico delle risorse del Fondo di cui al comma 1, nel limite di 400.000 euro annui a decorrere dal 2025 ».

865. Le disposizioni di cui al comma 864 si applicano a decorrere dalla data di entrata in vigore del decreto di cui all'articolo 15, comma 10-bis, della legge 7 marzo 1996, n. 108. A decorrere dalla stessa data sono abrogati:

a) i commi 256, 257 e 258 dell'articolo 1 della legge 30 dicembre 2020, n. 178;

b) il comma 386 dell'articolo 1 della legge 23 dicembre 2005, n. 266;

c) il regolamento di cui al decreto del Presidente della Repubblica 11 giugno 1997, n. 315;

d) il decreto del Ministro del tesoro 6 agosto 1996, pubblicato nella Gazzetta Ufficiale n. 189 del 13 agosto 1996, concernente la determinazione, ai sensi dell'articolo 15, comma 3, della legge 7 marzo 1996, n. 108, dei requisiti patrimoniali dei fondi speciali antiusura dei Confidi e dei requisiti di onorabilità e professionalità degli esponenti dei fondi medesimi;

e) il decreto del Ministro del tesoro 6 agosto 1996, pubblicato nella Gazzetta Ufficiale n. 189 del 13 agosto 1996, concernente la determinazione, ai sensi dell'articolo 15, comma 5, della legge 7 marzo 1996, n. 108, dei requisiti patrimoniali delle fondazioni e delle associazioni per la prevenzione del fenomeno dell'usura dei requisiti di onorabilità e professionalità degli esponenti delle medesime;

f) il decreto del Ministro dell'economia e delle finanze 20 agosto 2021, di cui al comunicato pubblicato nella Gazzetta Ufficiale n. 231 del 27 settembre 2021, concernente l'erogazione di credito a valere sui contributi erogati dal fondo di prevenzione dell'usura da parte dei Confidi iscritti all'elenco di cui all'articolo 112 del testo unico delle leggi in materia bancaria e creditizia, di cui al decreto legislativo 1° settembre 1993, n. 385.

866. I Confidi già assegnatari di contributi a valere sulle risorse del Fondo per la prevenzione del fenomeno dell'usura che, decorsi ventiquattro mesi dalla data di entrata in vigore della presente legge, non rispettano i requisiti di cui all'articolo 15, comma 2, lettera a), della legge 7 marzo 1996, n. 108, come modificata dal comma 864 del presente articolo, provvedono alla restituzione dei contributi non impegnati con le modalità di cui all'articolo 1, comma 386, della legge 23 dicembre 2005, n. 266, e, successivamente all'adozione del decreto di cui all'articolo 15, comma 10-bis, della citata legge n. 108 del 1996, con le modalità di cui al comma 10-ter del medesimo articolo 15.

867. Ai fini del concorso al raggiungimento degli obiettivi programmatici di finanza pubblica, a decorrere dall'anno 2025, l'Automobile Club d'Italia provvede a versare all'entrata del bilancio dello Stato la somma di 50 milioni di euro annui. Le risorse di cui al presente comma restano acquisite all'erario.

868. All'articolo 18-bis del decreto legislativo 10 marzo 2000, n. 74, dopo il comma 1 è aggiunto il seguente:

« 1-bis. I beni di cui al comma 1 acquisiti dallo Stato a seguito di provvedimento definitivo di confisca sono assegnati, a richiesta, agli organi dell'Amministrazione finanziaria ».

869. Alla legge 14 novembre 2016, n. 220, sono apportate le seguenti modificazioni:

a) all'articolo 12, comma 6:

1) dopo le parole: « al comma 3, » sono inserite le seguenti: « al fine di rafforzare la capacità di monitoraggio, controllo e valutazione della spesa, secondo quanto previsto dal Piano strutturale di bilancio di medio termine 2025-2029, »;

2) le parole: « delle agevolazioni tributarie ivi previste » sono sostituite dalle seguenti: « degli incentivi ivi previsti »;

3) le parole: « mediante incentivi tributari » sono soppresse;

b) all'articolo 13:

1) al comma 2, la parola: « straordinario », ovunque ricorre, è soppressa;

2) al comma 5, le parole: « superiore al 15 per cento » sono sostituite dalle seguenti: « superiore al 30 per cento »;

3) dopo il comma 5 è inserito il seguente:

« 5-bis. Le risorse stanziate per il finanziamento degli interventi previsti nelle sezioni III, IV, V del presente capo, nonché dagli articoli 28, 29 e 30, laddove inutilizzate, possono essere destinate, nel rispetto degli equilibri di finanza pubblica e nella misura definita con decreto del Ministro della cultura, di concerto con il Ministro dell'economia e delle finanze, al rifinanziamento del Fondo per il cinema e l'audiovisivo »;

c) all'articolo 15, comma 2:

1) alla lettera a), primo periodo, le parole: « ordinariamente prevista nella misura del 40 per cento » sono sostituite dalle seguenti: « prevista nella misura massima del 40 per cento »;

2) alla lettera b), primo periodo, le parole: « l'aliquota del 40 per cento » sono sostituite dalle seguenti: « l'aliquota massima del 40 per cento »;

d) all'articolo 21, comma 5, l'ultimo periodo è sostituito dal seguente: « Con riferimento alle previsioni di cui all'articolo 15, il credito d'imposta massimo onnicomprensivo riferibile al compenso attribuito al singolo soggetto in qualità di regista, sceneggiatore, attore e altra figura professionale indicata nei medesimi decreti, è definito prendendo a riferimento quanto previsto dall'articolo 23-ter del decreto-legge 6 dicembre 2011, n. 201, convertito, con modificazioni, dalla legge 22 dicembre 2011, n. 214, anche avuto riguardo alla natura e alla tipologia delle prestazioni professionali e delle opere beneficiarie »;

e) all'articolo 26:

1) il comma 3 è soppresso;

2) al comma 4 sono aggiunti, in fine, i seguenti periodi: « Il decreto di cui al presente comma può stabilire i criteri, i meccanismi e le modalità attraverso cui lo Stato acquisisce, in misura proporzionale al contributo riconosciuto e fino a concorrenza del medesimo, una quota dei proventi dell'opera spettanti al beneficiario; all'assegnazione di questi ultimi in favore dello Stato si procede, comunque, solo dopo che siano stati coperti i costi dell'opera. I proventi di cui al secondo periodo sono versati all'entrata del bilancio dello Stato per essere riassegnati al Fondo per il cinema e l'audiovisivo »;

f) all'articolo 29:

1) alla rubrica, la parola: « straordinario » è soppressa;

2) al comma 1, dopo le parole: « e 2019, » sono inserite le seguenti: « e fino a 3 milioni di euro annui a decorrere dall'anno 2025 »;

3) al comma 4, le parole: « del Presidente del Consiglio dei ministri, su proposta del Ministro » sono sostituite dalle seguenti « del Ministro della cultura »;

g) all'articolo 32, comma 7, le parole: « Con decreto del Presidente del Consiglio dei ministri, su proposta del Ministro, di concerto con il Ministro dello sviluppo economico » sono sostituite da: « Con decreto del Ministro della cultura, di concerto con il Ministro delle imprese e del made in Italy ».

870. Ai fini del concorso delle amministrazioni centrali dello Stato al raggiungimento degli obiettivi programmatici di finanza pubblica del Piano strutturale di bilancio di medio termine 2025-2029, le dotazioni di competenza e di cassa relative alle missioni e ai programmi di spesa degli stati di previsione dei Ministeri come indicate nell'allegato IV annesso alla presente legge sono ridotte, per gli anni 2025 e 2026 e a decorrere dall'anno 2027, degli importi ivi indicati. Le predette riduzioni possono essere rimodulate in termini di competenza e di cassa anche tra programmi diversi nell'ambito dei pertinenti stati di previsione della spesa, su proposta dei Ministri competenti, con decreto del Ministro dell'economia e delle finanze, fatte salve le ordinarie forme di flessibilità di bilancio previste dall'articolo 33 della legge 31 dicembre 2009, n. 196, fermo restando il conseguimento dei risparmi di spesa previsti e a invarianza di effetti sui saldi di finanza pubblica.

871. Ai fini del conseguimento dell'obiettivo intermedio M1C1-122 della riforma 1.13 del PNRR Riforma della revisione della spesa (« riforma della spending review »), per il periodo 2025-2027, nell'ambito delle riduzioni degli stanziamenti di bilancio disposte dalla presente legge per le amministrazioni centrali dello Stato, comprese le disposizioni di cui ai commi da 822 a 845, sono stabiliti obiettivi di risparmio di spesa per l'importo complessivo di 300 milioni di euro per l'anno 2025, di 500 milioni di euro per l'anno 2026 e di 700 milioni di euro a decorrere dall'anno 2027, in termini di indebitamento netto. Gli obiettivi di risparmio sono ripartiti tra i Ministeri secondo quanto indicato nell'allegato V annesso alla presente legge.

872. Con decreto del Ministro dell'economia e delle finanze, di concerto con i Ministri interessati, a parità di importi complessivi indicati dal comma 871, è possibile modificare la ripartizione degli obiettivi di risparmio tra Ministeri e le misure per il raggiungimento dei suddetti importi.

873. Il Ministro dell'economia e delle finanze è autorizzato ad apportare, con propri decreti, da comunicare alle competenti Commissioni parlamentari e alla Corte dei conti, le occorrenti variazioni di bilancio in relazione ai commi 870 e 872.

874. Sono oggetto di monitoraggio da parte del Ministero dell'economia e delle finanze le misure di cui ai commi 871 e 872, sulla base di quanto indicato dalle linee guida ai sensi dell'articolo 22-bis della legge 31 dicembre 2009, n. 196, adottate con determina del Ragioniere generale dello Stato del 29 dicembre 2022 e pubblicate nel sito internet istituzionale del Dipartimento della Ragioneria generale dello Stato. I Ministeri forniscono gli elementi necessari per il monitoraggio al Ministero dell'economia e delle finanze, il quale può richiedere agli stessi eventuali integrazioni degli elementi trasmessi per il monitoraggio e per la rendicontazione dei risparmi.

875. Nello stato di previsione del Ministero dell'economia e delle finanze è istituito un fondo da ripartire a favore delle amministrazioni centrali dello Stato, per assicurare il finanziamento degli investimenti e lo sviluppo infrastrutturale del Paese, con una dotazione complessiva di 18.486 milioni di euro, di cui 2.576 milioni di euro per l'anno 2027, 1.464 milioni di euro per l'anno 2028, 800 milioni di euro per l'anno 2029, 1.949 milioni di euro per ciascuno degli anni dal 2030 al 2033 e 1.950 milioni di euro per ciascuno degli anni dal 2034 al 2036.

876. Le assegnazioni del fondo di cui al comma 875 relative alla Presidenza del Consiglio dei ministri sono disposte con decreto del Presidente del Consiglio dei ministri, da adottare di concerto con il Ministro dell'economia e delle finanze, e quelle relative ai Ministeri di cui all'allegato VI annesso alla presente legge con uno o più decreti del Ministro dell'economia e delle finanze, su proposta dei Ministri interessati. Il fondo di cui al comma 875 è destinato a interventi, anche già finanziati parzialmente, che presentino un cronoprogramma procedurale compatibile con il rispetto dei saldi di finanza pubblica, nei limiti delle risorse previste per ciascuna amministrazione dal suddetto allegato VI. I predetti decreti sono comunicati alle Commissioni parlamentari competenti e alla Corte dei conti. I decreti prevedono le modalità di monitoraggio degli interventi mediante i sistemi informativi del Dipartimento della Ragioneria generale dello Stato degli interventi e il relativo codice unico di progetto nonché la disciplina della revoca in caso di mancato rispetto del cronoprogramma. Le risorse di cui al presente comma possono essere destinate anche alla rimodulazione o riprogrammazione delle risorse previste a legislazione vigente, tenuto conto dei tempi di realizzazione del singolo intervento.

877. Il finanziamento del programma pluriennale straordinario di edilizia sanitaria e di ammodernamento tecnologico di cui all'articolo 20 della legge 11 marzo 1988, n. 67, e successivi rifinanziamenti, pari a 33,787 miliardi di euro ai sensi dell'articolo 1, comma 263, della legge 30 dicembre 2021, n. 234, dell'articolo 43, comma 4-bis, del decreto-legge 22 giugno 2023, n. 75, convertito, con modificazioni, dalla legge 10 agosto 2023, n. 112, e dell'articolo 9, comma 1-septies, del decreto-legge 29 settembre 2023, n. 132, convertito, con modificazioni, dalla legge 27 novembre 2023, n. 170, è incrementato di 126,6 milioni di euro annui per ciascuno degli anni dal 2027 al 2036. Resta fermo, per la sottoscrizione di accordi di programma con le regioni e per il trasferimento delle risorse, il limite annualmente definito in base alle effettive disponibilità del bilancio dello Stato.

878. La ripartizione dell'incremento di cui al comma 877 avviene sulla base del valore degli investimenti destinati alla realizzazione del programma denominato « Verso un ospedale sicuro e sostenibile », precedentemente finanziati dal Fondo complementare al PNRR di cui all'articolo 1, comma 2, lettera e), numero 2, del decreto-legge 6 maggio 2021, n. 59, convertito, con modificazioni, dalla legge 1° luglio 2021, n. 101, al netto degli importi relativi alle province autonome di Trento e di Bolzano e alla regione Campania.

879. Il Fondo per interventi strutturali di politica economica, di cui all'articolo 10, comma 5, del decreto-legge 29 novembre 2004, n. 282, convertito, con modificazioni, dalla legge 27 dicembre 2004, n. 307, è incrementato di 130,7 milioni di euro per l'anno 2025, di 156,8 milioni di euro per l'anno 2026, di 216 milioni di euro per l'anno 2027, di 111,9 milioni di euro per l'anno 2028, di 92,4 milioni di euro per ciascuno degli anni 2029 e 2030, di 95,4 milioni di euro per l'anno 2031, di 93,4 milioni di euro per l'anno 2032, di 112,4 milioni di euro per l'anno 2033, di 150,4 milioni di euro per l'anno 2034, di 151,4 milioni di euro per l'anno 2035 e di 144,4 milioni di euro annui a decorrere dall'anno 2036.

880. Nello stato di previsione del Ministero dell'ambiente e della sicurezza energetica è istituito il Fondo per le attività di monitoraggio, studio e ricerca in materia di inquinamento da sostanze polifluoroalchiliche e perfluoroalchiliche (PFAS) con una dotazione finanziaria di 0,5 milioni di euro per l'anno 2025 e di 1 milione di euro per ciascuno degli anni 2026 e 2027.

881. Con decreto del Ministro dell'ambiente e della sicurezza energetica, da adottare entro sessanta giorni dalla data di entrata in vigore della presente legge, sono stabilite le misure attuative del comma 880 anche al fine del rispetto del limite di spesa ivi autorizzato.

882. Agli oneri derivanti dal comma 880, pari a 0,5 milioni di euro per l'anno 2025 e a 1 milione di euro per ciascuno degli anni 2026 e 2027, si provvede mediante corrispondente riduzione del Fondo di cui all'articolo 1, comma 200, della legge 23 dicembre 2014, n. 190, come rifinanziato ai sensi del comma 884 del presente articolo.

883. Gli importi da iscrivere nei fondi speciali di cui all'articolo 21, comma 1-ter, lettera d), della legge 31 dicembre 2009, n. 196, per il finanziamento dei provvedimenti legislativi che si prevede possano essere approvati nell'anno 2025, sono determinati, per ciascuno degli anni 2025, 2026 e 2027, nelle misure indicate dalle tabelle A e B allegate alla presente legge.

884. Il Fondo di cui all'articolo 1, comma 200, della legge 23 dicembre 2014, n. 190, è incrementato di 117,1 milioni di euro per l'anno 2025, di 194,34 milioni di euro per l'anno 2026, di 194,12 milioni di euro per l'anno 2027 e di 197,22 milioni di euro annui a decorrere dall'anno 2028.

885. All'articolo 1, comma 511, primo periodo, della legge 27 dicembre 2006, n. 296, dopo le parole: « effetti finanziari non previsti a legislazione vigente » è inserita la seguente « , anche ».

886. Nello stato di previsione del Ministero dell'economia e delle finanze sono istituiti due fondi, uno di parte corrente e uno di conto capitale, destinati alla compensazione degli eventuali scostamenti dal percorso della spesa netta indicato nel Piano strutturale di bilancio di medio termine 2025-2029.

887. Quota parte delle risorse derivanti dalle disposizioni di cui ai commi da 445 a 448, pari, in termini di indebitamento netto, a 1,15 miliardi di euro per l'anno 2026, è destinata al fondo di parte corrente di cui al comma 886 del presente articolo.

888. Al fine di contrastare i fenomeni di reclutamento illegale della manodopera straniera, con particolare riferimento all'impiego irregolare di ospiti delle strutture temporanee di cui all'articolo 11 del decreto legislativo 18 agosto 2015, n. 142, ovvero nelle strutture del sistema di accoglienza e integrazione di cui all'articolo 1-sexies del decreto-legge 30 dicembre 1989, n. 416, convertito, con modificazioni, dalla legge 28 febbraio 1990, n. 39, nello stato di previsione del Ministero dell'interno è istituito il « Fondo per il contrasto del reclutamento illegale della manodopera straniera », con una dotazione di 0,5 milioni di euro per ciascuno degli anni 2026 e 2027.

889. Al Fondo di cui al comma 888 accedono gli enti del Terzo settore disciplinati dal codice del Terzo settore, di cui al decreto legislativo 3 luglio 2017, n. 117, regolarmente iscritti nella prima sezione del registro delle associazioni, degli enti e degli altri organismi privati che svolgono attività in favore degli stranieri immigrati ai sensi dell'articolo 42 del testo unico delle disposizioni concernenti la disciplina dell'immigrazione e norme sulla condizione dello straniero, di cui al decreto legislativo 25 luglio 1998, n. 286, autorizzati all'esercizio dell'attività di agenzia per il lavoro, titolari di piattaforme telematiche dedicate all'incontro tra domanda e offerta di lavoro da parte di lavoratori stranieri, regolarmente accreditate presso la società Sviluppo Lavoro Italia Spa.

890. Entro centoventi giorni dalla data di entrata in vigore della presente legge, con decreto del Ministro dell'interno, di concerto con il Ministro del lavoro e delle politiche sociali e con il Ministro dell'economia e delle finanze, sono stabilite le modalità di attuazione dei commi 888 e 889, anche al fine di assicurare il rispetto del limite di spesa di cui al comma 888.

891. Agli oneri derivanti dai commi da 888 a 890, pari a 0,5 milioni di euro per ciascuno degli anni 2026 e 2027, si provvede mediante corrispondente riduzione del Fondo di cui all'articolo 1, comma 200, della legge 23 dicembre 2014, n. 190, come rifinanziato ai sensi del comma 884 del presente articolo.

892. Al fine di assicurare l'accoglienza dei migranti, le risorse iscritte nello stato di previsione del Ministero dell'interno relative alle spese per l'attivazione, la locazione, la gestione dei centri di trattenimento e di accoglienza sono incrementate di 200 milioni di euro per l'anno 2025.

893. Nello stato di previsione del Ministero della giustizia è istituito un fondo, con una dotazione pari a 0,5 milioni di euro per l'anno 2025, per la concessione di contributi, nella misura massima stabilita con il decreto di cui al comma 894, finalizzati all'esdebitazione degli incapienti. I contributi di cui al primo periodo possono essere utilizzati anche per la copertura delle spese procedurali, comprese quelle per la remunerazione delle prestazioni professionali rese dall'organismo di composizione della crisi, e dei costi processuali.

894. Entro sessanta giorni dalla data di entrata in vigore della presente legge, con decreto del Ministro della giustizia, di concerto con il Ministro dell'economia e delle finanze, sono stabiliti i criteri e le modalità attuative per l'accesso al fondo di cui al comma 893, garantendo la trasparenza e il controllo sull'utilizzo delle risorse nonché il rispetto del limite di spesa previsto dal medesimo comma 893.

895. Agli oneri derivanti dai commi 893 e 894, pari a 0,5 milioni di euro per l'anno 2025, si provvede mediante corrispondente riduzione del Fondo di cui all'articolo 1, comma 200, della legge 23 dicembre 2014, n. 190, come rifinanziato ai sensi del comma 884 del presente articolo.

896. Il Fondo nazionale per il contrasto degli svantaggi derivanti dall'insularità, di cui all'articolo 1, comma 806, della legge 29 dicembre 2022, n. 197, è incrementato di 2 milioni di euro per l'anno 2025. Agli oneri derivanti dal presente comma, pari a 2 milioni di euro per l'anno 2025, si provvede mediante corrispondente riduzione del Fondo di cui all'articolo 1, comma 200, della legge 23 dicembre 2014, n. 190, come rifinanziato ai sensi del comma 884 del presente articolo.

897. La dotazione del fondo di cui all'articolo 77, comma 2-bis, del decreto-legge 25 maggio 2021, n. 73, convertito, con modificazioni, dalla legge 23 luglio 2021, n. 106, è incrementata di 0,9 milioni di euro per l'anno 2025. Agli oneri di cui al presente comma, pari a 0,9 milioni di euro per l'anno 2025, si provvede mediante corrispondente riduzione del Fondo di cui all'articolo 1, comma 200, della legge 23 dicembre 2014, n. 190, come rifinanziato ai sensi del comma 884 del presente articolo.

898. Nello stato di previsione del Ministero dell'economia e delle finanze è istituito un fondo da trasferire al bilancio autonomo della Presidenza del Consiglio dei ministri, con una dotazione di 31.967.000 euro per l'anno 2025, di 38.700.000 euro per l'anno 2026 e di 31.380.000 euro per l'anno 2027, finalizzato all'attuazione di misure in favore degli enti locali, alla realizzazione di interventi in materia sociale e socio-sanitaria assistenziale, di infrastrutture, di sport e di cultura da parte di associazioni, fondazioni ed enti operanti nel territorio, di recupero, conservazione e mantenimento del patrimonio storico, artistico e architettonico nonché all'attuazione di investimenti in materia di infrastrutture stradali, sportive, scolastiche, ospedaliere, di mobilità e di riqualificazione ambientale.

899. Nello stato di previsione del Ministero dell'economia e delle finanze è istituito un fondo da trasferire al bilancio autonomo della Presidenza del Consiglio dei ministri, con una dotazione di 150.000 euro per l'anno 2025 e di 600.000 euro per l'anno 2026, da trasferire alla provincia autonoma di Trento, finalizzato all'attuazione, da parte degli enti locali, di misure collegate alla sicurezza del territorio, alla conciliazione dei tempi di cura della famiglia e dei tempi di lavoro, all'acquisto di arredi per gli istituti scolastici di ogni ordine e grado nonché al recupero e al mantenimento del patrimonio storico, artistico e architettonico. La provincia autonoma di Trento è tenuta a trasmettere, entro il 31 gennaio successivo all'annualità di riferimento del contributo, una rendicontazione alla Presidenza del Consiglio dei ministri. La disposizione di cui al presente comma è approvata ai sensi e per gli effetti dell'articolo 104 del testo unico delle leggi costituzionali concernenti lo statuto speciale per il Trentino-Alto Adige, di cui al decreto del Presidente della Repubblica 31 agosto 1972, n. 670.

900. Con uno o più decreti del Presidente del Consiglio dei ministri, da adottare, di concerto con il Ministro dell'economia e delle finanze, entro trenta giorni dalla data di entrata in vigore della presente legge, si provvede all'assegnazione delle risorse dei fondi di cui ai commi 898 e 899 sulla base delle destinazioni previste con specifico atto di indirizzo delle Camere. I decreti di cui al primo periodo disciplinano i termini di utilizzo delle risorse, le modalità di monitoraggio e rendicontazione nonché di revoca nel caso di mancato utilizzo del contributo assegnato. Gli interventi di conto capitale oggetto di finanziamento devono essere identificati dal codice unico di progetto (CUP) e monitorati ai sensi del decreto legislativo 29 dicembre 2011, n. 229.

901. Agli oneri derivanti dai commi da 898 a 900, pari a 32.117.000 euro per l'anno 2025, a 39.300.000 per l'anno 2026 e a 31.380.000 euro per l'anno 2027, si provvede mediante corrispondente riduzione del Fondo di cui all'articolo 1, comma 200, della legge 23 dicembre 2014, n. 190, come rifinanziato ai sensi del comma 884 del presente articolo.

902. Al fine di incentivare la funzione sociale, civile ed educativa svolta nelle comunità locali, mediante le attività di oratorio o similari, dalle parrocchie, dalle associazioni del Terzo settore che operano presso gli oratori parrocchiali nonché dagli enti ecclesiastici della Chiesa cattolica e dagli enti delle altre confessioni religiose con le quali lo Stato ha stipulato un'intesa ai sensi dell'articolo 8, terzo comma, della Costituzione, ferme restando le competenze delle regioni e degli enti locali in materia, ai sensi della legge 1° agosto 2003, n. 206, nello stato di previsione del Ministero dell'economia e delle finanze è istituito il Fondo per il sostegno e la valorizzazione della funzione degli oratori, destinato alla realizzazione di programmi, azioni e interventi finalizzati alla diffusione dello sport e della solidarietà, alla promozione sociale, all'organizzazione di iniziative culturali nonché al contrasto dell'emarginazione sociale, della discriminazione razziale, del disagio e della devianza in ambito minorile, con una dotazione di 0,5 milioni di euro per ciascuno degli anni 2025, 2026 e 2027.

903. Le risorse del Fondo di cui al comma 902 sono destinate al finanziamento di:

a) interventi di sostegno alla formazione degli operatori che svolgono funzioni sociali ed educative per gli enti di cui al comma 902;

b) ricerche e sperimentazioni sulle attività e sulle metodologie di intervento di carattere innovativo;

c) iniziative e progetti educativi, anche interdiocesani, che perseguano in modo integrato finalità di istruzione, formazione e svolgimento di attività sportive, anche con riferimento alle attività scolastiche curriculari di educazione civica.

904. Con decreto del Ministro per lo sport e i giovani, di concerto con il Ministro dell'istruzione e del merito, il Ministro del lavoro e delle politiche sociali e il Ministro dell'economia e delle finanze, sono definite le modalità di assegnazione dei contributi per i progetti di cui al comma 902, prevedendo il finanziamento, nel limite di spesa autorizzato ai sensi del medesimo comma 902, di almeno un progetto per ciascuna regione, ove disponibile, ferma restando la possibilità di riassegnazione delle somme ad altri progetti, con modalità da definire con lo stesso decreto.

905. Per il finanziamento dei progetti di cui al comma 903, nell'esercizio delle proprie competenze, le regioni possono adottare misure integrative e complementari.

906. Agli oneri derivanti dai commi da 902 a 905, pari a 0,5 milioni di euro per ciascuno degli anni 2025, 2026 e 2027, si provvede mediante corrispondente riduzione del Fondo di cui all'articolo 1, comma 200, della legge 23 dicembre 2014, n. 190, come rifinanziato del comma 884 del presente articolo.

907. In relazione agli effetti finanziari conseguenti alle misure in materia fiscale di cui alla presente legge, nel caso di perdite di gettito delle regioni a statuto speciale e delle province autonome di Trento e di Bolzano, il Governo e le autonomie speciali promuovono entro il 30 aprile 2025 un'intesa ai sensi dell'articolo 23 della legge 9 agosto 2023, n. 111.

908. Le disposizioni della presente legge sono applicabili nelle regioni a statuto speciale e nelle province autonome di Trento e di Bolzano compatibilmente con i rispettivi statuti e le relative norme di attuazione, anche con riferimento alla legge costituzionale 18 ottobre 2001, n. 3.

PARTE II

SEZIONE II: APPROVAZIONE DEGLI STATI DI PREVISIONE

Art. 2.

(Stato di previsione dell'entrata)

1. L'ammontare delle entrate previste per l'anno finanziario 2025, relative a imposte, tasse, contributi di ogni specie e ogni altro provento, accertate, riscosse e versate nelle casse dello Stato, in virtù di leggi, decreti, regolamenti e di ogni altro titolo, risulta dall'annesso stato di previsione dell'entrata (Tabella n. 1).

Art. 3.

(Stato di previsione del Ministero dell'economia e delle finanze e disposizioni relative)

1. Sono autorizzati l'impegno e il pagamento delle spese del Ministero dell'economia e delle finanze, per l'anno finanziario 2025, in conformità all'annesso stato di previsione (Tabella n. 2).

2. L'importo massimo di emissione di titoli pubblici, in Italia e all'estero, al netto di quelli da rimborsare e di quelli per regolazioni debitorie, è stabilito in 145.000 milioni di euro per l'anno 2025, in 130.000 milioni di euro per l'anno 2026 e in 115.000 milioni di euro per l'anno 2027.

3. I limiti di cui all'articolo 6, comma 9, del decreto-legge 30 settembre 2003, n. 269, convertito, con modificazioni, dalla legge 24 novembre 2003, n. 326, concernente gli impegni assumibili dalla SACE Spa – Servizi assicurativi del commercio estero, sono fissati, per l'anno finanziario 2025, rispettivamente, in 7.000 milioni di euro per le garanzie di durata sino a ventiquattro mesi e in 67.000 milioni di euro per le garanzie di durata superiore a ventiquattro mesi.

4. La SACE Spa è altresì autorizzata, per l'anno finanziario 2025, a rilasciare garanzie e coperture assicurative relativamente alle attività di cui all'articolo 11-quinquies, comma 4, del decreto-legge 14 marzo 2005, n. 35, convertito, con modificazioni, dalla legge 14 maggio 2005, n. 80, entro una quota massima del 30 per cento di ciascuno dei limiti indicati al comma 3 del presente articolo.

5. Il limite cumulato di assunzione degli impegni da parte di SACE Spa e del Ministero dell'economia e delle finanze, per conto dello Stato, di cui all'articolo 6, comma 9-bis, del decreto-legge 30 settembre 2003, n. 269, convertito, con modificazioni, dalla legge 24 novembre 2003, n. 326, è fissato, per l'esercizio finanziario 2025, in 235.000 milioni di euro.

6. Il limite di cui all'articolo 64, comma 2, del decreto-legge 16 luglio 2020, n. 76, convertito, con modificazioni, dalla legge 11 settembre 2020, n. 120, è fissato, per l'anno 2025, in 1.000 milioni di euro.

7. Il limite di cui all'articolo 1, comma 267, della legge 30 dicembre 2023, n. 213, è fissato, per l'anno 2025, in 10.000 milioni di euro.

8. Per l'anno 2025, il limite massimo di impegni che il Fondo di garanzia per le piccole e medie imprese, di cui all'articolo 2, comma 100, lettera a), della legge 23 dicembre 1996, n. 662, può assumere è fissato in 160.000 milioni di euro, riferibili all'esposizione di garanzie in essere al 31 dicembre 2024 e all'ammontare di nuove garanzie concedibili nel corso dell'esercizio finanziario 2025.

9. Gli importi dei fondi previsti dagli articoli 26, 27, 28 e 29 della legge 31 dicembre 2009, n. 196, inseriti nel programma « Fondi di riserva e speciali », nell'ambito della missione « Fondi da ripartire », dello stato di previsione del Ministero dell'economia e delle finanze, sono stabiliti, per l'anno finanziario 2025, rispettivamente, in 900 milioni di euro, 1.260 milioni di euro, 1.561 milioni di euro, 750 milioni di euro e 9.000 milioni di euro.

10. Per gli effetti di cui all'articolo 26 della legge 31 dicembre 2009, n. 196, sono considerate spese obbligatorie, per l'anno finanziario 2025, quelle descritte nell'elenco n. 1, allegato allo stato di previsione del Ministero dell'economia e delle finanze.

11. Le spese per le quali può esercitarsi la facoltà prevista dall'articolo 28 della legge 31 dicembre 2009, n. 196, sono indicate, per l'anno finanziario 2025, nell'elenco n. 2, allegato allo stato di previsione del Ministero dell'economia e delle finanze.

12. Ai fini della compensazione sui fondi erogati per la mobilità sanitaria in attuazione dell'articolo 12, comma 3, lettera b), del decreto legislativo 30 dicembre 1992, n. 502, il Ragioniere generale dello Stato è autorizzato a provvedere, con propri decreti, alla riassegnazione al programma « Concorso dello Stato al finanziamento della spesa sanitaria », nell'ambito della missione « Relazioni finanziarie con le autonomie territoriali » dello stato di previsione del Ministero dell'economia e delle finanze per l'anno finanziario 2025, delle somme versate all'entrata del bilancio dello Stato dalle regioni e dalle province autonome di Trento e di Bolzano.

13. Il Ministro dell'economia e delle finanze è autorizzato a provvedere, con propri decreti, al trasferimento delle somme occorrenti per l'effettuazione delle elezioni politiche, amministrative e dei membri del Parlamento europeo spettanti all'Italia e per lo svolgimento dei referendum dal programma « Fondi da assegnare », nell'ambito della missione « Fondi da ripartire » dello stato di previsione del Ministero dell'economia e delle finanze per l'anno finanziario 2025, ai competenti programmi degli stati di previsione del medesimo Ministero dell'economia e delle finanze e dei Ministeri della giustizia, degli affari esteri e della cooperazione internazionale, dell'interno e della difesa, per lo stesso anno finanziario, per l'effettuazione di spese relative a competenze spettanti ai componenti dei seggi elettorali, a nomine dei presidenti di seggio e relativa notifica, a compensi per lavoro straordinario, a compensi agli estranei all'amministrazione, a missioni, a premi, a indennità e competenze varie spettanti alle Forze di polizia, a trasferte e trasporto delle Forze di polizia, a rimborsi per facilitazioni di viaggio agli elettori, a spese di ufficio, a spese telegrafiche e telefoniche, a fornitura di carta e stampa di schede, a manutenzione e acquisto di materiale elettorale, a servizio automobilistico e ad altre esigenze derivanti dall'effettuazione delle predette consultazioni elettorali.

14. Il Ministro dell'economia e delle finanze è autorizzato a trasferire, con propri decreti, per l'anno 2025, ai capitoli del titolo III (Rimborso di passività finanziarie) degli stati di previsione delle amministrazioni interessate le somme iscritte, per competenza e per cassa, nel programma « Rimborsi del debito statale », nell'ambito della missione « Debito pubblico » dello stato di previsione del Ministero dell'economia e delle finanze, in relazione agli oneri connessi alle operazioni di rimborso anticipato o di rinegoziazione dei mutui con onere a totale o parziale carico dello Stato.

15. Nell'elenco n. 5, allegato allo stato di previsione del Ministero dell'economia e delle finanze, sono indicate le spese per le quali si possono effettuare, per l'anno finanziario 2025, con decreti del Ragioniere generale dello Stato, prelevamenti dal fondo a disposizione, di cui all'articolo 9, comma 4, della legge 1° dicembre 1986, n. 831, iscritto nel programma « Prevenzione e repressione delle violazioni di natura economico-finanziaria », nell'ambito della missione « Politiche economico-finanziarie e di bilancio e tutela della finanza pubblica », nonché nel programma « Concorso della Guardia di Finanza alla sicurezza interna e esterna del Paese », nell'ambito della missione « Ordine pubblico e sicurezza » del medesimo stato di previsione.

16. Il numero massimo degli ufficiali ausiliari del Corpo della guardia di finanza di cui alla lettera c) del comma 1 dell'articolo 937 del codice dell'ordinamento militare, di cui al decreto legislativo 15 marzo 2010, n. 66, da mantenere in servizio nell'anno 2025, ai sensi dell'articolo 803 del medesimo codice, è stabilito in 70 unità.

17. Le somme iscritte nel bilancio autonomo della Presidenza del Consiglio dei ministri, assegnate dal Comitato interministeriale per la programmazione economica e lo sviluppo sostenibile con propria deliberazione alle amministrazioni interessate ai sensi dell'articolo 1, comma 7, della legge 17 maggio 1999, n. 144, per l'anno finanziario 2025, destinate alla costituzione di unità tecniche di supporto alla programmazione, alla valutazione e al monitoraggio degli investimenti pubblici, sono versate all'entrata del bilancio dello Stato per essere riassegnate, con decreti del Ragioniere generale dello Stato, negli stati di previsione delle amministrazioni medesime.

18. Il Ragioniere generale dello Stato è autorizzato a provvedere, con propri decreti, per l'anno finanziario 2025, alla riassegnazione ad apposito capitolo di spesa dello stato di previsione del Ministero dell'economia e delle finanze, nella misura stabilita con proprio decreto, delle somme versate, nell'ambito della voce « Entrate derivanti dal controllo e dalla repressione di irregolarità e illeciti » dello stato di previsione dell'entrata, dalla società Equitalia Giustizia Spa a titolo di utili relativi alla gestione finanziaria del fondo di cui all'articolo 61, comma 23, del decreto-legge 25 giugno 2008, n. 112, convertito, con modificazioni, dalla legge 6 agosto 2008, n. 133.

19. Il Ministro dell'economia e delle finanze, con propri decreti, provvede, nell'anno finanziario 2025, all'adeguamento degli stanziamenti dei capitoli destinati al pagamento dei premi e delle vincite dei giochi pronostici, delle scommesse e delle lotterie, in corrispondenza con l'effettivo andamento delle relative riscossioni.

20. Il Ragioniere generale dello Stato è autorizzato a provvedere, con propri decreti, alla riassegnazione al programma « Analisi, monitoraggio e controllo della finanza pubblica e politiche di bilancio », nell'ambito della missione « Politiche economico-finanziarie e di bilancio e tutela della finanza pubblica » dello stato di previsione del Ministero dell'economia e delle finanze per l'anno finanziario 2025, delle somme versate all'entrata del bilancio dello Stato relative alla gestione liquidatoria del Fondo gestione istituti contrattuali lavoratori portuali e alla gestione liquidatoria denominata « Particolari e straordinarie esigenze, anche di ordine pubblico, della città di Palermo ».

21. Il Ministro dell'economia e delle finanze è autorizzato ad effettuare, con propri decreti, variazioni compensative, in termini di competenza e di cassa, tra gli stanziamenti dei capitoli 2214 e 2223 dello stato di previsione del Ministero dell'economia e delle finanze per l'anno finanziario 2025, iscritti nel programma « Oneri per il servizio del debito statale » e tra gli stanziamenti dei capitoli 9502 e 9503 del medesimo stato di previsione, iscritti nel programma « Rimborsi del debito statale », al fine di provvedere alla copertura del fabbisogno di tesoreria derivante dalla contrazione di mutui ovvero da analoghe operazioni finanziarie, qualora tale modalità di finanziamento risulti più conveniente per la finanza pubblica rispetto all'emissione di titoli del debito pubblico.

22. Il Ragioniere generale dello Stato è autorizzato a provvedere, con propri decreti, alla riassegnazione ai pertinenti programmi dello stato di previsione del Ministero dell'economia e delle finanze, per l'anno finanziario 2025, delle somme versate all'entrata del bilancio dello Stato dal Comitato olimpico nazionale italiano (CONI), dalla società Sport e salute Spa, dal Comitato italiano paralimpico, dalle singole federazioni sportive nazionali, dalle regioni, dalle province, dai comuni e da altri enti pubblici e privati, destinate alle attività dei gruppi sportivi del Corpo della guardia di finanza e degli atleti paralimpici tesserati con la « Sezione paralimpica Fiamme Gialle ».

23. Con decreto del Ministro dell'economia e delle finanze possono essere apportate, per l'anno finanziario 2025, variazioni compensative, in termini di residui e cassa, con riferimento alle somme di parte capitale iscritte nello stato di previsione del Ministero dell'economia e delle finanze negli anni 2021 e seguenti, non utilizzate nel medesimo anno, relative alle missioni « Competitività e sviluppo delle imprese » e « Politiche economico-finanziarie e di bilancio e tutela della finanza pubblica », classificate nella categoria economica « Acquisizione di attività finanziarie – Acquisto azioni e altre partecipazioni ».

Art. 4.

(Stato di previsione del Ministero delle imprese e del made in Italy e disposizioni relative)

1. Sono autorizzati l'impegno e il pagamento delle spese del Ministero delle imprese e del made in Italy, per l'anno finanziario 2025, in conformità all'annesso stato di previsione (Tabella n. 3).

2. Le somme impegnate in relazione alle disposizioni di cui all'articolo 1 del decreto-legge 9 ottobre 1993, n. 410, convertito dalla legge 10 dicembre 1993, n. 513, recante interventi urgenti a sostegno dell'occupazione nelle aree di crisi siderurgica, resesi disponibili a seguito di provvedimenti di revoca, sono versate all'entrata del bilancio dello Stato per essere riassegnate, nell'anno finanziario 2025, con decreti del Ragioniere generale dello Stato, allo stato di previsione del Ministero delle imprese e del made in Italy, ai fini di cui al medesimo articolo 1 del decreto-legge n. 410 del 1993, convertito dalla legge n. 513 del 1993.

3. Gli importi dei versamenti effettuati con imputazione alle voci « Entrate da recuperi e rimborsi di spese », « Altre entrate extratributarie » e « Entrate da rimborso di anticipazioni e altri crediti finanziari dello Stato » dello stato di previsione dell'entrata sono correlativamente iscritti, in termini di competenza e di cassa, con decreti del Ragioniere generale dello Stato, negli appositi capitoli dei pertinenti programmi dello stato di previsione del Ministero delle imprese e del made in Italy, relativi al Fondo per la competitività e lo sviluppo e al Fondo rotativo per la crescita sostenibile.

Art. 5.

(Stato di previsione del Ministero del lavoro e delle politiche sociali e disposizioni relative)

1. Sono autorizzati l'impegno e il pagamento delle spese del Ministero del lavoro e delle politiche sociali, per l'anno finanziario 2025, in conformità all'annesso stato di previsione (Tabella n. 4).

2. Le risorse finanziarie derivanti dal bilancio di chiusura dell'Agenzia nazionale per le politiche attive del lavoro, di cui all'articolo 3, comma 3, del decreto-legge 22 giugno 2023, n. 75, convertito, con modificazioni, dalla legge 10 agosto 2023, n. 112, sono versate all'entrata del bilancio dello Stato per essere riassegnate con decreto del Ragioniere generale dello Stato, anche con profilo pluriennale, ai pertinenti capitoli dello stato di previsione del Ministero del lavoro e delle politiche sociali. Le eventuali risorse, cui non corrispondono obbligazioni giuridicamente vincolanti, sono acquisite all'erario.

Art. 6.

(Stato di previsione del Ministero della giustizia e disposizioni relative)

1. Sono autorizzati l'impegno e il pagamento delle spese del Ministero della giustizia, per l'anno finanziario 2025, in conformità all'annesso stato di previsione (Tabella n. 5).

2. Il Ragioniere generale dello Stato è autorizzato a provvedere, con propri decreti, alla riassegnazione, in termini di competenza e di cassa, delle somme versate dal CONI, dalla società Sport e salute Spa, dalle regioni, dalle province, dai comuni e da altri enti pubblici e privati all'entrata del bilancio dello Stato, relativamente alle spese per il mantenimento, per l'assistenza e per la rieducazione dei detenuti e internati, per gli interventi e gli investimenti finalizzati al miglioramento delle condizioni detentive e delle attività trattamentali, nonché per le attività sportive del personale del Corpo di polizia penitenziaria e dei detenuti e internati, nel programma « Amministrazione penitenziaria » e nel programma « Giustizia minorile e di comunità », nell'ambito della missione « Giustizia » dello stato di previsione del Ministero della giustizia per l'anno finanziario 2025.

3. Il Ragioniere generale dello Stato è autorizzato a provvedere, con propri decreti, alla riassegnazione, allo stato di previsione del Ministero della giustizia, delle somme versate ad apposito capitolo dell'entrata del bilancio dello Stato, a seguito di convenzioni stipulate dal Ministero medesimo con enti pubblici e privati, a decorrere dalla data di entrata in vigore della presente legge, ovvero derivanti da contributi, rimborsi e finanziamenti provenienti da organismi, anche internazionali, per la destinazione alle spese per il funzionamento degli uffici giudiziari e dei servizi, anche di natura informatica, forniti dai medesimi uffici nonché al potenziamento delle attività connesse alla cooperazione giudiziaria internazionale, nei programmi « Giustizia civile e penale » e « Servizi di gestione amministrativa per l'attività giudiziaria » nell'ambito della missione « Giustizia » dello stato di previsione del Ministero della giustizia per l'anno finanziario 2025.

Art. 7.

(Stato di previsione del Ministero degli affari esteri e della cooperazione internazionale e disposizioni relative)

1. Sono autorizzati l'impegno e il pagamento delle spese del Ministero degli affari esteri e della cooperazione internazionale, per l'anno finanziario 2025, in conformità all'annesso stato di previsione (Tabella n. 6).

2. Il Ministero degli affari esteri e della cooperazione internazionale è autorizzato ad effettuare, previe intese con il Ministero dell'economia e delle finanze, operazioni in valuta estera non convertibile pari alle disponibilità esistenti nei conti correnti valuta Tesoro costituiti presso le rappresentanze diplomatiche e gli uffici consolari, ai sensi dell'articolo 5 della legge 6 febbraio 1985, n. 15, e che risultino intrasferibili per effetto di norme o disposizioni locali. Il relativo controvalore in euro è acquisito all'entrata del bilancio dello Stato ed è contestualmente iscritto, con decreti del Ragioniere generale dello Stato, sulla base delle indicazioni del Ministero degli affari esteri e della cooperazione internazionale, nei pertinenti programmi dello stato di previsione del medesimo Ministero per l'anno finanziario 2025, per l'effettuazione di spese connesse alle esigenze di funzionamento, mantenimento ed acquisto delle sedi diplomatiche e consolari, degli istituti di cultura e delle scuole italiane all'estero. Il Ministero degli affari esteri e della cooperazione internazionale, per il medesimo anno, è altresì autorizzato ad effettuare, con le medesime modalità, operazioni in valuta estera pari alle disponibilità esistenti nei conti correnti valuta Tesoro in valute inconvertibili o intrasferibili individuate, ai fini delle operazioni di cui al presente comma, dal Dipartimento del tesoro del Ministero dell'economia e delle finanze su richiesta della competente Direzione generale del Ministero degli affari esteri e della cooperazione internazionale.

Art. 8.

(Stato di previsione del Ministero dell'istruzione e del merito e disposizioni relative)

1. Sono autorizzati l'impegno e il pagamento delle spese del Ministero dell'istruzione e del merito, per l'anno finanziario 2025, in conformità all'annesso stato di previsione (Tabella n. 7).

2. Il Ragioniere generale dello Stato è autorizzato a provvedere, con propri decreti, alla riassegnazione ai pertinenti programmi dello stato di previsione del Ministero dell'istruzione e del merito, per l'anno finanziario 2025, delle somme versate all'entrata del bilancio dello Stato dalla Presidenza del Consiglio dei ministri per realizzare azioni educative di prevenzione dell'uso di sostanze stupefacenti in età scolare.

Art. 9.

(Stato di previsione del Ministero dell'interno e disposizioni relative)

1. Sono autorizzati l'impegno e il pagamento delle spese del Ministero dell'interno, per l'anno finanziario 2025, in conformità all'annesso stato di previsione (Tabella n. 8).

2. Il Ragioniere generale dello Stato è autorizzato a provvedere, con propri decreti, alla riassegnazione ai pertinenti programmi dello stato di previsione del Ministero dell'interno, per l'anno finanziario 2025, delle somme versate all'entrata del bilancio dello Stato dal CONI, dalla società Sport e salute Spa, dal Comitato italiano paralimpico, dalle federazioni sportive nazionali, dalle regioni, dalle province, dai comuni e da altri enti pubblici e privati, destinate alle spese relative all'educazione fisica, all'attività sportiva e alla costruzione, al completamento e all'adattamento di infrastrutture sportive concernenti il Corpo nazionale dei vigili del fuoco.

3. Nell'elenco n. 1, annesso allo stato di previsione del Ministero dell'interno, sono indicate le spese per le quali si possono effettuare, per l'anno finanziario 2025, con decreti del Ragioniere generale dello Stato, prelevamenti dal fondo a disposizione per la Pubblica sicurezza, di cui all'articolo 1 della legge 12 dicembre 1969, n. 1001, iscritto nel programma « Contrasto al crimine, tutela dell'ordine e della sicurezza pubblica », nell'ambito della missione « Ordine pubblico e sicurezza » del medesimo stato di previsione.

4. Il Ministro dell'economia e delle finanze è autorizzato a trasferire, con propri decreti, su proposta del Ministro dell'interno, agli stati di previsione dei Ministeri interessati, per l'anno finanziario 2025, le risorse iscritte nel capitolo 2313, istituito nel programma « Flussi migratori, interventi per lo sviluppo della coesione sociale, garanzia dei diritti, rapporti con le confessioni religiose », nell'ambito della missione « Immigrazione, accoglienza e garanzia dei diritti » dello stato di previsione del Ministero dell'interno, e nel capitolo 2872, istituito nel programma « Pianificazione e coordinamento Forze di polizia », nell'ambito della missione « Ordine pubblico e sicurezza » del medesimo stato di previsione, in attuazione dell'articolo 1, comma 562, della legge 23 dicembre 2005, n. 266, dell'articolo 34 del decreto-legge 1° ottobre 2007, n. 159, convertito, con modificazioni, dalla legge 29 novembre 2007, n. 222, e delle disposizioni di cui all'articolo 2, comma 106, della legge 24 dicembre 2007, n. 244.

5. Il Ragioniere generale dello Stato è autorizzato a riassegnare, con propri decreti, nello stato di previsione del Ministero dell'interno, per l'anno finanziario 2025, i contributi relativi al rilascio e al rinnovo dei permessi di soggiorno, di cui all'articolo 5, comma 2-ter, del testo unico di cui al decreto legislativo 25 luglio 1998, n. 286, versati all'entrata del bilancio dello Stato e destinati, ai sensi dell'articolo 14-bis del medesimo testo unico, al Fondo rimpatri, finalizzato a finanziare le spese per il rimpatrio degli stranieri verso i Paesi di origine ovvero di provenienza.

6. Al fine di reperire le risorse occorrenti per il finanziamento dei programmi di rimpatrio volontario e assistito di cittadini di Paesi terzi verso il Paese di origine o di provenienza, ai sensi dell'articolo 14-ter del testo unico di cui al decreto legislativo 25 luglio 1998, n. 286, il Ministro dell'economia e delle finanze è autorizzato ad apportare, con propri decreti, su proposta del Ministro dell'interno, per l'anno finanziario 2025, le occorrenti variazioni compensative di bilancio, nello stato di previsione del Ministero dell'interno, anche tra missioni e programmi diversi.

7. Il Ministro dell'economia e delle finanze è autorizzato ad apportare, con propri decreti, per l'anno finanziario 2025, le variazioni compensative di bilancio tra i programmi di spesa dello stato di previsione del Ministero dell'interno « Elaborazione, quantificazione e assegnazione delle risorse finanziarie da attribuire agli enti locali » e « Gestione dell'albo dei segretari comunali e provinciali », in relazione alle minori o maggiori occorrenze connesse alla gestione dell'albo dei segretari provinciali e comunali necessarie ai sensi dell'articolo 7, comma 31-ter, del decreto-legge 31 maggio 2010, n. 78, convertito, con modificazioni, dalla legge 30 luglio 2010, n. 122, e dell'articolo 10 del decreto-legge 10 ottobre 2012, n. 174, convertito, con modificazioni, dalla legge 7 dicembre 2012, n. 213.

8. Al fine di consentire la corresponsione, nell'ambito del sistema di erogazione unificata, delle competenze accessorie dovute al personale della Polizia di Stato per i servizi resi nell'ambito delle convenzioni stipulate con le società di trasporto ferroviario, con la società Poste italiane Spa, con l'ANAS Spa e con l'Associazione italiana società concessionarie autostrade e trafori, il Ministro dell'interno è autorizzato ad apportare, con propri decreti, previo assenso del Ministero dell'economia e delle finanze – Dipartimento della Ragioneria generale dello Stato, le occorrenti variazioni compensative di bilancio delle risorse iscritte sul capitolo 2502, istituito nel programma « Contrasto al crimine, tutela dell'ordine e della sicurezza pubblica », della missione « Ordine pubblico e sicurezza », sui pertinenti capitoli dello stato di previsione del Ministero dell'interno.

9. Al fine di consentire il pagamento dei compensi per lavoro straordinario, si applicano al personale dell'Amministrazione civile dell'interno, nelle more del perfezionamento del decreto del Ministro dell'interno di cui all'articolo 43, tredicesimo comma, della legge 1° aprile 1981, n. 121, i limiti massimi stabiliti dal decreto adottato, ai sensi del medesimo articolo, per l'anno 2024.

10. Per l'attuazione dell'articolo 1, comma 767, della legge 30 dicembre 2018, n. 145, per l'esercizio finanziario 2025, il Ministro dell'economia e delle finanze è autorizzato ad apportare, con propri decreti, le occorrenti variazioni di bilancio, anche in conto residui.

11. Al fine di consentire la corresponsione, nell'ambito del sistema di erogazione unificata, delle competenze accessorie dovute al personale del Corpo nazionale dei vigili del fuoco per le attività di vigilanza di cui all'articolo 13, comma 1, del decreto legislativo 9 aprile 2008, n. 81, e per quelle relative alla formazione del personale di cui all'articolo 43 del medesimo decreto legislativo, mediante le proprie strutture operative, tecniche e didattiche e avvalendosi del personale addetto, il Ministro dell'interno è autorizzato ad apportare, con propri decreti, previo assenso del Ministero dell'economia e delle finanze – Dipartimento della Ragioneria generale dello Stato, le occorrenti variazioni compensative di bilancio delle risorse iscritte sul capitolo 1806, istituito nel programma « Prevenzione dal rischio e soccorso pubblico », della missione « Soccorso civile », sui pertinenti capitoli dello stato di previsione del Ministero dell'interno.

12. Il Ministro dell'economia e delle finanze è autorizzato a trasferire, con propri decreti, su proposta del Ministro dell'interno, agli stati di previsione dei Ministeri interessati, per l'anno finanziario 2025, le risorse iscritte nel capitolo 2501, piano gestionale 21, istituito nel programma « Contrasto al crimine, tutela dell'ordine e della sicurezza pubblica », nell'ambito della missione « Ordine pubblico e sicurezza » dello stato di previsione del Ministero dell'interno, unitamente ai corrispondenti oneri riflessi, in attuazione dell'articolo 1808, comma 1, del codice di cui al decreto legislativo 15 marzo 2010, n. 66.

Art. 10.

(Stato di previsione del Ministero dell'ambiente e della sicurezza energetica)

1. Sono autorizzati l'impegno e il pagamento delle spese del Ministero dell'ambiente e della sicurezza energetica, per l'anno finanziario 2025, in conformità all'annesso stato di previsione (Tabella n. 9).

Art. 11.

(Stato di previsione del Ministero delle infrastrutture e dei trasporti e disposizioni relative)

1. Sono autorizzati l'impegno e il pagamento delle spese del Ministero delle infrastrutture e dei trasporti, per l'anno finanziario 2025, in conformità all'annesso stato di previsione (Tabella n. 10).

2. Il numero massimo degli ufficiali ausiliari del Corpo delle capitanerie di porto da mantenere in servizio come forza media nell'anno 2025, ai sensi dell'articolo 803 del codice di cui al decreto legislativo 15 marzo 2010, n. 66, è stabilito come segue: 245 ufficiali in ferma prefissata o in rafferma, di cui alla lettera c) del comma 1 dell'articolo 937 del codice di cui al decreto legislativo n. 66 del 2010; 35 ufficiali piloti di complemento, di cui alla lettera b) del comma 1 dell'articolo 937 del codice di cui al decreto legislativo n. 66 del 2010; 6 ufficiali delle forze di completamento, di cui alla lettera d) del comma 1 dell'articolo 937 del codice di cui al decreto legislativo n. 66 del 2010.

3. Il numero massimo degli allievi del Corpo delle capitanerie di porto da mantenere alla frequenza dei corsi presso l'Accademia navale e le Scuole sottufficiali della Marina militare di cui alle lettere b) e b-bis) del comma 1 dell'articolo 803 del codice di cui al decreto legislativo 15 marzo 2010, n. 66, è fissato, per l'anno 2025, in 136 unità.

4. Nell'elenco n. 1 annesso allo stato di previsione del Ministero delle infrastrutture e dei trasporti, riguardante il Corpo delle capitanerie di porto, sono descritte le spese per le quali possono effettuarsi, per l'anno finanziario 2025, con decreti del Ragioniere generale dello Stato, i prelevamenti dal fondo a disposizione iscritto nel programma « Sicurezza e controllo nei mari, nei porti e sulle coste », nell'ambito della missione « Ordine pubblico e sicurezza » del medesimo stato di previsione.

5. Ai sensi dell'articolo 7 del regolamento di amministrazione del Corpo delle capitanerie di porto – Guardia costiera, di cui al decreto del Ministro delle infrastrutture e della mobilità sostenibili 5 ottobre 2022, n. 181, i fondi di qualsiasi provenienza possono essere versati in conto corrente postale o bancario intestato all'ente, distaccamento o reparto di cui all'articolo 2 del medesimo regolamento.

6. Le disposizioni legislative e regolamentari in vigore presso il Ministero della difesa si applicano, in quanto compatibili, alla gestione dei fondi, delle infrastrutture e dei mezzi di pertinenza delle Capitanerie di porto.

7. Il Ragioniere generale dello Stato è autorizzato a riassegnare allo stato di previsione del Ministero delle infrastrutture e dei trasporti, per l'anno finanziario 2025, quota parte delle entrate versate al bilancio dello Stato derivanti dai corrispettivi di concessione offerti in sede di gara per il riaffidamento delle concessioni autostradali nella misura necessaria alla definizione delle eventuali pendenze con i concessionari uscenti.

Art. 12.

(Stato di previsione del Ministero dell'università e della ricerca)

1. Sono autorizzati l'impegno e il pagamento delle spese del Ministero dell'università e della ricerca, per l'anno finanziario 2025, in conformità all'annesso stato di previsione (Tabella n. 11).

Art. 13.

(Stato di previsione del Ministero della difesa e disposizioni relative)

1. Sono autorizzati l'impegno e il pagamento delle spese del Ministero della difesa, per l'anno finanziario 2025, in conformità all'annesso stato di previsione (Tabella n. 12).

2. Il numero massimo degli ufficiali ausiliari da mantenere in servizio come forza media nell'anno 2025, ai sensi dell'articolo 803 del codice di cui al decreto legislativo 15 marzo 2010, n. 66, è stabilito come segue:

a) ufficiali ausiliari, di cui alle lettere a) e c) del comma 1 dell'articolo 937 del codice di cui al decreto legislativo n. 66 del 2010:

1) Esercito n. 112;

2) Marina n. 97;

3) Aeronautica n. 75;

4) Carabinieri n. 0;

b) ufficiali ausiliari piloti di complemento, di cui alla lettera b) del comma 1 dell'articolo 937 del codice di cui al decreto legislativo n. 66 del 2010:

1) Esercito n. 0;

2) Marina n. 44;

3) Aeronautica n. 67;

c) ufficiali ausiliari delle forze di completamento, di cui alla lettera d) del comma 1 dell'articolo 937 del codice di cui al decreto legislativo n. 66 del 2010:

1) Esercito n. 112;

2) Marina n. 75;

3) Aeronautica n. 40;

4) Carabinieri n. 200.

3. La consistenza organica degli allievi ufficiali delle accademie delle Forze armate, compresa l'Arma dei carabinieri, di cui alla lettera b) del comma 1 dell'articolo 803 del codice di cui al decreto legislativo 15 marzo 2010, n. 66, è fissata, per l'anno 2025, come segue:

1) Esercito n. 322;

2) Marina n. 393;

3) Aeronautica n. 371;

4) Carabinieri n. 130.

4. La consistenza organica degli allievi delle scuole sottufficiali delle Forze armate, esclusa l'Arma dei carabinieri, di cui alla lettera b-bis) del comma 1 dell'articolo 803 del codice di cui al decreto legislativo 15 marzo 2010, n. 66, è stabilita, per l'anno 2025, come segue:

1) Esercito n. 277;

2) Marina n. 380;

3) Aeronautica n. 600.

5. La consistenza organica degli allievi delle scuole militari, di cui alla lettera b-ter) del comma 1 dell'articolo 803 del codice di cui al decreto legislativo 15 marzo 2010, n. 66, è stabilita, per l'anno 2025, come segue:

1) Esercito n. 480;

2) Marina n. 200;

3) Aeronautica n. 120.

6. Alle spese per le infrastrutture multinazionali dell'Alleanza atlantica (NATO), sostenute a carico del programma « Servizi ed affari generali per le amministrazioni di competenza », nell'ambito della missione « Servizi istituzionali e generali delle amministrazioni pubbliche », e dei programmi « Approntamento e impiego Carabinieri per la difesa e la sicurezza » e « Pianificazione generale delle Forze Armate e approvvigionamenti militari », nell'ambito della missione « Difesa e sicurezza del territorio » dello stato di previsione del Ministero della difesa, per l'anno finanziario 2025, si applicano le direttive che definiscono le procedure di negoziazione ammesse dalla NATO in materia di affidamento dei lavori.

7. Negli elenchi n. 1 e n. 2 allegati allo stato di previsione del Ministero della difesa sono descritte le spese per le quali si possono effettuare, per l'anno finanziario 2025, con decreti del Ragioniere generale dello Stato, i prelevamenti dai fondi a disposizione relativi rispettivamente alle tre Forze armate e all'Arma dei carabinieri, ai sensi dell'articolo 613 del codice di cui al decreto legislativo 15 marzo 2010, n. 66.

8. Il Ragioniere generale dello Stato è autorizzato a provvedere, con propri decreti, alla riassegnazione ai pertinenti programmi dello stato di previsione del Ministero della difesa, per l'anno finanziario 2025, delle somme versate all'entrata del bilancio dello Stato dal CONI, dalla società Sport e salute Spa, dal Comitato italiano paralimpico, dalle federazioni sportive nazionali, dalle regioni, dalle province, dai comuni e da altri enti pubblici e privati, destinate alle attività dei gruppi sportivi delle Forze armate.

9. Il Ragioniere generale dello Stato è autorizzato a provvedere, con propri decreti, alla riassegnazione ai pertinenti capitoli del programma « Approntamento e impiego Carabinieri per la difesa e la sicurezza », nell'ambito della missione « Difesa e sicurezza del territorio » dello stato di previsione del Ministero della difesa, per l'anno finanziario 2025, delle somme versate all'entrata del bilancio dello Stato dalla Banca d'Italia per i servizi di vigilanza e custodia resi presso le sue sedi dal personale dell'Arma dei carabinieri.

10. Il Ministro della difesa, sentito il Ministro dell'economia e delle finanze per gli aspetti finanziari, è autorizzato a ripartire, con propri decreti, le somme iscritte nell'anno 2025 nel pertinente capitolo dello stato di previsione del Ministero della difesa da destinare alle associazioni combattentistiche, di cui all'articolo 2195 del codice di cui al decreto legislativo 15 marzo 2010, n. 66.

11. Il Ministro dell'economia e delle finanze è autorizzato ad apportare, con propri decreti, su proposta del Ministro della difesa, per l'anno finanziario 2025, le variazioni compensative, in termini di competenza e di cassa, tra il fondo per l'efficienza dei servizi istituzionali delle Forze armate e il fondo per la retribuzione della produttività del personale civile dello stato di previsione del Ministero della difesa in applicazione dell'articolo 1805-bis del codice di cui al decreto legislativo 15 marzo 2010, n. 66.

12. Il Ministro della difesa è autorizzato, per l'anno finanziario 2025, ad apportare, con propri decreti, previo assenso del Ministero dell'economia e delle finanze – Dipartimento della Ragioneria generale dello Stato, variazioni compensative, in termini di competenza e di cassa, tra i capitoli di spesa dello stato di previsione del medesimo Ministero relativi ai fondi scorta di cui all'articolo 7-ter del decreto legislativo 12 maggio 2016, n. 90. Il Ministero della difesa, con proprie determinazioni, assicura l'integrale versamento, nel medesimo esercizio, degli importi iscritti nelle unità elementari di bilancio dello stato di previsione dell'entrata, di cui al comma 4 del predetto articolo 7-ter del decreto legislativo n. 90 del 2016.

13. Il Ragioniere generale dello Stato è autorizzato a provvedere, con propri decreti, alla riassegnazione, allo stato di previsione del Ministero della difesa, per l'anno finanziario 2025, delle somme versate all'entrata del bilancio dello Stato dalle istituzioni dell'Unione europea, concernenti le misure di assistenza supplementari connesse allo strumento europeo per la pace (EPF) tese a sostenere ulteriormente le capacità e la resilienza delle forze armate ucraine.

Art. 14.

(Stato di previsione del Ministero dell'agricoltura, della sovranità alimentare e delle foreste e disposizioni relative)

1. Sono autorizzati l'impegno e il pagamento delle spese del Ministero dell'agricoltura, della sovranità alimentare e delle foreste, per l'anno finanziario 2025, in conformità all'annesso stato di previsione (Tabella n. 13).

2. Per l'attuazione del decreto legislativo 26 maggio 2004, n. 154, e del decreto legislativo 27 maggio 2005, n. 100, il Ministro dell'economia e delle finanze è autorizzato ad apportare, con propri decreti, nell'ambito della parte corrente e nell'ambito del conto capitale dello stato di previsione del Ministero dell'agricoltura, della sovranità alimentare e delle foreste, per l'anno finanziario 2025, le variazioni compensative di bilancio, in termini di competenza e di cassa, occorrenti per la modifica della ripartizione delle risorse tra i vari settori d'intervento del Programma nazionale della pesca e dell'acquacoltura.

3. Il Ministro dell'agricoltura, della sovranità alimentare e delle foreste è autorizzato, per l'anno finanziario 2025, a provvedere con propri decreti, previo assenso del Ministero dell'economia e delle finanze – Dipartimento della Ragioneria generale dello Stato, al riparto del fondo per il funzionamento del Comitato tecnico faunistico-venatorio nazionale, per la partecipazione italiana al Consiglio internazionale della caccia e della conservazione della selvaggina e per la dotazione delle associazioni venatorie nazionali riconosciute, di cui all'articolo 24, comma 1, della legge 11 febbraio 1992, n. 157, tra i competenti capitoli dello stato di previsione del Ministero dell'agricoltura, della sovranità alimentare e delle foreste, secondo le percentuali indicate all'articolo 24, comma 2, della citata legge n. 157 del 1992.

4. Per l'anno finanziario 2025, il Ministro dell'economia e delle finanze è autorizzato ad apportare, con propri decreti, nello stato di previsione del Ministero dell'agricoltura, della sovranità alimentare e delle foreste, le variazioni compensative di bilancio, in termini di competenza e di cassa, occorrenti per l'attuazione di quanto stabilito dagli articoli 12 e 23-quater del decreto-legge 6 luglio 2012, n. 95, convertito, con modificazioni, dalla legge 7 agosto 2012, n. 135, in ordine alla soppressione e alla riorganizzazione di enti vigilati dal medesimo Ministero.

5. Il Ministro dell'economia e delle finanze è autorizzato a ripartire, con propri decreti, per l'anno finanziario 2025, tra i pertinenti programmi dello stato di previsione del Ministero dell'agricoltura, della sovranità alimentare e delle foreste, le somme iscritte, in termini di residui, di competenza e di cassa, nel capitolo 7810 « Somme da ripartire per assicurare la continuità degli interventi pubblici nel settore agricolo e forestale », istituito nel programma « Politiche competitive, della qualità agroalimentare, della pesca, dell'ippica e mezzi tecnici di produzione », nell'ambito della missione « Agricoltura, politiche agroalimentari e pesca » del medesimo stato di previsione, destinato alle finalità di cui alla legge 23 dicembre 1999, n. 499, recante razionalizzazione degli interventi nei settori agricolo, agroalimentare, agroindustriale e forestale.

6. Il Ragioniere generale dello Stato è autorizzato a provvedere, con propri decreti, alla riassegnazione, ai pertinenti programmi dello stato di previsione del Ministero dell'agricoltura, della sovranità alimentare e delle foreste, per l'anno finanziario 2025, delle somme versate all'entrata del bilancio dello Stato da amministrazioni ed enti pubblici in virtù di accordi di programma, convenzioni e intese per il raggiungimento di finalità comuni in materia di telelavoro e altre forme di lavoro a distanza, ai sensi dell'articolo 4 della legge 16 giugno 1998, n. 191, dell'articolo 3 del regolamento di cui al decreto del Presidente della Repubblica 8 marzo 1999, n. 70, nonché di progetti di cooperazione internazionale ai sensi dell'articolo 24 della legge 11 agosto 2014, n. 125, e dell'articolo 15 della legge 7 agosto 1990, n. 241.

Art. 15.

(Stato di previsione del Ministero della cultura e disposizioni relative)

1. Sono autorizzati l'impegno e il pagamento delle spese del Ministero della cultura, per l'anno finanziario 2025, in conformità all'annesso stato di previsione (Tabella n. 14).

2. Il Ministro dell'economia e delle finanze è autorizzato ad apportare, con propri decreti, su proposta del Ministro della cultura, per l'anno finanziario 2025, le variazioni compensative di bilancio, in termini di residui, di competenza e di cassa, tra i capitoli iscritti nel programma « Sostegno, valorizzazione e tutela del settore dello spettacolo dal vivo », nell'ambito della missione « Tutela e valorizzazione dei beni e attività culturali e paesaggistici » dello stato di previsione del Ministero della cultura, relativi al Fondo nazionale per lo spettacolo dal vivo.

3. Ai fini di una razionale utilizzazione delle risorse di bilancio, per l'anno finanziario 2025, il Ministro dell'economia e delle finanze è autorizzato ad apportare, con propri decreti, adottati su proposta del Ministro della cultura, comunicati alle competenti Commissioni parlamentari e trasmessi alla Corte dei conti per la registrazione, le occorrenti variazioni compensative di bilancio, in termini di competenza e di cassa, tra i capitoli iscritti nei pertinenti programmi dello stato di previsione del Ministero della cultura, relativi agli acquisti e alle espropriazioni per pubblica utilità, nonché per l'esercizio del diritto di prelazione da parte dello Stato su immobili di interesse archeologico e monumentale e su cose di arte antica, medievale, moderna e contemporanea e di interesse artistico e storico, nonché su materiale archivistico pregevole e materiale bibliografico, raccolte bibliografiche, libri, documenti, manoscritti e pubblicazioni periodiche, ivi comprese le spese derivanti dall'esercizio del diritto di prelazione, del diritto di acquisto delle cose denunciate per l'esportazione e dell'espropriazione, a norma di legge, di materiale bibliografico prezioso e raro.

4. Al pagamento delle retribuzioni delle operazioni e dei servizi svolti in attuazione del piano nazionale straordinario di valorizzazione degli istituti e dei luoghi della cultura dal relativo personale si provvede mediante ordini collettivi di pagamento con il sistema denominato « cedolino unico », ai sensi dell'articolo 2, comma 197, della legge 23 dicembre 2009, n. 191. A tal fine il Ministro dell'economia e delle finanze è autorizzato ad apportare, per l'anno finanziario 2025, con propri decreti, su proposta del Ministro della cultura, le variazioni compensative di bilancio in termini di competenza e di cassa, su appositi piani gestionali dei capitoli relativi alle competenze accessorie del personale.

Art. 16.

(Stato di previsione del Ministero della salute e disposizioni relative)

1. Sono autorizzati l'impegno e il pagamento delle spese del Ministero della salute, per l'anno finanziario 2025, in conformità all'annesso stato di previsione (Tabella n. 15).

2. Per l'anno finanziario 2025, il Ministro dell'economia e delle finanze è autorizzato ad apportare, con propri decreti, su proposta del Ministro della salute, variazioni compensative, in termini di competenza e di cassa, tra gli stanziamenti alimentati dal riparto della quota di cui all'articolo 12, comma 2, del decreto legislativo 30 dicembre 1992, n. 502, iscritti in bilancio nell'ambito della missione « Ricerca e innovazione » dello stato di previsione del Ministero della salute, restando precluso l'utilizzo degli stanziamenti di conto capitale per finanziare spese correnti.

Art. 17.

(Stato di previsione del Ministero del turismo)

1. Sono autorizzati l'impegno e il pagamento delle spese del Ministero del turismo, per l'anno finanziario 2025, in conformità all'annesso stato di previsione (Tabella n. 16).

Art. 18.

(Totale generale della spesa)

1. Sono approvati, rispettivamente, in euro 1.199.544.721.805, in euro 1.231.207.911.635 e in euro 1.199.854.020.231 in termini di competenza, nonché in euro 1.219.231.272.769, in euro 1.247.026.020.764 e in euro 1.207.064.232.525 in termini di cassa, i totali generali della spesa dello Stato per il triennio 2025-2027.

Art. 19.

(Quadro generale riassuntivo)

1. È approvato, in termini di competenza e di cassa, per il triennio 2025-2027, il quadro generale riassuntivo del bilancio dello Stato, con le tabelle allegate.

Art. 20.

(Disposizioni diverse)

1. In relazione all'accertamento dei residui di entrata e di spesa per i quali non esistono nel bilancio di previsione i corrispondenti capitoli nell'ambito dei programmi interessati, il Ministro dell'economia e delle finanze è autorizzato ad istituire gli occorrenti capitoli nei pertinenti programmi con propri decreti da comunicare alla Corte dei conti.

2. Il Ministro dell'economia e delle finanze è autorizzato a trasferire, in termini di competenza e di cassa, con propri decreti, su proposta dei Ministri interessati, per l'anno finanziario 2025, le disponibilità esistenti in altri programmi degli stati di previsione delle amministrazioni competenti a favore di appositi programmi destinati all'attuazione di interventi cofinanziati dall'Unione europea.

3. In relazione ai provvedimenti di riorganizzazione delle amministrazioni pubbliche, il Ministro dell'economia e delle finanze, per l'anno finanziario 2025, è autorizzato ad apportare, con propri decreti, adottati su proposta dei Ministri competenti e comunicati alle Commissioni parlamentari competenti, le variazioni compensative di bilancio, anche tra diversi stati di previsione, in termini di residui, di competenza e di cassa, ivi comprese l'istituzione, la modifica e la soppressione di missioni e programmi, che si rendano necessarie in relazione all'accorpamento di funzioni o al trasferimento di competenze.

4. Il Ministro dell'economia e delle finanze è autorizzato ad apportare, con propri decreti, per l'anno finanziario 2025, le variazioni di bilancio connesse con l'attuazione dei contratti collettivi nazionali di lavoro del personale dipendente dalle amministrazioni dello Stato, stipulati ai sensi dell'articolo 40 del decreto legislativo 30 marzo 2001, n. 165, nonché degli accordi sindacali e dei provvedimenti di concertazione, adottati ai sensi dell'articolo 2 del decreto legislativo 12 maggio 1995, n. 195, per quanto concerne il trattamento economico fondamentale e accessorio del personale interessato. Per l'attuazione di quanto previsto dal presente comma, le somme iscritte nel conto dei residui sul capitolo 3027 « Fondo da ripartire per l'attuazione dei contratti del personale delle amministrazioni statali, ivi compreso il personale militare e quello dei corpi di polizia » dello stato di previsione del Ministero dell'economia e delle finanze possono essere versate all'entrata del bilancio dello Stato.

5. Le risorse finanziarie relative ai fondi destinati all'incentivazione del personale civile dello Stato, delle Forze armate, del Corpo nazionale dei vigili del fuoco e dei Corpi di polizia nonché quelle per la corresponsione del trattamento economico accessorio del personale dirigenziale, non utilizzate alla chiusura dell'esercizio, sono conservate nel conto dei residui per essere utilizzate nell'esercizio successivo. Il Ministro dell'economia e delle finanze è autorizzato ad apportare, con propri decreti, per l'anno finanziario 2025, le variazioni di bilancio occorrenti per l'utilizzazione dei predetti fondi conservati.

6. Il Ministro dell'economia e delle finanze è autorizzato ad apportare, con propri decreti, nell'ambito degli stati di previsione di ciascun Ministero, per l'anno finanziario 2025, le variazioni compensative di bilancio tra i capitoli interessati al pagamento delle competenze fisse e accessorie mediante ordini collettivi di pagamento con il sistema denominato « cedolino unico », ai sensi dell'articolo 2, comma 197, della legge 23 dicembre 2009, n. 191.

7. Il Ragioniere generale dello Stato è autorizzato a provvedere, con propri decreti, alla riassegnazione, negli stati di previsione delle amministrazioni statali interessate, per l'anno finanziario 2025, delle somme rimborsate dalla Commissione europea per spese sostenute dalle amministrazioni medesime a carico dei pertinenti programmi dei rispettivi stati di previsione, affluite al fondo di rotazione di cui all'articolo 5 della legge 16 aprile 1987, n. 183, e successivamente versate all'entrata del bilancio dello Stato.

8. Il Ragioniere generale dello Stato è autorizzato a provvedere, con propri decreti, alla riassegnazione negli stati di previsione delle amministrazioni interessate, per l'anno finanziario 2025, delle somme versate all'entrata del bilancio dello Stato dalle istituzioni dell'Unione europea per il rimborso delle spese di missione presso gli organismi dell'Unione europea nei riguardi del personale in servizio presso le amministrazioni dello Stato, sostenute dalle amministrazioni medesime a carico dei pertinenti programmi dei rispettivi stati di previsione.

9. Il Ministro dell'economia e delle finanze è autorizzato ad apportare, con propri decreti, negli stati di previsione delle amministrazioni interessate, per l'anno finanziario 2025, le variazioni di bilancio occorrenti per l'attuazione dei decreti del Presidente del Consiglio dei ministri emanati ai sensi dell'articolo 7 della legge 15 marzo 1997, n. 59, e dei decreti legislativi concernenti il conferimento di funzioni e compiti amministrativi dello Stato alle regioni e agli enti locali, in attuazione del capo I della medesima legge n. 59 del 1997.

10. Il Ministro dell'economia e delle finanze è autorizzato ad apportare, con propri decreti, nei pertinenti programmi degli stati di previsione delle amministrazioni interessate, per l'anno finanziario 2025, le variazioni di bilancio occorrenti per l'applicazione del decreto legislativo 18 febbraio 2000, n. 56, concernente disposizioni in materia di federalismo fiscale.

11. Il Ragioniere generale dello Stato è autorizzato a provvedere, con propri decreti, alla riassegnazione negli stati di previsione delle amministrazioni interessate, per l'anno finanziario 2025, delle somme versate all'entrata a titolo di contribuzione alle spese di gestione degli asili nido istituiti presso le amministrazioni statali ai sensi dell'articolo 70, comma 5, della legge 28 dicembre 2001, n. 448, nonché di quelle versate a titolo di contribuzione alle spese di gestione di servizi e iniziative finalizzati al benessere del personale.

12. Il Ministro dell'economia e delle finanze è autorizzato ad apportare, con propri decreti, negli stati di previsione delle amministrazioni interessate, per l'anno finanziario 2025, le variazioni di bilancio compensative occorrenti per l'attuazione dell'articolo 14, comma 2, del decreto-legge 31 maggio 2010, n. 78, convertito, con modificazioni, dalla legge 30 luglio 2010, n. 122.

13. In attuazione dell'articolo 30, comma 4, della legge 31 dicembre 2009, n. 196, il Ministro dell'economia e delle finanze è autorizzato ad apportare, con propri decreti, per l'anno finanziario 2025, le variazioni compensative, in termini di competenza e di cassa, tra gli stanziamenti dei capitoli degli stati di previsione dei Ministeri, delle spese per interessi passivi e per rimborso di passività finanziarie relative ad operazioni di mutui il cui onere di ammortamento è posto a carico dello Stato.

14. Il Ministro dell'economia e delle finanze è autorizzato ad apportare, con propri decreti, negli stati di previsione delle amministrazioni interessate, per l'anno finanziario 2025, le variazioni di bilancio compensative occorrenti in relazione alle riduzioni dei trasferimenti agli enti territoriali, disposte ai sensi dell'articolo 16, comma 2, del decreto-legge 6 luglio 2012, n. 95, convertito, con modificazioni, dalla legge 7 agosto 2012, n. 135.

15. Il Ragioniere generale dello Stato è autorizzato a riassegnare, per l'anno finanziario 2025, con propri decreti, negli stati di previsione delle amministrazioni competenti per materia, che subentrano, ai sensi della normativa vigente, nella gestione delle residue attività liquidatorie degli organismi ed enti vigilati dallo Stato, sottoposti a liquidazione coatta amministrativa in base all'articolo 12, comma 40, del decreto-legge 6 luglio 2012, n. 95, convertito, con modificazioni, dalla legge 7 agosto 2012, n. 135, le somme, residuali al 31 dicembre 2024, versate all'entrata del bilancio dello Stato dai commissari liquidatori cessati dall'incarico.

16. Le somme stanziate sul capitolo 2295 dello stato di previsione del Ministero dell'agricoltura, della sovranità alimentare e delle foreste, destinate agli interventi già di competenza della soppressa Agenzia per lo sviluppo del settore ippico, per il finanziamento del monte premi delle corse, in caso di mancata adozione del decreto previsto dall'articolo 1, comma 281, della legge 30 dicembre 2004, n. 311, o, comunque, nelle more dell'emanazione dello stesso, costituiscono determinazione della quota parte delle entrate erariali ed extraerariali derivanti da giochi pubblici con vincita in denaro affidati in concessione allo Stato ai sensi del comma 282 del medesimo articolo 1 della citata legge n. 311 del 2004.

17. Il Ministro dell'economia e delle finanze è autorizzato ad apportare, con propri decreti, negli stati di previsione delle amministrazioni interessate, per l'anno finanziario 2025, le variazioni di bilancio occorrenti per la riduzione degli stanziamenti dei capitoli relativi alle spese correnti per l'acquisto di beni e servizi in applicazione di quanto disposto dall'articolo 2, comma 222-quater, della legge 23 dicembre 2009, n. 191.

18. Per corrispondere alle eccezionali indifferibili esigenze di servizio, il Ministro dell'economia e delle finanze è autorizzato a ripartire tra le amministrazioni interessate, per l'anno finanziario 2025, le risorse iscritte nel fondo istituito ai sensi dell'articolo 3 della legge 22 luglio 1978, n. 385, nello stato di previsione del Ministero dell'economia e delle finanze, nell'ambito della missione « Fondi da ripartire », programma « Fondi da assegnare », capitolo 3026, sulla base delle assegnazioni disposte con l'apposito decreto del Presidente del Consiglio dei ministri. Tali assegnazioni tengono conto anche delle risorse finanziarie già iscritte nei pertinenti capitoli degli stati di previsione dei Ministeri interessati al fine di assicurare la tempestiva corresponsione delle somme dovute al personale e ammontanti al 50 per cento delle risorse complessivamente autorizzate per le medesime finalità nell'anno 2024. È autorizzata l'erogazione dei predetti compensi nelle more del perfezionamento del citato decreto del Presidente del Consiglio dei ministri e nei limiti ivi stabiliti per l'anno 2024.

19. Il Ministro dell'economia e delle finanze è autorizzato ad apportare, con propri decreti, su proposta dei Ministri competenti, per l'anno finanziario 2025, le variazioni compensative, anche tra programmi diversi del medesimo stato di previsione, in termini di residui, di competenza e di cassa, che si rendano necessarie nel caso di sentenze definitive anche relative ad esecuzione forzata nei confronti delle amministrazioni dello Stato.

20. In relazione al pagamento delle competenze accessorie mediante ordini collettivi di pagamento con il sistema denominato « cedolino unico », ai sensi dell'articolo 2, comma 197, della legge 23 dicembre 2009, n. 191, il Ministro dell'economia e delle finanze è autorizzato a ripartire, con propri decreti, su proposta del Ministro dell'interno, fra gli stati di previsione delle amministrazioni interessate, per l'anno finanziario 2025, i fondi iscritti nello stato di previsione del Ministero dell'interno, nell'ambito della missione « Ordine pubblico e sicurezza », programma « Servizio permanente dell'Arma dei Carabinieri per la tutela dell'ordine e la sicurezza pubblica » e programma « Pianificazione e coordinamento Forze di polizia », concernenti il trattamento accessorio del personale delle Forze di polizia e del personale alle dipendenze della Direzione investigativa antimafia. Nelle more del perfezionamento del decreto del Ministro dell'interno, di cui all'articolo 43, tredicesimo comma, della legge 1° aprile 1981, n. 121, al fine di consentire il tempestivo pagamento dei compensi per lavoro straordinario ai corpi di polizia, è autorizzata l'erogazione dei predetti compensi nei limiti stabiliti dal decreto adottato ai sensi del medesimo articolo 43, tredicesimo comma, per l'anno 2024.

21. In relazione al pagamento delle competenze fisse e accessorie mediante ordini collettivi di pagamento con il sistema denominato « cedolino unico », ai sensi dell'articolo 2, comma 197, della legge 23 dicembre 2009, n. 191, il Ragioniere generale dello Stato è autorizzato a riassegnare allo stato di previsione del Ministero della difesa, per l'anno finanziario 2025, le somme versate in entrata concernenti le competenze fisse e accessorie del personale dell'Arma dei carabinieri in forza extraorganica presso le altre amministrazioni.

22. Il Ministro dell'economia e delle finanze è autorizzato ad apportare, con propri decreti, su proposta del Ministro dell'interno, per l'anno finanziario 2025, le variazioni compensative, negli stati di previsione delle amministrazioni interessate, tra le spese per la manutenzione dei beni acquistati nell'ambito delle dotazioni tecniche e logistiche per le esigenze delle sezioni di polizia giudiziaria, iscritte nell'ambito della missione « Ordine pubblico e sicurezza », programma « Contrasto al crimine, tutela dell'ordine e della sicurezza pubblica », dello stato di previsione del Ministero dell'interno.

23. Ai fini dell'attuazione del programma di interventi previsto dall'articolo 5, commi 2 e 8-bis, del decreto legislativo 4 luglio 2014, n. 102, finanziato ai sensi del comma 12 del medesimo articolo, il Ministro dell'economia e delle finanze è autorizzato ad apportare, con propri decreti, su proposta del Ministro dell'ambiente e della sicurezza energetica, per l'anno finanziario 2025, variazioni compensative, in termini di residui, di competenza e di cassa, tra i capitoli dello stato di previsione del Ministero dell'ambiente e della sicurezza energetica relativi all'attuazione del citato programma di interventi e i correlati capitoli degli stati di previsione del Ministero dell'economia e delle finanze, del Ministero della difesa e del Ministero delle infrastrutture e dei trasporti.

24. Il Ragioniere generale dello Stato è autorizzato a provvedere, con propri decreti, alla riassegnazione negli stati di previsione delle amministrazioni interessate, per l'anno finanziario 2025, delle somme versate all'entrata del bilancio dello Stato dall'Unione europea, dalle pubbliche amministrazioni e da enti pubblici e privati a titolo di contribuzione alle spese di promozione della conciliazione dei tempi di vita e di lavoro nelle amministrazioni pubbliche di cui all'articolo 14 della legge 7 agosto 2015, n. 124.

25. Il Ministro dell'economia e delle finanze è autorizzato a ripartire, tra gli stati di previsione dei Ministeri interessati, le risorse del capitolo « Fondo da assegnare per la sistemazione contabile delle partite iscritte al conto sospeso », iscritto nello stato di previsione del Ministero dell'economia e delle finanze, per l'anno finanziario 2025. Le risorse del suddetto Fondo non utilizzate nel corso dello stesso esercizio sono conservate in bilancio per essere utilizzate nell'esercizio successivo.

26. Con decreti del Ragioniere generale dello Stato, per l'anno finanziario 2025, le somme affluite all'entrata del bilancio dello Stato per effetto di donazioni effettuate da soggetti privati in favore di amministrazioni centrali e periferiche dello Stato puntualmente individuate possono essere riassegnate ad appositi capitoli di spesa degli stati di previsione dei Ministeri interessati.

27. Il Ministro dell'economia e delle finanze è autorizzato ad apportare, con propri decreti, per l'anno finanziario 2025, variazioni compensative, in termini di competenza e di cassa, tra le spese per la partecipazione italiana a banche, fondi e organismi internazionali iscritte nel programma « Politica economica e finanziaria in ambito internazionale », nell'ambito della missione « L'Italia in Europa e nel mondo », dello stato di previsione del Ministero dell'economia e delle finanze, e le spese connesse con l'intervento diretto di società partecipate dal Ministero dell'economia e delle finanze all'interno del sistema economico, anche attraverso la loro capitalizzazione, iscritte nell'ambito della missione « Politiche economico-finanziarie e di bilancio e tutela della finanza pubblica », programma « Regolamentazione e vigilanza sul settore finanziario », del medesimo stato di previsione.

28. Il Ragioniere generale dello Stato è autorizzato a provvedere, con propri decreti, alla riassegnazione ai pertinenti programmi delle amministrazioni centrali cui compete la gestione dei programmi spaziali nazionali e in cooperazione internazionale, per l'anno finanziario 2025, delle somme di cui all'articolo 1, comma 253, della legge 27 dicembre 2019, n. 160, versate all'entrata del bilancio dello Stato dalla Presidenza del Consiglio dei ministri.

29. Al fine di dare attuazione, per le amministrazioni centrali dello Stato, alle disposizioni di cui all'articolo 113 del codice dei contratti pubblici, di cui al decreto legislativo 18 aprile 2016, n. 50, e all'articolo 45 del decreto legislativo 31 marzo 2023, n. 36, il Ragioniere generale dello Stato, per l'anno finanziario 2025, è autorizzato a riassegnare, con propri decreti, su proposta dell'amministrazione competente, ai pertinenti capitoli di spesa iscritti nello stato di previsione della medesima amministrazione le somme versate all'entrata del bilancio dello Stato riguardanti le risorse allo scopo destinate per ciascun appalto di lavori, servizi o forniture da parte della struttura ministeriale che opera come stazione appaltante, ferma restando l'adozione del regolamento che ciascuna amministrazione deve adottare per la ripartizione degli incentivi alle funzioni tecniche.

30. Il Ministro dell'economia e delle finanze è autorizzato ad apportare nell'anno finanziario 2025, con propri decreti, le occorrenti variazioni di bilancio, anche in conto residui, negli stati di previsione dell'entrata e della spesa delle amministrazioni interessate, in applicazione dei provvedimenti legislativi pubblicati nella Gazzetta Ufficiale nel medesimo anno. Ai fini dell'immediata attuazione dei detti provvedimenti legislativi, il Ministero dell'economia e delle finanze, ove necessario, può disporre il ricorso ad anticipazioni di tesoreria, la cui regolarizzazione è effettuata con l'emissione di ordini di pagamento sui pertinenti capitoli di spesa.

31. Con decreto del Ministro dell'economia e delle finanze possono essere apportate, per l'anno finanziario 2025, nel rispetto dell'equilibrio dei saldi di finanza pubblica, variazioni compensative tra stati di previsione, anche in termini di residui e cassa, con riferimento a somme oggetto di rimborso in virtù di apposite convenzioni, intese o accordi stipulati tra le amministrazioni.

Art. 21.

(Entrata in vigore)

1. La presente legge, salvo quanto diversamente previsto, entra in vigore il 1° gennaio 2025.

ALLEGATI

Allegato I
(Articolo 1, comma 1)

(importi in milioni di euro)

RISULTATI DIFFERENZIALI

– COMPETENZA –

Descrizione del risultato differenziale

2025

2026

2027

Livello massimo del saldo netto da finanziare, tenuto conto degli effetti derivanti dalla presente legge

Livello massimo del ricorso al mercato finanziario, tenuto conto degli effetti derivanti dalla presente legge (*)

187.322

162.987

143.188

471.097

494.207

447.297

– CASSA –

Descrizione del risultato differenziale

2025

2026

2027

Livello massimo del saldo netto da finanziare, tenuto conto degli effetti derivanti dalla presente legge

Livello massimo del ricorso al mercato finanziario, tenuto conto degli effetti derivanti dalla presente legge (*)

248.111

219.816

191.622

531.886

551.036

495.731

(*) al netto delle operazioni effettuate al fine di rimborsare prima della scadenza o di ristrutturare passività preesistenti con ammortamento a carico dello Stato.

Allegato II
(Articolo 1, comma 797, lettera d))

« Tabella 1
(articolo 1, comma 134)

19-DDL-12191_0001.png

 ».

Allegato III
(Articolo 1, comma 837, lettera e))

« Quadro V: Ruolo normale del Corpo delle Capitanerie di porto

Grado

Organico

Forma
di avanzamento al grado superiore

Anni di anzianità minima
di grado richiesti per

Periodi minimi richiesti
per la valutazione

Titoli, esami, corsi
richiesti

Promozioni a scelta al grado superiore

Valutazione a scelta

Promozione ad anzianità

Comando o
attribuzioni, servizio

Imbarco

1

2

3

4

5

6

7

8

9

Ammiraglio
ispettore capo

-

-

-

-

-

-

-

Ammiraglio
ispettore

5

-

-

-

-

-

-

-

Contrammiraglio

17

scelta

-

-

-

-

-

1

Capitano
di vascello

121

scelta

5

-

1 anno come direttore marittimo o comandante di un compartimento marittimo o incarico equipollente.

-

-

2 o 3ª

Capitano
di fregata

246

scelta

8

-

1 anno come comandante di un compartimento marittimo o incarico equipollente.

-

-

14

Capitano
di corvetta

106

anzianità

-

5

-

-

-

-

Tenente
di vascello

166

scelta

6

-

1 anno come capo di un ufficio circondariale marittimo o incarico equipollente.

-

-

- b

Sottotenente
di vascello

95

anzianità

-

4

18 mesi di servizio presso una capitaneria di porto o un ufficio circondariale marittimo o servizio equipollente.

-

Aver conseguito la laurea magistralec

-

Guardiamarina

anzianità

-

2d

-

-

-

-

Volume organico complessivo

756

ª Ciclo di 5 anni: 2 promozioni il primo, terzo e quinto anno; 3 promozioni il secondo e quarto anno.

b Il numero annuale delle promozioni al grado di capitano di corvetta è fissato in tante unità quanti sono i tenenti di vascello inseriti nell'aliquota di valutazione e giudicati idonei all'avanzamento.

c Sono esclusi gli ufficiali arruolati a norma dell'articolo 652, comma 2, del presente codice.

d 1 anno per gli ufficiali reclutati ai sensi dell'articolo 652, comma 2, del presente codice ».

Allegato IV
(Articolo 1, comma 870)

Riduzioni delle dotazioni finanziarie delle spese dei ministeri

Triennio 2025-2027

19-DDL-12191_0002.png

19-DDL-12191_0003.png

19-DDL-12191_0004.png

19-DDL-12191_0005.png

19-DDL-12191_0006.png

19-DDL-12191_0007.png

19-DDL-12191_0008.png

19-DDL-12191_0009.png

19-DDL-12191_0010.png

19-DDL-12191_0011.png

19-DDL-12191_0012.png

19-DDL-12191_0013.png

19-DDL-12191_0014.png

19-DDL-12191_0015.png

19-DDL-12191_0016.png

19-DDL-12191_0017.png

19-DDL-12191_0018.png

Allegato V
(Articolo 1, comma 871)

19-DDL-12191_0019.png

Allegato VI
(Articolo 1, comma 876)

Ministero
(dati in milioni di euro)

2027

2028

2029

2030-2033

2034-2036

2027-2036
(valore cumulato)

Ministero dell'economia e delle finanze

1.189

595

311

873

873

8.206

di cui Presidenza del Consiglio dei ministri

110

110

95

95

95

980

Ministero delle imprese e del made in Italy

350

300

161

350

350

3.261

Ministero della giustizia

141

81

40

101

101

966

Ministero degli affari esteri e della cooperazione internazionale

12

6

3

8

8

78

Ministero dell'istruzione e del merito

12

7

7

9

9

88

Ministero dell'interno

103

104

50

133

133

1.187

Ministero dell'ambiente e della sicurezza energetica

192

100

71

100

100

1.063

Ministero dell'università e della ricerca

238

129

62

155

155

1.514

Ministero della difesa

30

15

15

15

15

165

Ministero dell'agricoltura, della sovranità alimentare e delle foreste

40

28

14

34

34

321

Ministero della cultura

200

60

40

130

130

1.210

Ministero del turismo

59

29

15

31

31

316

Ministero del lavoro e delle politiche sociali

1

1

1

1

1

10

Ministero della salute

10

10

10

10

10

100

TOTALE

2.576

1.464

800

1.949

1.950

18.486

TABELLE A E B

TABELLA A

INDICAZIONE DELLE VOCI DA INCLUDERE NEL FONDO SPECIALE
DI PARTE CORRENTE

OGGETTO DEL PROVVEDIMENTO

2025

2026

2027

ACCANTONAMENTI PER NUOVE
O MAGGIORI SPESE O RIDUZIONI DI ENTRATE

MINISTERO DELL'ECONOMIA E DELLE FINANZE

116.803.340

115.924.630

132.924.630

MINISTERO DELLE IMPRESE E DEL MADE IN ITALY

56.861.579

58.918.330

53.918.330

MINISTERO DEL LAVORO E DELLE POLITICHE SOCIALI

43.744.196

44.149.572

44.149.572

MINISTERO DELLA GIUSTIZIA

21.118.778

27.585.065

31.585.065

MINISTERO DEGLI AFFARI ESTERI

E DELLA COOPERAZIONE INTERNAZIONALE

55.983.611

63.009.273

68.009.273

MINISTERO DELL'ISTRUZIONE E DEL MERITO

20.614.367

23.123.539

32.955.733

MINISTERO DELL'INTERNO

58.870.291

58.338.064

70.338.064

MINISTERO DELL'AMBIENTE E DELLA SICUREZZA ENERGETICA

27.814.436

27.955.585

27.955.585

MINISTERO DELLE INFRASTRUTTURE E DEI TRASPORTI

29.737.388

28.482.071

29.946.552

MINISTERO DELL'UNIVERSITÀ E DELLA RICERCA

37.876.568

39.522.283

41.522.283

MINISTERO DELLA DIFESA

43.977.056

51.843.758

54.843.758

MINISTERO DELL'AGRICOLTURA,

DELLA SOVRANITÀ ALIMENTARE E DELLE FORESTE

14.901.697

23.778.991

33.768.991

MINISTERO DELLA CULTURA

42.685.198

41.908.373

41.908.373

MINISTERO DELLA SALUTE

32.416.586

29.759.467

26.759.467

MINISTERO DEL TURISMO

34.597.203

33.107.904

33.107.904

TOTALE ACCANTONAMENTI PER NUOVE O MAGGIORI SPESE

O RIDUZIONI DI ENTRATE

638.002.294

667.406.905

723.693.580

DI CUI REGOLAZIONE DEBITORIA

-

-

-

DI CUI LIMITE DI IMPEGNO

-

-

-

TABELLA B

INDICAZIONE DELLE VOCI DA INCLUDERE NEL FONDO SPECIALE
DI CONTO CAPITALE

OGGETTO DEL PROVVEDIMENTO

2025

2026

2027

ACCANTONAMENTI PER NUOVE

O MAGGIORI SPESE O RIDUZIONI DI ENTRATE

MINISTERO DELL'ECONOMIA E DELLE FINANZE

155.506.299

169.233.418

188.233.418

MINISTERO DELLE IMPRESE E DEL MADE IN ITALY

28.489.699

31.292.071

31.292.071

MINISTERO DEL LAVORO E DELLE POLITICHE SOCIALI

21.262.126

23.187.979

23.187.979

MINISTERO DELLA GIUSTIZIA

16.735.644

10.000.000

18.000.000

MINISTERO DEGLI AFFARI ESTERI

E DELLA COOPERAZIONE INTERNAZIONALE

15.665.934

17.528.048

17.528.048

MINISTERO DELL'ISTRUZIONE E DEL MERITO

34.127.788

13.000.000

30.000.000

MINISTERO DELL'INTERNO

16.735.644

18.146.036

20.146.036

MINISTERO DELL'AMBIENTE E DELLA SICUREZZA ENERGETICA

25.880.246

16.831.828

18.831.828

MINISTERO DELLE INFRASTRUTTURE E DEI TRASPORTI

14.294.410

38.283.481

48.283.481

MINISTERO DELL'UNIVERSITÀ E DELLA RICERCA

31.981.061

19.606.655

25.606.655

MINISTERO DELLA DIFESA

24.590.091

39.292.071

39.292.071

MINISTERO DELL'AGRICOLTURA,

DELLA SOVRANITÀ ALIMENTARE E DELLE FORESTE

319.400

23.921.083

24.921.083

MINISTERO DELLA CULTURA

27.844.669

8.270.902

8.270.902

MINISTERO DELLA SALUTE

28.501.972

31.292.072

31.292.072

MINISTERO DEL TURISMO

24.686.016

26.971.858

26.971.858

TOTALE ACCANTONAMENTI PER NUOVE O MAGGIORI SPESE

O RIDUZIONI DI ENTRATE

466.620.999

486.857.502

551.857.502

DI CUI REGOLAZIONE DEBITORIA

-

-

-

DI CUI LIMITE DI IMPEGNO

-

-

-

QUADRI GENERALI RIASSUNTIVI

19-DDL-12191_0020.png

19-DDL-12191_0021.png

19-DDL-12191_0022.png

19-DDL-12191_0023.png

19-DDL-12191_0024.png

19-DDL-12191_0025.png

19-DDL-12191_0026.png

19-DDL-12191_0027.png

19-DDL-12191_0028.png

19-DDL-12191_0029.png

19-DDL-12191_0030.png

19-DDL-12191_0031.png

19-DDL-12191_0032.png

19-DDL-12191_0033.png

19-DDL-12191_0034.png

19-DDL-12191_0035.png

19-DDL-12191_0036.png

19-DDL-12191_0037.png

19-DDL-12191_0038.png

19-DDL-12191_0039.png

19-DDL-12191_0040.png

19-DDL-12191_0041.png

19-DDL-12191_0042.png

19-DDL-12191_0043.png

19-DDL-12191_0044.png

19-DDL-12191_0045.png

19-DDL-12191_0046.png

19-DDL-12191_0047.png

19-DDL-12191_0048.png

19-DDL-12191_0049.png

19-DDL-12191_0050.png

19-DDL-12191_0051.png

19-DDL-12191_0052.png

19-DDL-12191_0053.png

19-DDL-12191_0054.png

19-DDL-12191_0055.png

19-DDL-12191_0056.png

19-DDL-12191_0057.png

19-DDL-12191_0058.png

19-DDL-12191_0059.png

19-DDL-12191_0060.png

19-DDL-12191_0061.png

19-DDL-12191_0062.png

19-DDL-12191_0063.png

19-DDL-12191_0064.png

19-DDL-12191_0065.png

19-DDL-12191_0066.png

19-DDL-12191_0067.png

19-DDL-12191_0068.png

19-DDL-12191_0069.png

19-DDL-12191_0070.png

19-DDL-12191_0071.png

19-DDL-12191_0072.png

19-DDL-12191_0073.png

19-DDL-12191_0074.png

19-DDL-12191_0075.png

19-DDL-12191_0076.png

19-DDL-12191_0077.png

19-DDL-12191_0078.png

19-DDL-12191_0079.png

19-DDL-12191_0080.png

19-DDL-12191_0081.png

19-DDL-12191_0082.png

19-DDL-12191_0083.png

19-DDL-12191_0084.png

19-DDL-12191_0085.png

19-DDL-12191_0086.png

19-DDL-12191_0087.png

19-DDL-12191_0088.png

19-DDL-12191_0089.png

19-DDL-12191_0090.png

19-DDL-12191_0091.png

19-DDL-12191_0092.png

19-DDL-12191_0093.png

19-DDL-12191_0094.png

19-DDL-12191_0095.png

19-DDL-12191_0096.png

19-DDL-12191_0097.png

19-DDL-12191_0098.png

19-DDL-12191_0099.png

19-DDL-12191_0100.png

19-DDL-12191_0101.png

19-DDL-12191_0102.png

19-DDL-12191_0103.png

19-DDL-12191_0104.png

19-DDL-12191_0105.png

19-DDL-12191_0106.png

19-DDL-12191_0107.png

19-DDL-12191_0108.png

19-DDL-12191_0109.png

19-DDL-12191_0110.png

19-DDL-12191_0111.png

19-DDL-12191_0112.png

19-DDL-12191_0113.png

19-DDL-12191_0114.png

19-DDL-12191_0115.png

19-DDL-12191_0116.png

19-DDL-12191_0117.png

19-DDL-12191_0118.png

19-DDL-12191_0119.png

19-DDL-12191_0120.png

19-DDL-12191_0121.png

Le Tabelle relative ai singoli stati di previsione sono state approvate dalla Camera dei deputati nel testo risultante dalla Nota di variazioni (si veda lo stampato n. 1330/I).